Aticaprant (Clinically Developed Kappa-Opioid Receptor Antagonist) Combined With Naltrexone Prevents Alcohol "Relapse" Drinking.

Journal of pharmaceutics & pharmacology Pub Date : 2022-05-01 Epub Date: 2022-05-16 DOI:10.13188/2327-204x.1000032
Y Zhou, D C Zhou, M J Kreek
{"title":"Aticaprant (Clinically Developed Kappa-Opioid Receptor Antagonist) Combined With Naltrexone Prevents Alcohol \"Relapse\" Drinking.","authors":"Y Zhou,&nbsp;D C Zhou,&nbsp;M J Kreek","doi":"10.13188/2327-204x.1000032","DOIUrl":null,"url":null,"abstract":"<p><p>Alcohol relapse is the treatment target for medications development for alcohol dependence. Aticaprant, a selective and short-acting kappa-opioid receptor (KOR) antagonist, has recently been under development for new clinical implications (depression or anhedonia). Recent studies have also found that aticaprant reduces alcohol intake and prevents stress- triggered alcohol seeking in rodents via a KOR-mediated mechanism. Here, we further investigated whether aticaprant alone or in combination with naltrexone (mu-opioid receptor [MOR] antagonist) altered alcohol relapse-like drinking using a mouse alcohol deprivation effect (ADE) paradigm to mimic the relapse episodes in human alcoholics. A long-acting and selective KOR antagonist nor-BNI was used as a reference compound for the effects of the KOR antagonism on the ADE. After 3-week intermittent-access alcohol drinking (two-bottle choice, 24-h access every other day), male and female mice displayed excessive alcohol intake and then pronounced ADE after 1-week abstinence. Aticaprant alone decreased alcohol ADE in a dose- dependent manner (1-3 mg/kg) in both males and females. Aticaprant at a lower dose (0.3 mg/kg) than the effective one (3 mg/kg) combined with a low dose of naltrexone (1 mg/kg) reduced the ADE in both sexes, and the combination was effective after a multi-dosing regimen (5 daily injections during the abstinence) without development of tolerance, suggesting synergistic effects of the combination. In contrast, nor-BNI alone or with naltrexone had no effect on the ADE in either sex. Our present study suggests that a combination of clinically developed, short-acting KOR antagonist aticaprant with low-dose naltrexone has therapeutic potential in alcohol \"relapse\" treatment.</p>","PeriodicalId":89990,"journal":{"name":"Journal of pharmaceutics & pharmacology","volume":"9 1","pages":""},"PeriodicalIF":0.0000,"publicationDate":"2022-05-01","publicationTypes":"Journal Article","fieldsOfStudy":null,"isOpenAccess":false,"openAccessPdf":"https://www.ncbi.nlm.nih.gov/pmc/articles/PMC9275124/pdf/","citationCount":"2","resultStr":null,"platform":"Semanticscholar","paperid":null,"PeriodicalName":"Journal of pharmaceutics & pharmacology","FirstCategoryId":"1085","ListUrlMain":"https://doi.org/10.13188/2327-204x.1000032","RegionNum":0,"RegionCategory":null,"ArticlePicture":[],"TitleCN":null,"AbstractTextCN":null,"PMCID":null,"EPubDate":"2022/5/16 0:00:00","PubModel":"Epub","JCR":"","JCRName":"","Score":null,"Total":0}
引用次数: 2

Abstract

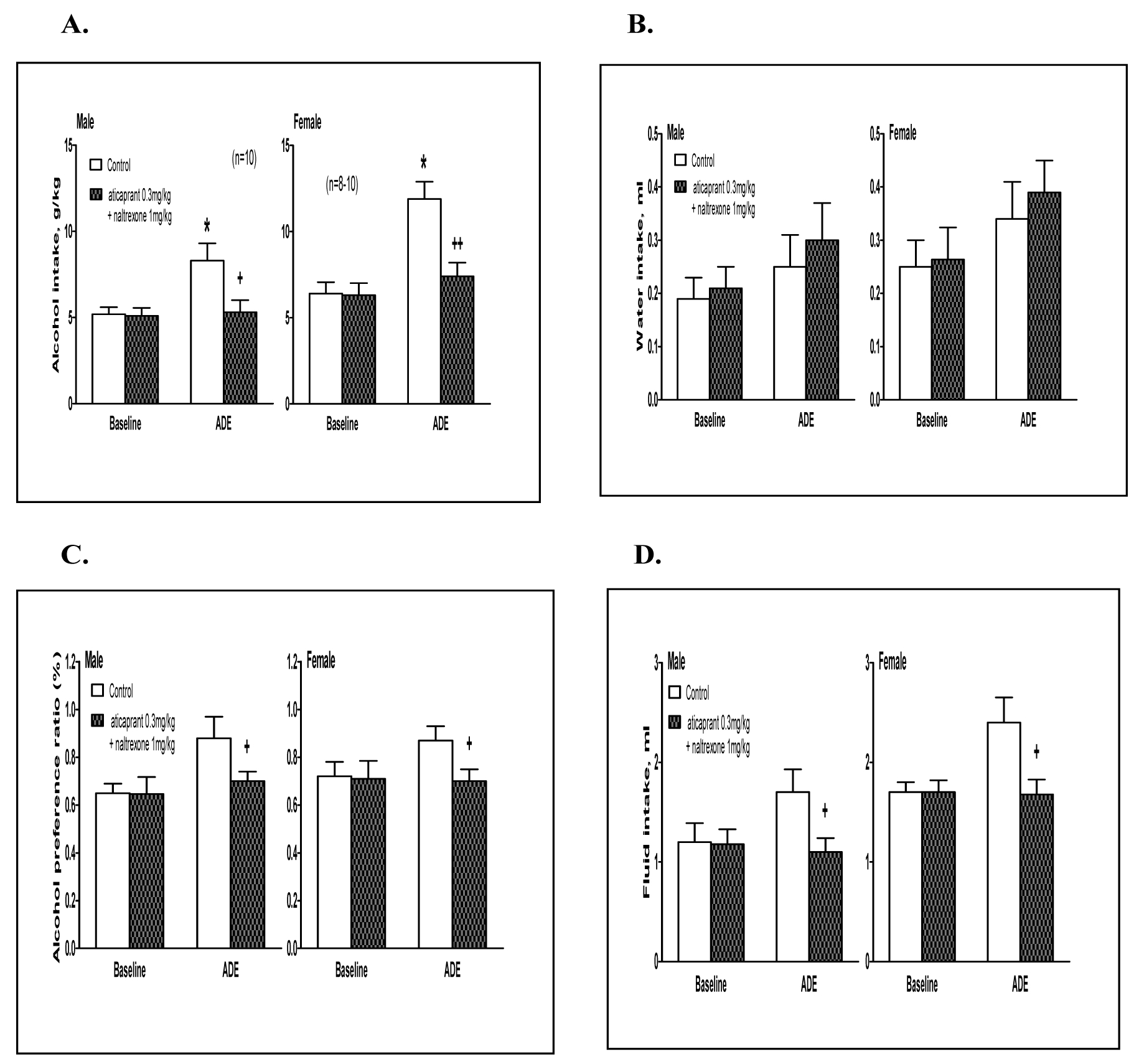
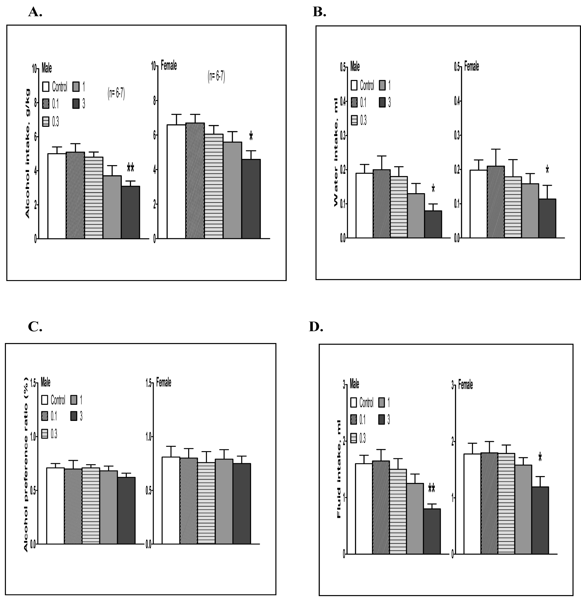
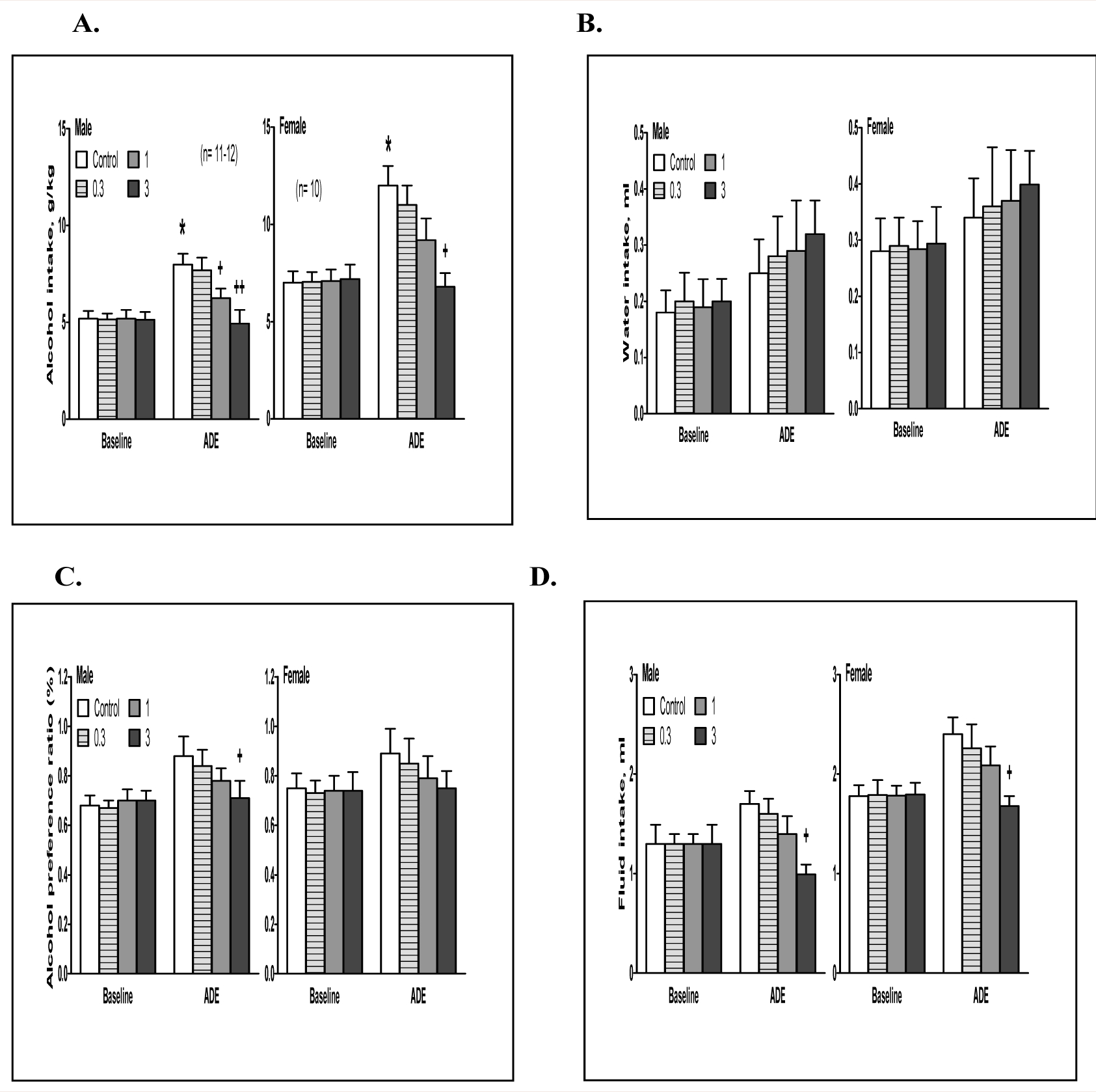
Alcohol relapse is the treatment target for medications development for alcohol dependence. Aticaprant, a selective and short-acting kappa-opioid receptor (KOR) antagonist, has recently been under development for new clinical implications (depression or anhedonia). Recent studies have also found that aticaprant reduces alcohol intake and prevents stress- triggered alcohol seeking in rodents via a KOR-mediated mechanism. Here, we further investigated whether aticaprant alone or in combination with naltrexone (mu-opioid receptor [MOR] antagonist) altered alcohol relapse-like drinking using a mouse alcohol deprivation effect (ADE) paradigm to mimic the relapse episodes in human alcoholics. A long-acting and selective KOR antagonist nor-BNI was used as a reference compound for the effects of the KOR antagonism on the ADE. After 3-week intermittent-access alcohol drinking (two-bottle choice, 24-h access every other day), male and female mice displayed excessive alcohol intake and then pronounced ADE after 1-week abstinence. Aticaprant alone decreased alcohol ADE in a dose- dependent manner (1-3 mg/kg) in both males and females. Aticaprant at a lower dose (0.3 mg/kg) than the effective one (3 mg/kg) combined with a low dose of naltrexone (1 mg/kg) reduced the ADE in both sexes, and the combination was effective after a multi-dosing regimen (5 daily injections during the abstinence) without development of tolerance, suggesting synergistic effects of the combination. In contrast, nor-BNI alone or with naltrexone had no effect on the ADE in either sex. Our present study suggests that a combination of clinically developed, short-acting KOR antagonist aticaprant with low-dose naltrexone has therapeutic potential in alcohol "relapse" treatment.

Abstract Image

Abstract Image

Abstract Image

阿替卡普兰(临床开发的卡帕-阿片受体拮抗剂)联合纳曲酮预防酒精“复发”饮酒。
酒精复发是酒精依赖药物开发的治疗目标。Aticaprant是一种选择性和短效的kappa-阿片受体(KOR)拮抗剂,最近正在开发新的临床意义(抑郁症或快感缺乏)。最近的研究还发现,aticaprant通过kor介导的机制减少了啮齿动物的酒精摄入量,并防止应激引发的酒精寻求。在这里,我们使用小鼠酒精剥夺效应(ADE)模式来模拟人类酗酒者的复发发作,进一步研究了aticaprant单独使用或与纳曲酮(μ -阿片受体[MOR]拮抗剂)联合使用是否会改变酒精复发样饮酒。一种长效和选择性的非bni的KOR拮抗剂被用作KOR拮抗剂对ADE的影响的参考化合物。在3周的间歇饮酒(两瓶选择,每隔一天24小时饮酒)后,雄性和雌性小鼠表现出过量饮酒,然后在1周的戒酒后出现ADE。在男性和女性中,Aticaprant单独降低酒精ADE呈剂量依赖性(1-3 mg/kg)。比有效剂量(3mg /kg)低剂量的阿替卡坦(0.3 mg/kg)与低剂量的纳曲酮(1mg /kg)联合使用可降低两性ADE,并且在多次给药(戒断期间每天注射5次)后仍有效,未产生耐受性,提示联合使用具有协同作用。相比之下,非bni单独或纳曲酮对男女的ADE均无影响。我们目前的研究表明,临床开发的短效KOR拮抗剂aticaprant与低剂量纳曲酮的组合在酒精“复发”治疗中具有治疗潜力。
本文章由计算机程序翻译,如有差异,请以英文原文为准。
求助全文
约1分钟内获得全文 求助全文
来源期刊
自引率
0.00%
发文量
0
×
引用
GB/T 7714-2015
复制
MLA
复制
APA
复制
导出至
BibTeX EndNote RefMan NoteFirst NoteExpress
×
提示
您的信息不完整,为了账户安全,请先补充。
现在去补充
×
提示
您因"违规操作"
具体请查看互助需知
我知道了
×
提示
确定
请完成安全验证×
copy
已复制链接
快去分享给好友吧!
我知道了
右上角分享
点击右上角分享
0
联系我们:info@booksci.cn Book学术提供免费学术资源搜索服务,方便国内外学者检索中英文文献。致力于提供最便捷和优质的服务体验。 Copyright © 2023 布克学术 All rights reserved.
京ICP备2023020795号-1
ghs 京公网安备 11010802042870号
Book学术文献互助
Book学术文献互助群
群 号:604180095
Book学术官方微信