Incubation Period, Spore Shedding Duration, and Symptoms of Enterocytozoon bieneusi Genotype C Infection in a Foodborne Outbreak in Denmark, 2020.

Daniela Michlmayr, Luís Alves de Sousa, Luise Müller, Pikka Jokelainen, Steen Ethelberg, Lasse Skafte Vestergaard, Susanne Schjørring, Sarah Mikkelsen, Carl Widstrup Jensen, Lasse Dam Rasmussen, Christen Rune Stensvold
{"title":"Incubation Period, Spore Shedding Duration, and Symptoms of Enterocytozoon bieneusi Genotype C Infection in a Foodborne Outbreak in Denmark, 2020.","authors":"Daniela Michlmayr,&nbsp;Luís Alves de Sousa,&nbsp;Luise Müller,&nbsp;Pikka Jokelainen,&nbsp;Steen Ethelberg,&nbsp;Lasse Skafte Vestergaard,&nbsp;Susanne Schjørring,&nbsp;Sarah Mikkelsen,&nbsp;Carl Widstrup Jensen,&nbsp;Lasse Dam Rasmussen,&nbsp;Christen Rune Stensvold","doi":"10.1093/cid/ciab949","DOIUrl":null,"url":null,"abstract":"<p><strong>Background: </strong>Microsporidia are rarely reported to cause outbreaks of diarrhea. We describe a foodborne outbreak of microsporidiosis from a workplace canteen in November 2020 in Denmark.</p><p><strong>Methods: </strong>A probable case was defined as any person using the canteen between 4 November and 13 December 2020, reporting at least one gastrointestinal symptom, whereas a confirmed case also had an Enterocytozoon bieneusi positive stool sample. A web-based questionnaire was used to collect clinical, epidemiological, and food exposure data. We performed a retrospective cohort study and tested stool samples from affected individuals for bacterial, viral, and parasitic pathogens, including E. bieneusi.</p><p><strong>Results: </strong>Altogether, 195 individuals completed the questionnaire. We identified 52 cases (65% male; median age 45 years [range 25-65]). Diarrhea (90%), fatigue (83%), and abdominal pain (79%) were the most commonly reported symptoms. Eight cases were laboratory-confirmed and had E. bieneusi genotype C. The incubation period was between 5 and 12 days, and polymerase chain reaction (PCR)-detectable spore shedding occurred up to 43 days after symptom onset. Disease was associated with consuming food from the workplace canteen on 4 November 2020 (relative risk [RR[, 2.8 [95% confidence interval [CI]: 1.4 - 5.4]) and lunchboxes containing open sandwiches (RR, 3.2 [95% CI: 1.4 - 7.2]) served that day.</p><p><strong>Conclusions: </strong>This is the second documented foodborne outbreak of E. bieneusi genotype C-associated diarrhea worldwide. Epidemiological findings advocated an open sandwiches lunchbox from 4 November 2020, as a likely source. E. bieneusi may be an under-reported cause of outbreaks of diarrhea, and testing for it might be useful in foodborne outbreak investigations.</p>","PeriodicalId":10421,"journal":{"name":"Clinical Infectious Diseases: An Official Publication of the Infectious Diseases Society of America","volume":" ","pages":"468-475"},"PeriodicalIF":0.0000,"publicationDate":"2022-08-31","publicationTypes":"Journal Article","fieldsOfStudy":null,"isOpenAccess":false,"openAccessPdf":"https://ftp.ncbi.nlm.nih.gov/pub/pmc/oa_pdf/66/88/ciab949.PMC9427152.pdf","citationCount":"6","resultStr":null,"platform":"Semanticscholar","paperid":null,"PeriodicalName":"Clinical Infectious Diseases: An Official Publication of the Infectious Diseases Society of America","FirstCategoryId":"3","ListUrlMain":"https://doi.org/10.1093/cid/ciab949","RegionNum":0,"RegionCategory":null,"ArticlePicture":[],"TitleCN":null,"AbstractTextCN":null,"PMCID":null,"EPubDate":"","PubModel":"","JCR":"","JCRName":"","Score":null,"Total":0}
引用次数: 6

Abstract

Background: Microsporidia are rarely reported to cause outbreaks of diarrhea. We describe a foodborne outbreak of microsporidiosis from a workplace canteen in November 2020 in Denmark.

Methods: A probable case was defined as any person using the canteen between 4 November and 13 December 2020, reporting at least one gastrointestinal symptom, whereas a confirmed case also had an Enterocytozoon bieneusi positive stool sample. A web-based questionnaire was used to collect clinical, epidemiological, and food exposure data. We performed a retrospective cohort study and tested stool samples from affected individuals for bacterial, viral, and parasitic pathogens, including E. bieneusi.

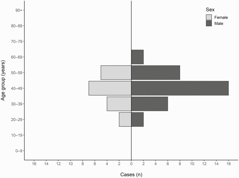
Results: Altogether, 195 individuals completed the questionnaire. We identified 52 cases (65% male; median age 45 years [range 25-65]). Diarrhea (90%), fatigue (83%), and abdominal pain (79%) were the most commonly reported symptoms. Eight cases were laboratory-confirmed and had E. bieneusi genotype C. The incubation period was between 5 and 12 days, and polymerase chain reaction (PCR)-detectable spore shedding occurred up to 43 days after symptom onset. Disease was associated with consuming food from the workplace canteen on 4 November 2020 (relative risk [RR[, 2.8 [95% confidence interval [CI]: 1.4 - 5.4]) and lunchboxes containing open sandwiches (RR, 3.2 [95% CI: 1.4 - 7.2]) served that day.

Conclusions: This is the second documented foodborne outbreak of E. bieneusi genotype C-associated diarrhea worldwide. Epidemiological findings advocated an open sandwiches lunchbox from 4 November 2020, as a likely source. E. bieneusi may be an under-reported cause of outbreaks of diarrhea, and testing for it might be useful in foodborne outbreak investigations.

Abstract Image

Abstract Image

2020年丹麦一次食源性暴发中bieneusi基因型C型感染的潜伏期、孢子脱落时间和症状
背景:微孢子虫引起腹泻暴发的报道很少。我们描述了2020年11月在丹麦工作场所食堂发生的食源性微孢子虫病暴发。方法:将2020年11月4日至12月13日期间使用食堂并报告至少一种胃肠道症状的任何人定义为可能病例,而确诊病例也有双胞虫粪便样本阳性。使用基于网络的问卷收集临床、流行病学和食物暴露数据。我们进行了一项回顾性队列研究,并对感染个体的粪便样本进行了细菌、病毒和寄生虫病原体的检测,包括比氏肠杆菌。结果:共195人完成问卷。我们确定了52例(65%为男性;中位年龄45岁[范围25-65])。腹泻(90%)、疲劳(83%)和腹痛(79%)是最常见的症状。8例经实验室确诊为双胞杆菌c基因型。潜伏期为5 - 12天,在症状出现后43天内出现聚合酶链反应(PCR)检测到的孢子脱落。疾病与在2020年11月4日食用工作场所食堂的食物(相对危险度[RR], 2.8[95%可信区间[CI]: 1.4 - 5.4])和当天提供的午餐盒(RR, 3.2[95%可信区间:1.4 - 7.2])有关。结论:这是世界范围内第二次记录的基因型c型比氏埃希菌相关腹泻食源性暴发。流行病学调查结果表明,从2020年11月4日起,开放式三明治午餐盒可能是感染源。比氏肠杆菌可能是腹泻暴发的一种未被充分报道的病因,对其进行检测可能有助于食源性暴发调查。
本文章由计算机程序翻译,如有差异,请以英文原文为准。
求助全文
约1分钟内获得全文 求助全文
来源期刊
自引率
0.00%
发文量
0
×
引用
GB/T 7714-2015
复制
MLA
复制
APA
复制
导出至
BibTeX EndNote RefMan NoteFirst NoteExpress
×
提示
您的信息不完整,为了账户安全,请先补充。
现在去补充
×
提示
您因"违规操作"
具体请查看互助需知
我知道了
×
提示
确定
请完成安全验证×
copy
已复制链接
快去分享给好友吧!
我知道了
右上角分享
点击右上角分享
0
联系我们:info@booksci.cn Book学术提供免费学术资源搜索服务,方便国内外学者检索中英文文献。致力于提供最便捷和优质的服务体验。 Copyright © 2023 布克学术 All rights reserved.
京ICP备2023020795号-1
ghs 京公网安备 11010802042870号
Book学术文献互助
Book学术文献互助群
群 号:604180095
Book学术官方微信