Customized cutoff limits for the sediMAX-2 automated analyzer reduce the number of urine culture tests.

Davide Ferrari, Mladen Trbos, Matteo Vidali, Massimo Locatelli
{"title":"Customized cutoff limits for the sediMAX-2 automated analyzer reduce the number of urine culture tests.","authors":"Davide Ferrari, Mladen Trbos, Matteo Vidali, Massimo Locatelli","doi":"10.23750/abm.v94i5.14951","DOIUrl":null,"url":null,"abstract":"<p><strong>Background: </strong>Urinary tract infections are highly prevalent in nosocomial and community settings. Their diagnosis, although costly and time-consuming, is crucial to avoid inappropriate treatments and/or clinical complications. In this context, automated analyzers have been developed and commercialized to screen and rule out negative urine samples. Adjustments of the manufacturers' suggested cutoff values might lead to substantial diagnostic and economic advantages.</p><p><strong>Methods: </strong>We retrospectively analyzed 776 urine samples from different individuals. 546 samples (training group) were used to optimize develop new cutoffs values. The remaining 230 samples (validation group) were used to validate the optimized cutoffs. All samples were subjected to urine culture, 17% resulted positive. Escherichia coli and Enterococcus faecalis were the two most frequently identified bacteria, 95 and 9 samples, respectively.</p><p><strong>Results: </strong>Two different cutoffs levels were obtained. Cutoff-A (bacteria>110 and/or white blood cells> 15 cell/µL), showed the same sensitivity of the manufacturers' suggested cutoff, yet leads to a large reduction of the samples to be cultured. Cutoff-B (bacteria>50 and/or white blood cells>20 cell/µL), showed an almost 100% sensitivity by subjecting only ~70% of the samples to urine culture.</p><p><strong>Conclusion: </strong>Cutoff-A is a good compromise between sensitivity and specificity yet allowing economic advantages by reducing the number of urinary cultures. Cutoff-B relegates urinary tract infection misdiagnosis to a rare event without the need of culturing the entire batch of samples. We believe that clinical implementation of the proposed cutoffs will help other laboratories, using similar instrumentation, to reach their most convenient balance between sensitivity and economical needs.</p>","PeriodicalId":93849,"journal":{"name":"Acta bio-medica : Atenei Parmensis","volume":"94 5","pages":"e2023192"},"PeriodicalIF":0.0000,"publicationDate":"2023-10-17","publicationTypes":"Journal Article","fieldsOfStudy":null,"isOpenAccess":false,"openAccessPdf":"https://www.ncbi.nlm.nih.gov/pmc/articles/PMC10644934/pdf/","citationCount":"0","resultStr":null,"platform":"Semanticscholar","paperid":null,"PeriodicalName":"Acta bio-medica : Atenei Parmensis","FirstCategoryId":"1085","ListUrlMain":"https://doi.org/10.23750/abm.v94i5.14951","RegionNum":0,"RegionCategory":null,"ArticlePicture":[],"TitleCN":null,"AbstractTextCN":null,"PMCID":null,"EPubDate":"","PubModel":"","JCR":"","JCRName":"","Score":null,"Total":0}
引用次数: 0

Abstract

Background: Urinary tract infections are highly prevalent in nosocomial and community settings. Their diagnosis, although costly and time-consuming, is crucial to avoid inappropriate treatments and/or clinical complications. In this context, automated analyzers have been developed and commercialized to screen and rule out negative urine samples. Adjustments of the manufacturers' suggested cutoff values might lead to substantial diagnostic and economic advantages.

Methods: We retrospectively analyzed 776 urine samples from different individuals. 546 samples (training group) were used to optimize develop new cutoffs values. The remaining 230 samples (validation group) were used to validate the optimized cutoffs. All samples were subjected to urine culture, 17% resulted positive. Escherichia coli and Enterococcus faecalis were the two most frequently identified bacteria, 95 and 9 samples, respectively.

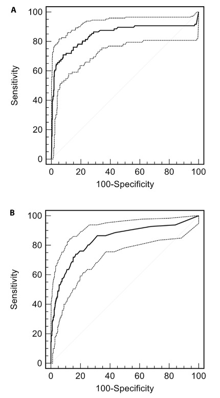
Results: Two different cutoffs levels were obtained. Cutoff-A (bacteria>110 and/or white blood cells> 15 cell/µL), showed the same sensitivity of the manufacturers' suggested cutoff, yet leads to a large reduction of the samples to be cultured. Cutoff-B (bacteria>50 and/or white blood cells>20 cell/µL), showed an almost 100% sensitivity by subjecting only ~70% of the samples to urine culture.

Conclusion: Cutoff-A is a good compromise between sensitivity and specificity yet allowing economic advantages by reducing the number of urinary cultures. Cutoff-B relegates urinary tract infection misdiagnosis to a rare event without the need of culturing the entire batch of samples. We believe that clinical implementation of the proposed cutoffs will help other laboratories, using similar instrumentation, to reach their most convenient balance between sensitivity and economical needs.

Abstract Image

sediMAX-2自动分析仪的自定义截止限值减少了尿液培养测试的次数。
背景:尿路感染在医院和社区环境中非常普遍。他们的诊断虽然昂贵且耗时,但对于避免不适当的治疗和/或临床并发症至关重要。在这种情况下,自动分析仪已经被开发并商业化,以筛选和排除阴性尿液样本。调整制造商建议的截止值可能会带来实质性的诊断和经济优势。方法:我们回顾性分析了776份不同个体的尿液样本。546个样本(训练组)用于优化开发新的截止值。剩余的230个样本(验证组)用于验证优化的截止值。所有样本均进行尿液培养,17%的样本呈阳性。大肠杆菌和粪肠球菌是两种最常见的细菌,分别为95个和9个样本。结果:获得了两个不同的临界水平。截止值-A(细菌>110和/或白细胞>15细胞/µL)显示出与制造商建议的截止值相同的灵敏度,但导致待培养样品的大量减少。切割-B(细菌>50和/或白细胞>20细胞/µL)仅对约70%的样本进行尿液培养,显示出几乎100%的敏感性。结论:Cutoff-A是灵敏度和特异性之间的一个很好的折衷方案,但通过减少尿液培养的数量,可以获得经济优势。切割-B将尿路感染误诊为罕见事件,无需培养整批样本。我们相信,拟议截止值的临床实施将有助于其他实验室使用类似的仪器,在灵敏度和经济需求之间达到最方便的平衡。
本文章由计算机程序翻译,如有差异,请以英文原文为准。
求助全文
约1分钟内获得全文 求助全文
来源期刊
自引率
0.00%
发文量
0
×
引用
GB/T 7714-2015
复制
MLA
复制
APA
复制
导出至
BibTeX EndNote RefMan NoteFirst NoteExpress
×
提示
您的信息不完整,为了账户安全,请先补充。
现在去补充
×
提示
您因"违规操作"
具体请查看互助需知
我知道了
×
提示
确定
请完成安全验证×
copy
已复制链接
快去分享给好友吧!
我知道了
右上角分享
点击右上角分享
0
联系我们:info@booksci.cn Book学术提供免费学术资源搜索服务,方便国内外学者检索中英文文献。致力于提供最便捷和优质的服务体验。 Copyright © 2023 布克学术 All rights reserved.
京ICP备2023020795号-1
ghs 京公网安备 11010802042870号
Book学术文献互助
Book学术文献互助群
群 号:604180095
Book学术官方微信