iColon, a patient-focused mobile application for perioperative care in colorectal surgery: Results from 444 patients.

IF 3.2 3区 医学 Q1 HEALTH CARE SCIENCES & SERVICES
Journal of Telemedicine and Telecare Pub Date : 2025-05-01 Epub Date: 2023-10-11 DOI:10.1177/1357633X231203064
Elisa Bertocchi, Giuliano Barugola, Gaia Masini, Massimo Guerriero, Nicola Menestrina, Irene Gentile, Francesca Meoli, Lorenza Sanfilippo, Mario Lauria, Roberta Freoni, Giacomo Ruffo
{"title":"iColon, a patient-focused mobile application for perioperative care in colorectal surgery: Results from 444 patients.","authors":"Elisa Bertocchi, Giuliano Barugola, Gaia Masini, Massimo Guerriero, Nicola Menestrina, Irene Gentile, Francesca Meoli, Lorenza Sanfilippo, Mario Lauria, Roberta Freoni, Giacomo Ruffo","doi":"10.1177/1357633X231203064","DOIUrl":null,"url":null,"abstract":"<p><p>AimThe aim of this study is to assess if a patient-focused mobile application can increase compliance with active Enhanced Recovery After Surgery (ERAS) items and thereby improve surgery-related outcomes and patient satisfaction.MethodThis is a prospective observational study of patients admitted for elective colorectal surgery, under the ERAS protocol, and having access to the mobile application iColon during all perioperative phases.ResultsThe 444 participants were included in the study. The overall adherence to the use of iColon was 62.4%. The overall adherence to active ERAS items was 74.1%. Adherence to the use of iColon significantly impacted adherence to active ERAS items. The use of the application was negatively related with factors such as age, type of disease, and postoperative complications. In the postdischarge phase, low adherence to active ERAS items typically indicates an increased likelihood of readmission; however, the use of iColon correlated significantly with a reduction in the 30-day readmission rate. A survey regarding patient satisfaction and confidence in using iColon resulted in positive feedback in more than 94% of cases, while 92.7% reported better quality of care.ConclusionOur findings suggest that digital health tools are beneficial and effective in the follow up of patients after early discharge. Our mobile application, iColon, represents user-friendly technology that is well-accepted. It has real-world implications in increasing adherence to active ERAS items, which results in an improvement in perceived quality of care by its users.</p>","PeriodicalId":50024,"journal":{"name":"Journal of Telemedicine and Telecare","volume":" ","pages":"585-591"},"PeriodicalIF":3.2000,"publicationDate":"2025-05-01","publicationTypes":"Journal Article","fieldsOfStudy":null,"isOpenAccess":false,"openAccessPdf":"https://www.ncbi.nlm.nih.gov/pmc/articles/PMC12044202/pdf/","citationCount":"0","resultStr":null,"platform":"Semanticscholar","paperid":null,"PeriodicalName":"Journal of Telemedicine and Telecare","FirstCategoryId":"3","ListUrlMain":"https://doi.org/10.1177/1357633X231203064","RegionNum":3,"RegionCategory":"医学","ArticlePicture":[],"TitleCN":null,"AbstractTextCN":null,"PMCID":null,"EPubDate":"2023/10/11 0:00:00","PubModel":"Epub","JCR":"Q1","JCRName":"HEALTH CARE SCIENCES & SERVICES","Score":null,"Total":0}
引用次数: 0

Abstract

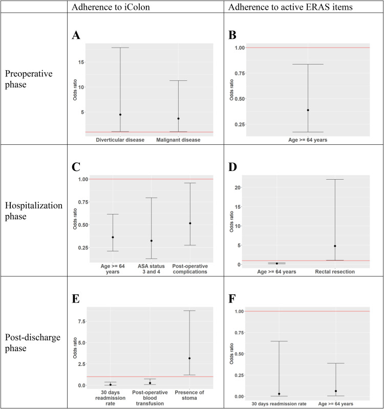
AimThe aim of this study is to assess if a patient-focused mobile application can increase compliance with active Enhanced Recovery After Surgery (ERAS) items and thereby improve surgery-related outcomes and patient satisfaction.MethodThis is a prospective observational study of patients admitted for elective colorectal surgery, under the ERAS protocol, and having access to the mobile application iColon during all perioperative phases.ResultsThe 444 participants were included in the study. The overall adherence to the use of iColon was 62.4%. The overall adherence to active ERAS items was 74.1%. Adherence to the use of iColon significantly impacted adherence to active ERAS items. The use of the application was negatively related with factors such as age, type of disease, and postoperative complications. In the postdischarge phase, low adherence to active ERAS items typically indicates an increased likelihood of readmission; however, the use of iColon correlated significantly with a reduction in the 30-day readmission rate. A survey regarding patient satisfaction and confidence in using iColon resulted in positive feedback in more than 94% of cases, while 92.7% reported better quality of care.ConclusionOur findings suggest that digital health tools are beneficial and effective in the follow up of patients after early discharge. Our mobile application, iColon, represents user-friendly technology that is well-accepted. It has real-world implications in increasing adherence to active ERAS items, which results in an improvement in perceived quality of care by its users.

Abstract Image

Abstract Image

Abstract Image

iColon,一个以患者为中心的移动应用程序,用于结直肠手术的围手术期护理:444名患者的结果。
目的:本研究的目的是评估以患者为中心的移动应用程序是否可以提高对手术后主动增强恢复(ERAS)项目的依从性,从而提高手术相关结果和患者满意度。方法:这是一项前瞻性观察性研究,研究对象是根据ERAS方案接受选择性结直肠手术的患者,并在所有围手术期使用移动应用程序iColon。结果:444名参与者被纳入研究。对使用iColon的总体依从性为62.4%。对活动ERAS项目的总体依从率为74.1%。对使用iColin的依从性显著影响对活动ERAS项目的依从性。该应用程序的使用与年龄、疾病类型和术后并发症等因素呈负相关。在出院后阶段,对活动ERAS项目的依从性低通常表明再次入院的可能性增加;然而,iColon的使用与30天再入院率的降低显著相关。一项关于患者对使用iColon的满意度和信心的调查在94%以上的病例中获得了积极反馈,而92.7%的病例报告了更好的护理质量。结论:我们的研究结果表明,数字健康工具在患者早期出院后的随访中是有益和有效的。我们的移动应用程序iColon代表了用户友好的技术,被广泛接受。它对提高对有效ERAS项目的依从性具有现实意义,从而提高用户的感知护理质量。
本文章由计算机程序翻译,如有差异,请以英文原文为准。
求助全文
约1分钟内获得全文 求助全文
来源期刊
CiteScore
14.10
自引率
10.60%
发文量
174
审稿时长
6-12 weeks
期刊介绍: Journal of Telemedicine and Telecare provides excellent peer reviewed coverage of developments in telemedicine and e-health and is now widely recognised as the leading journal in its field. Contributions from around the world provide a unique perspective on how different countries and health systems are using new technology in health care. Sections within the journal include technology updates, editorials, original articles, research tutorials, educational material, review articles and reports from various telemedicine organisations. A subscription to this journal will help you to stay up-to-date in this fast moving and growing area of medicine.
×
引用
GB/T 7714-2015
复制
MLA
复制
APA
复制
导出至
BibTeX EndNote RefMan NoteFirst NoteExpress
×
提示
您的信息不完整,为了账户安全,请先补充。
现在去补充
×
提示
您因"违规操作"
具体请查看互助需知
我知道了
×
提示
确定
请完成安全验证×
copy
已复制链接
快去分享给好友吧!
我知道了
右上角分享
点击右上角分享
0
联系我们:info@booksci.cn Book学术提供免费学术资源搜索服务,方便国内外学者检索中英文文献。致力于提供最便捷和优质的服务体验。 Copyright © 2023 布克学术 All rights reserved.
京ICP备2023020795号-1
ghs 京公网安备 11010802042870号
Book学术文献互助
Book学术文献互助群
群 号:604180095
Book学术官方微信