Intramuscular uptake of tranexamic acid during haemorrhagic shock in a swine model.

Håkon Kvåle Bakke, Ole Martin Fuskevåg, Erik Waage Nielsen, Erik Sveberg Dietrichs
{"title":"Intramuscular uptake of tranexamic acid during haemorrhagic shock in a swine model.","authors":"Håkon Kvåle Bakke,&nbsp;Ole Martin Fuskevåg,&nbsp;Erik Waage Nielsen,&nbsp;Erik Sveberg Dietrichs","doi":"10.1186/s13049-021-00983-2","DOIUrl":null,"url":null,"abstract":"<p><strong>Background: </strong>Tranexamic acid (TXA) reduce mortality in bleeding trauma patients, with greater effect if administered early. Serum concentrations above 10 µg/mL are considered sufficient to inhibit fibrinolysis. Normally administered intravenously (i.v.), TXA can also be administered intramuscularly (i.m.). This could be advantageous in low resource and military settings, if sufficient serum concentrations can be reached in shocked patients with reduced muscular blood perfusion. Accordingly, we aimed to: (1) Determine the impact of shock on the pharmacokinetics of i.m. TXA, and (2) Compare the pharmacokinetics of i.v. versus i.m. TXA in ongoing shock.</p><p><strong>Materials and methods: </strong>In a prospective experimental study, N = 18 Norwegian landrace pigs (40-50 kg), utilised in a surgical course in haemostatic emergency surgery, were subjected to various abdominal and thoracic trauma. After 1 h of surgery the animals were given 15 mg/kg TXA either i.v. or i.m. A control group without injury, or surgery, received intramuscular TXA. Blood samples were drawn at 0, 5, 15, 25, 35, 45, 60 and 85 min. The samples were centrifuged and analysed with liquid chromatography-tandem mass spectrometry (LC-MS/MS) for TXA serum-concentrations.</p><p><strong>Results: </strong>In shocked pigs, i.m. administration resulted in a mean maximum serum concentration (C<sub>max</sub>) of 20.9 µg/mL, and i.v. administration a C<sub>max</sub> of 48.1 µg/mL. C<sub>max</sub> occurred 15 min after i.m. administration and 5 min after i.v. administration. In non-shocked swine, i.m. administration resulted in a C<sub>max</sub> of 36.9 µg/mL after 15 min. In all groups, mean TXA serum concentrations stayed above 10 µg/mL from administration to end of experiments.</p><p><strong>Conclusions: </strong>I.m. administration of TXA in shocked pigs provides serum concentrations associated with inhibition of fibrinolysis. It may be an alternative to i.v. and intraosseous administration during stabilisation and transport of trauma patients to advanced medical care.</p>","PeriodicalId":501057,"journal":{"name":"Scandinavian Journal of Trauma, Resuscitation and Emergency Medicine","volume":" ","pages":"171"},"PeriodicalIF":0.0000,"publicationDate":"2021-12-18","publicationTypes":"Journal Article","fieldsOfStudy":null,"isOpenAccess":false,"openAccessPdf":"https://www.ncbi.nlm.nih.gov/pmc/articles/PMC8684106/pdf/","citationCount":"1","resultStr":null,"platform":"Semanticscholar","paperid":null,"PeriodicalName":"Scandinavian Journal of Trauma, Resuscitation and Emergency Medicine","FirstCategoryId":"3","ListUrlMain":"https://doi.org/10.1186/s13049-021-00983-2","RegionNum":0,"RegionCategory":null,"ArticlePicture":[],"TitleCN":null,"AbstractTextCN":null,"PMCID":null,"EPubDate":"","PubModel":"","JCR":"","JCRName":"","Score":null,"Total":0}
引用次数: 1

Abstract

Background: Tranexamic acid (TXA) reduce mortality in bleeding trauma patients, with greater effect if administered early. Serum concentrations above 10 µg/mL are considered sufficient to inhibit fibrinolysis. Normally administered intravenously (i.v.), TXA can also be administered intramuscularly (i.m.). This could be advantageous in low resource and military settings, if sufficient serum concentrations can be reached in shocked patients with reduced muscular blood perfusion. Accordingly, we aimed to: (1) Determine the impact of shock on the pharmacokinetics of i.m. TXA, and (2) Compare the pharmacokinetics of i.v. versus i.m. TXA in ongoing shock.

Materials and methods: In a prospective experimental study, N = 18 Norwegian landrace pigs (40-50 kg), utilised in a surgical course in haemostatic emergency surgery, were subjected to various abdominal and thoracic trauma. After 1 h of surgery the animals were given 15 mg/kg TXA either i.v. or i.m. A control group without injury, or surgery, received intramuscular TXA. Blood samples were drawn at 0, 5, 15, 25, 35, 45, 60 and 85 min. The samples were centrifuged and analysed with liquid chromatography-tandem mass spectrometry (LC-MS/MS) for TXA serum-concentrations.

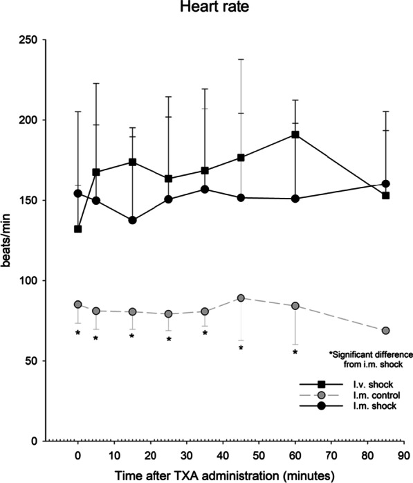
Results: In shocked pigs, i.m. administration resulted in a mean maximum serum concentration (Cmax) of 20.9 µg/mL, and i.v. administration a Cmax of 48.1 µg/mL. Cmax occurred 15 min after i.m. administration and 5 min after i.v. administration. In non-shocked swine, i.m. administration resulted in a Cmax of 36.9 µg/mL after 15 min. In all groups, mean TXA serum concentrations stayed above 10 µg/mL from administration to end of experiments.

Conclusions: I.m. administration of TXA in shocked pigs provides serum concentrations associated with inhibition of fibrinolysis. It may be an alternative to i.v. and intraosseous administration during stabilisation and transport of trauma patients to advanced medical care.

Abstract Image

Abstract Image

Abstract Image

猪模型出血性休克期间氨甲环酸的肌肉摄取。
背景:氨甲环酸(TXA)降低出血性创伤患者的死亡率,如果早期给药效果更大。血清浓度高于10µg/mL被认为足以抑制纤维蛋白溶解。TXA通常通过静脉注射(i.v.),也可以通过肌肉注射(i.m.)。在低资源和军事环境下,如果休克患者肌肉血流灌注减少,可以达到足够的血清浓度,这可能是有利的。因此,我们的目的是:(1)确定休克对内服TXA药代动力学的影响;(2)比较持续休克时静脉注射和内服TXA的药代动力学。材料和方法:在一项前瞻性实验研究中,N = 18头挪威长白猪(40-50公斤)被用于止血急诊手术的手术过程中,受到各种腹部和胸部创伤。手术1 h后给予15 mg/kg的TXA静脉注射或静脉注射,未损伤对照组或手术对照组肌肉注射TXA。分别于0、5、15、25、35、45、60和85 min时取血,离心后采用液相色谱-串联质谱(LC-MS/MS)分析血清TXA浓度。结果:在休克猪中,静脉给药的平均最大血清浓度(Cmax)为20.9µg/mL,静脉给药的Cmax为48.1µg/mL。Cmax分别发生在给药后15 min和静脉给药后5 min。在未休克的猪中,15分钟后给药的Cmax为36.9µg/mL。在所有组中,从给药到实验结束,TXA的平均血清浓度都保持在10µg/mL以上。结论:休克猪体内注射TXA可提供与纤维蛋白溶解抑制相关的血清浓度。在稳定和运送创伤患者到高级医疗护理期间,它可能是静脉注射和骨内给药的替代方法。
本文章由计算机程序翻译,如有差异,请以英文原文为准。
求助全文
约1分钟内获得全文 求助全文
来源期刊
自引率
0.00%
发文量
0
×
引用
GB/T 7714-2015
复制
MLA
复制
APA
复制
导出至
BibTeX EndNote RefMan NoteFirst NoteExpress
×
提示
您的信息不完整,为了账户安全,请先补充。
现在去补充
×
提示
您因"违规操作"
具体请查看互助需知
我知道了
×
提示
确定
请完成安全验证×
copy
已复制链接
快去分享给好友吧!
我知道了
右上角分享
点击右上角分享
0
联系我们:info@booksci.cn Book学术提供免费学术资源搜索服务,方便国内外学者检索中英文文献。致力于提供最便捷和优质的服务体验。 Copyright © 2023 布克学术 All rights reserved.
京ICP备2023020795号-1
ghs 京公网安备 11010802042870号
Book学术文献互助
Book学术文献互助群
群 号:604180095
Book学术官方微信