Reproductive Losses and Their Causes in Alpacas-A Survey-Based Study.

Joanna Kapustka, Monika Budzyńska
{"title":"Reproductive Losses and Their Causes in Alpacas-A Survey-Based Study.","authors":"Joanna Kapustka,&nbsp;Monika Budzyńska","doi":"10.3390/ani12213030","DOIUrl":null,"url":null,"abstract":"<p><p>The profitability of alpaca breeding depends on satisfactory reproductive results. The study aimed to analyze the frequency and causes of reproduction-related problems in alpacas, in particular miscarriages, stillbirths, preterm births, twin pregnancies, and falls of crias within 12 months after birth. This analysis was carried out with the use of questionnaires completed voluntarily by 109 alpaca owners in three regions (British Isles, Continental Europe, and North America). Cases of miscarriage and stillbirths were reported from 44% and 36% of the farms, respectively. In half of the farms, the cases of falls of crias and young alpacas within 12 months after birth were reported. Preterm births were reported from almost half of the farms. A large number of alpaca owners did not identify the cause of fetal death. An important element increasing the cria survival rate of is the birth weight (the higher cria birth weight, the lower risk of perinatal complications and less necessity of bottle feeding). Crias from dams receiving mineral supplements had higher birth weight. This study indicated a relationship between fetal death and the occurrence of infectious diseases and scabies infestation in the herd. They may be potential causes of reproduction-related problems that are not discerned in time.</p>","PeriodicalId":519482,"journal":{"name":"Animals : an Open Access Journal from MDPI","volume":" ","pages":""},"PeriodicalIF":0.0000,"publicationDate":"2022-11-03","publicationTypes":"Journal Article","fieldsOfStudy":null,"isOpenAccess":false,"openAccessPdf":"https://www.ncbi.nlm.nih.gov/pmc/articles/PMC9657741/pdf/","citationCount":"1","resultStr":null,"platform":"Semanticscholar","paperid":null,"PeriodicalName":"Animals : an Open Access Journal from MDPI","FirstCategoryId":"97","ListUrlMain":"https://doi.org/10.3390/ani12213030","RegionNum":0,"RegionCategory":null,"ArticlePicture":[],"TitleCN":null,"AbstractTextCN":null,"PMCID":null,"EPubDate":"","PubModel":"","JCR":"","JCRName":"","Score":null,"Total":0}
引用次数: 1

Abstract

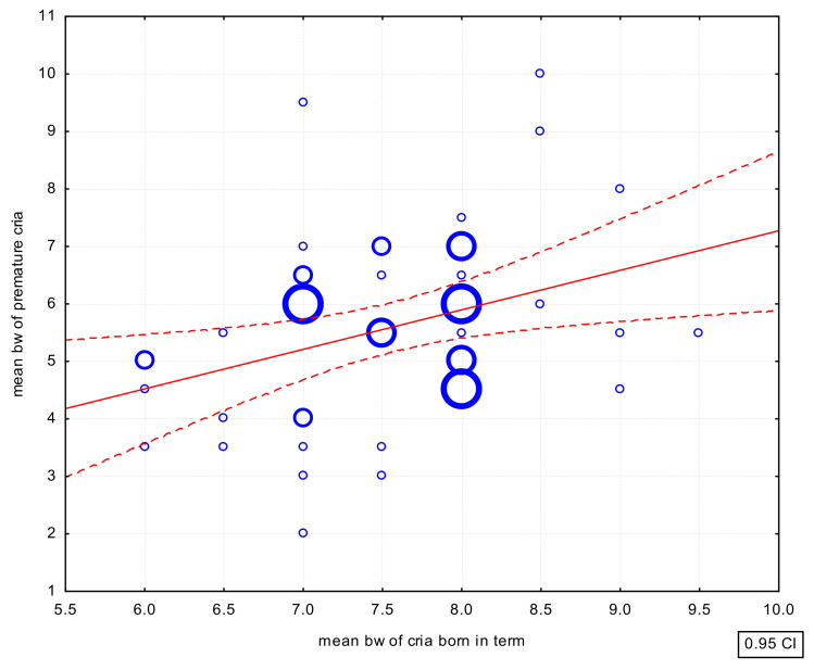
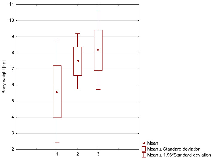
The profitability of alpaca breeding depends on satisfactory reproductive results. The study aimed to analyze the frequency and causes of reproduction-related problems in alpacas, in particular miscarriages, stillbirths, preterm births, twin pregnancies, and falls of crias within 12 months after birth. This analysis was carried out with the use of questionnaires completed voluntarily by 109 alpaca owners in three regions (British Isles, Continental Europe, and North America). Cases of miscarriage and stillbirths were reported from 44% and 36% of the farms, respectively. In half of the farms, the cases of falls of crias and young alpacas within 12 months after birth were reported. Preterm births were reported from almost half of the farms. A large number of alpaca owners did not identify the cause of fetal death. An important element increasing the cria survival rate of is the birth weight (the higher cria birth weight, the lower risk of perinatal complications and less necessity of bottle feeding). Crias from dams receiving mineral supplements had higher birth weight. This study indicated a relationship between fetal death and the occurrence of infectious diseases and scabies infestation in the herd. They may be potential causes of reproduction-related problems that are not discerned in time.

Abstract Image

Abstract Image

Abstract Image

羊驼繁殖能力丧失及其原因的调查研究
羊驼的繁殖效益取决于令人满意的繁殖结果。该研究旨在分析羊驼繁殖相关问题的频率和原因,特别是流产、死产、早产、双胎妊娠和出生后12个月内的crias下降。这项分析是通过对三个地区(不列颠群岛、欧洲大陆和北美)109名羊驼主人自愿填写的问卷进行的。分别有44%和36%的农场报告了流产和死产病例。在一半的农场中,报告了出生后12个月内的crias和小羊驼摔倒的病例。几乎一半的农场都报告了早产。大量羊驼主人没有确定胎儿死亡的原因。提高新生儿存活率的一个重要因素是出生体重(新生儿出生体重越高,围产期并发症风险越低,奶瓶喂养的必要性越低)。接受矿物质补充的幼鼠出生时体重较高。本研究表明,胎儿死亡与兽群中传染病和疥疮的发生有关。它们可能是无法及时发现的生殖相关问题的潜在原因。
本文章由计算机程序翻译,如有差异,请以英文原文为准。
求助全文
约1分钟内获得全文 求助全文
来源期刊
自引率
0.00%
发文量
0
×
引用
GB/T 7714-2015
复制
MLA
复制
APA
复制
导出至
BibTeX EndNote RefMan NoteFirst NoteExpress
×
提示
您的信息不完整,为了账户安全,请先补充。
现在去补充
×
提示
您因"违规操作"
具体请查看互助需知
我知道了
×
提示
确定
请完成安全验证×
copy
已复制链接
快去分享给好友吧!
我知道了
右上角分享
点击右上角分享
0
联系我们:info@booksci.cn Book学术提供免费学术资源搜索服务,方便国内外学者检索中英文文献。致力于提供最便捷和优质的服务体验。 Copyright © 2023 布克学术 All rights reserved.
京ICP备2023020795号-1
ghs 京公网安备 11010802042870号
Book学术文献互助
Book学术文献互助群
群 号:604180095
Book学术官方微信