Elbow Extensor Muscles in Humans and Chimpanzees: Adaptations to Different Uses of the Upper Extremity in Hominoid Primates.

Marina de Diego, Aroa Casado, Mónica Gómez, Neus Ciurana, Patrícia Rodríguez, Yasmina Avià, Elisabeth Cuesta-Torralvo, Natividad García, Isabel San José, Mercedes Barbosa, Félix de Paz, Juan Francisco Pastor, Josep Maria Potau
{"title":"Elbow Extensor Muscles in Humans and Chimpanzees: Adaptations to Different Uses of the Upper Extremity in Hominoid Primates.","authors":"Marina de Diego,&nbsp;Aroa Casado,&nbsp;Mónica Gómez,&nbsp;Neus Ciurana,&nbsp;Patrícia Rodríguez,&nbsp;Yasmina Avià,&nbsp;Elisabeth Cuesta-Torralvo,&nbsp;Natividad García,&nbsp;Isabel San José,&nbsp;Mercedes Barbosa,&nbsp;Félix de Paz,&nbsp;Juan Francisco Pastor,&nbsp;Josep Maria Potau","doi":"10.3390/ani12212987","DOIUrl":null,"url":null,"abstract":"<p><p>The anatomical and functional characteristics of the elbow extensor muscles (triceps brachii and anconeus) have not been widely studied in non-human hominoid primates, despite their great functional importance. In the present study, we have analyzed the muscle architecture and the expression of the myosin heavy chain (MHC) isoforms in the elbow extensors in humans and chimpanzees. Our main objective was to identify differences in these muscles that could be related to the different uses of the upper extremity in the two species. In five humans and five chimpanzees, we have analyzed muscle mass (MM), muscle fascicle length (MFL), and the physiological cross-sectional area (PCSA). In addition, we have assessed the expression of the MHC isoforms by RT-PCR. We have found high MM and PCSA values and higher expression of the MHC-IIx isoform in the triceps brachii of chimpanzees, while in humans, the triceps brachii has high MFL values and a higher expression of the MHC-I and MHC-IIa isoforms. In contrast, there were no significant differences between humans and chimpanzees in any of the values for the anconeus. These findings could be related to the participation of the triceps brachii in the locomotion of chimpanzees and to the use of the upper extremity in manipulative functions in humans. The results obtained in the anconeus support its primary function as a stabilizer of the elbow joint in the two species.</p>","PeriodicalId":519482,"journal":{"name":"Animals : an Open Access Journal from MDPI","volume":" ","pages":""},"PeriodicalIF":0.0000,"publicationDate":"2022-10-30","publicationTypes":"Journal Article","fieldsOfStudy":null,"isOpenAccess":false,"openAccessPdf":"https://www.ncbi.nlm.nih.gov/pmc/articles/PMC9655010/pdf/","citationCount":"1","resultStr":null,"platform":"Semanticscholar","paperid":null,"PeriodicalName":"Animals : an Open Access Journal from MDPI","FirstCategoryId":"97","ListUrlMain":"https://doi.org/10.3390/ani12212987","RegionNum":0,"RegionCategory":null,"ArticlePicture":[],"TitleCN":null,"AbstractTextCN":null,"PMCID":null,"EPubDate":"","PubModel":"","JCR":"","JCRName":"","Score":null,"Total":0}
引用次数: 1

Abstract

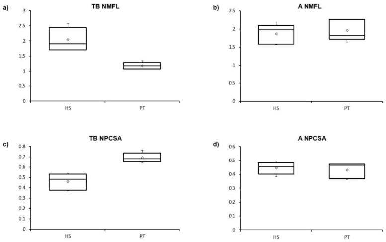
The anatomical and functional characteristics of the elbow extensor muscles (triceps brachii and anconeus) have not been widely studied in non-human hominoid primates, despite their great functional importance. In the present study, we have analyzed the muscle architecture and the expression of the myosin heavy chain (MHC) isoforms in the elbow extensors in humans and chimpanzees. Our main objective was to identify differences in these muscles that could be related to the different uses of the upper extremity in the two species. In five humans and five chimpanzees, we have analyzed muscle mass (MM), muscle fascicle length (MFL), and the physiological cross-sectional area (PCSA). In addition, we have assessed the expression of the MHC isoforms by RT-PCR. We have found high MM and PCSA values and higher expression of the MHC-IIx isoform in the triceps brachii of chimpanzees, while in humans, the triceps brachii has high MFL values and a higher expression of the MHC-I and MHC-IIa isoforms. In contrast, there were no significant differences between humans and chimpanzees in any of the values for the anconeus. These findings could be related to the participation of the triceps brachii in the locomotion of chimpanzees and to the use of the upper extremity in manipulative functions in humans. The results obtained in the anconeus support its primary function as a stabilizer of the elbow joint in the two species.

Abstract Image

Abstract Image

Abstract Image

人类和黑猩猩的肘部伸肌:类人猿灵长类动物上肢不同用途的适应。
尽管肘关节伸肌(肱三头肌和踝关节肌)具有重要的功能,但其解剖和功能特征在非人类灵长类动物中尚未得到广泛研究。在本研究中,我们分析了人类和黑猩猩肘关节伸肌的肌肉结构和肌球蛋白重链(MHC)异构体的表达。我们的主要目的是确定这些肌肉的差异,这些差异可能与这两个物种上肢的不同用途有关。我们分析了5名人类和5名黑猩猩的肌肉质量(MM)、肌束长度(MFL)和生理横截面积(PCSA)。此外,我们还通过RT-PCR评估了MHC亚型的表达。我们发现黑猩猩肱三头肌的MM和PCSA值较高,MHC-IIx异构体表达较高,而人类肱三头肌的MFL值较高,MHC-I和MHC-IIa异构体表达较高。相比之下,人类和黑猩猩之间在任何一种对anconus的值上都没有显著的差异。这些发现可能与黑猩猩运动时肱三头肌的参与以及人类上肢操作功能的使用有关。在肘关节中获得的结果支持其作为两个物种肘关节稳定器的主要功能。
本文章由计算机程序翻译,如有差异,请以英文原文为准。
求助全文
约1分钟内获得全文 求助全文
来源期刊
自引率
0.00%
发文量
0
×
引用
GB/T 7714-2015
复制
MLA
复制
APA
复制
导出至
BibTeX EndNote RefMan NoteFirst NoteExpress
×
提示
您的信息不完整,为了账户安全,请先补充。
现在去补充
×
提示
您因"违规操作"
具体请查看互助需知
我知道了
×
提示
确定
请完成安全验证×
copy
已复制链接
快去分享给好友吧!
我知道了
右上角分享
点击右上角分享
0
联系我们:info@booksci.cn Book学术提供免费学术资源搜索服务,方便国内外学者检索中英文文献。致力于提供最便捷和优质的服务体验。 Copyright © 2023 布克学术 All rights reserved.
京ICP备2023020795号-1
ghs 京公网安备 11010802042870号
Book学术文献互助
Book学术文献互助群
群 号:604180095
Book学术官方微信