A Probabilistic Programming Approach to Protein Structure Superposition.

Lys Sanz Moreta, Ahmad Salim Al-Sibahi, Douglas Theobald, William Bullock, Basile Nicolas Rommes, Andreas Manoukian, Thomas Hamelryck
{"title":"A Probabilistic Programming Approach to Protein Structure Superposition.","authors":"Lys Sanz Moreta, Ahmad Salim Al-Sibahi, Douglas Theobald, William Bullock, Basile Nicolas Rommes, Andreas Manoukian, Thomas Hamelryck","doi":"10.1109/cibcb.2019.8791469","DOIUrl":null,"url":null,"abstract":"<p><p>Optimal superposition of protein structures or other biological molecules is crucial for understanding their structure, function, dynamics and evolution. Here, we investigate the use of probabilistic programming to superimpose protein structures guided by a Bayesian model. Our model THESEUS-PP is based on the THESEUS model, a probabilistic model of protein superposition based on rotation, translation and perturbation of an underlying, latent mean structure. The model was implemented in the probabilistic programming language Pyro. Unlike conventional methods that minimize the sum of the squared distances, THESEUS takes into account correlated atom positions and heteroscedasticity (ie. atom positions can feature different variances). THESEUS performs maximum likelihood estimation using iterative expectation-maximization. In contrast, THESEUS-PP allows automated maximum a-posteriori (MAP) estimation using suitable priors over rotation, translation, variances and latent mean structure. The results indicate that probabilistic programming is a powerful new paradigm for the formulation of Bayesian probabilistic models concerning biomolecular structure. Specifically, we envision the use of the THESEUS-PP model as a suitable error model or likelihood in Bayesian protein structure prediction using deep probabilistic programming.</p>","PeriodicalId":88962,"journal":{"name":"Proceedings of the ... IEEE Symposium on Computational Intelligence in Bioinformatics and Computational Biology : CIBCB. IEEE Symposium on Computational Intelligence in Bioinformatics and Computational Biology","volume":"2019 ","pages":""},"PeriodicalIF":0.0000,"publicationDate":"2019-07-01","publicationTypes":"Journal Article","fieldsOfStudy":null,"isOpenAccess":false,"openAccessPdf":"https://ftp.ncbi.nlm.nih.gov/pub/pmc/oa_pdf/d5/8b/nihms-1744718.PMC8515897.pdf","citationCount":"0","resultStr":null,"platform":"Semanticscholar","paperid":null,"PeriodicalName":"Proceedings of the ... IEEE Symposium on Computational Intelligence in Bioinformatics and Computational Biology : CIBCB. IEEE Symposium on Computational Intelligence in Bioinformatics and Computational Biology","FirstCategoryId":"1085","ListUrlMain":"https://doi.org/10.1109/cibcb.2019.8791469","RegionNum":0,"RegionCategory":null,"ArticlePicture":[],"TitleCN":null,"AbstractTextCN":null,"PMCID":null,"EPubDate":"2019/8/8 0:00:00","PubModel":"Epub","JCR":"","JCRName":"","Score":null,"Total":0}
引用次数: 0

Abstract

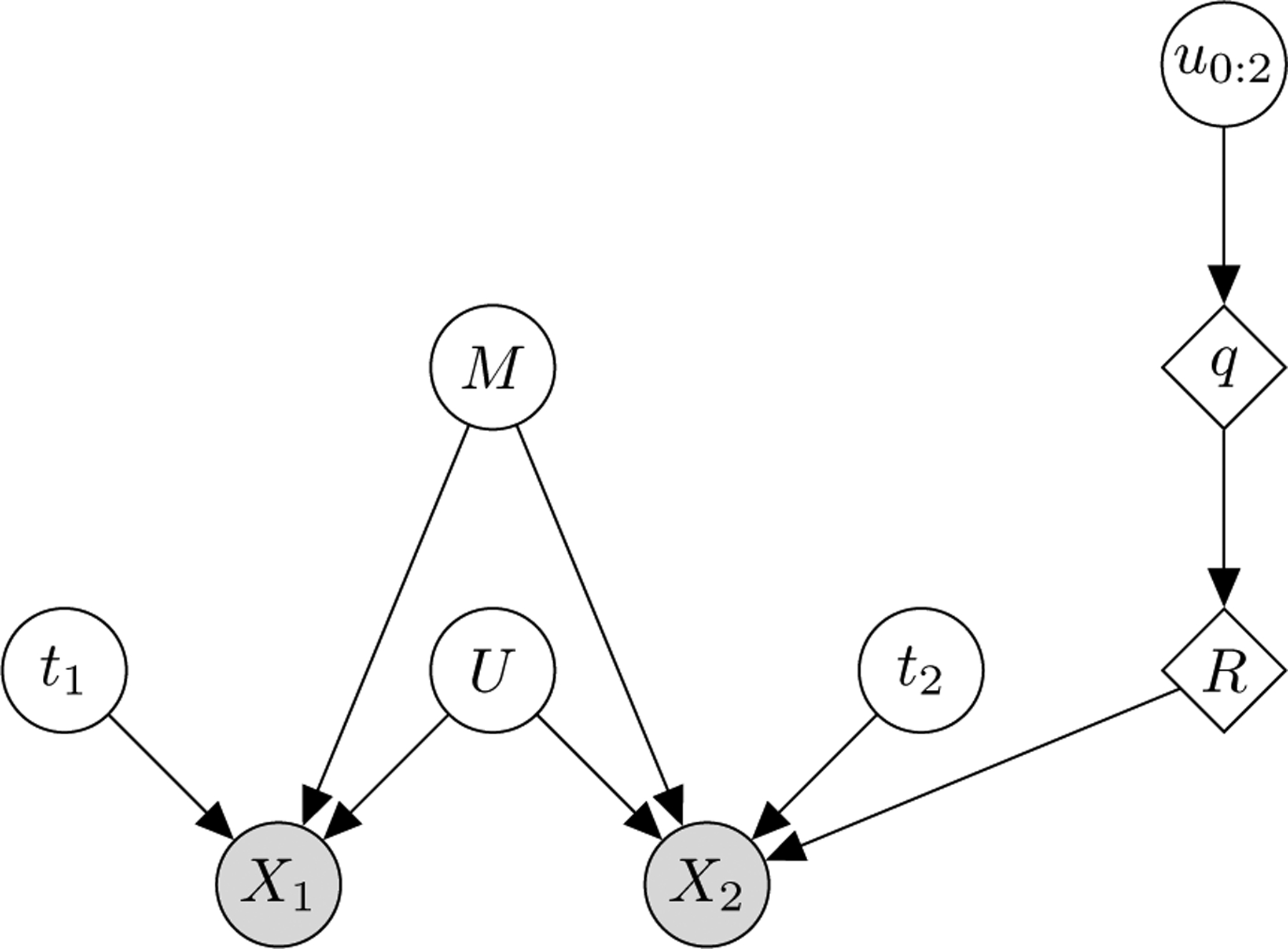
Optimal superposition of protein structures or other biological molecules is crucial for understanding their structure, function, dynamics and evolution. Here, we investigate the use of probabilistic programming to superimpose protein structures guided by a Bayesian model. Our model THESEUS-PP is based on the THESEUS model, a probabilistic model of protein superposition based on rotation, translation and perturbation of an underlying, latent mean structure. The model was implemented in the probabilistic programming language Pyro. Unlike conventional methods that minimize the sum of the squared distances, THESEUS takes into account correlated atom positions and heteroscedasticity (ie. atom positions can feature different variances). THESEUS performs maximum likelihood estimation using iterative expectation-maximization. In contrast, THESEUS-PP allows automated maximum a-posteriori (MAP) estimation using suitable priors over rotation, translation, variances and latent mean structure. The results indicate that probabilistic programming is a powerful new paradigm for the formulation of Bayesian probabilistic models concerning biomolecular structure. Specifically, we envision the use of the THESEUS-PP model as a suitable error model or likelihood in Bayesian protein structure prediction using deep probabilistic programming.

Abstract Image

Abstract Image

Abstract Image

蛋白质结构叠加的概率编程方法
蛋白质结构或其他生物分子的最佳叠加对于理解其结构、功能、动力学和进化至关重要。在此,我们研究了在贝叶斯模型指导下使用概率编程叠加蛋白质结构的方法。我们的 THESEUS-PP 模型以 THESEUS 模型为基础,THESEUS 模型是一个基于潜在平均结构的旋转、平移和扰动的蛋白质叠加概率模型。该模型由概率编程语言 Pyro 实现。与最小化距离平方和的传统方法不同,THESEUS 考虑到了原子位置的相关性和异方差性(即原子位置可能具有不同的方差)。THESEUS 采用迭代期望最大化方法进行最大似然估计。相比之下,THESEUS-PP 允许使用旋转、平移、方差和潜在平均结构的适当先验值自动进行最大后验(MAP)估计。研究结果表明,概率编程是建立生物分子结构贝叶斯概率模型的强大新范式。具体来说,我们设想在使用深度概率编程进行贝叶斯蛋白质结构预测时,将 THESEUS-PP 模型用作合适的误差模型或似然。
本文章由计算机程序翻译,如有差异,请以英文原文为准。
求助全文
约1分钟内获得全文 求助全文
来源期刊
自引率
0.00%
发文量
0
×
引用
GB/T 7714-2015
复制
MLA
复制
APA
复制
导出至
BibTeX EndNote RefMan NoteFirst NoteExpress
×
提示
您的信息不完整,为了账户安全,请先补充。
现在去补充
×
提示
您因"违规操作"
具体请查看互助需知
我知道了
×
提示
确定
请完成安全验证×
copy
已复制链接
快去分享给好友吧!
我知道了
右上角分享
点击右上角分享
0
联系我们:info@booksci.cn Book学术提供免费学术资源搜索服务,方便国内外学者检索中英文文献。致力于提供最便捷和优质的服务体验。 Copyright © 2023 布克学术 All rights reserved.
京ICP备2023020795号-1
ghs 京公网安备 11010802042870号
Book学术文献互助
Book学术文献互助群
群 号:604180095
Book学术官方微信