Relationships among Self-Efficacy, Quality of Life, Perceived Vulnerability, and Readiness to Quit Smoking in People Living with HIV.

IF 1.2 Q4 SUBSTANCE ABUSE
Journal of Smoking Cessation Pub Date : 2021-05-11 eCollection Date: 2021-01-01 DOI:10.1155/2021/6697404
Remington E Donnelly, Haruka Minami, Jacki Hecht, Erika Litvin Bloom, Karen Tashima, Danusha Selva Kumar, Ana Abrantes, Cassandra Stanton, Richard A Brown
{"title":"Relationships among Self-Efficacy, Quality of Life, Perceived Vulnerability, and Readiness to Quit Smoking in People Living with HIV.","authors":"Remington E Donnelly,&nbsp;Haruka Minami,&nbsp;Jacki Hecht,&nbsp;Erika Litvin Bloom,&nbsp;Karen Tashima,&nbsp;Danusha Selva Kumar,&nbsp;Ana Abrantes,&nbsp;Cassandra Stanton,&nbsp;Richard A Brown","doi":"10.1155/2021/6697404","DOIUrl":null,"url":null,"abstract":"<p><p>Smoking-related diseases (e.g., lung cancer) are the leading cause of mortality in HIV-infected patients. While many PLWH who smoke report a desire to quit, a majority of them have low readiness to quit. This study used logistic and linear regression to examine the relations among two (continuous vs. binary) measures of readiness to quit, smoking cessation self-efficacy (SE), quality of life (QoL), and perceived vulnerability (PV) using baseline data from 100 PLWH who smoke who participated in a clinical trial. Results showed no significant main effects (SE, QoL, and PV) or interaction effects (SE × QoL and SE × PV) on a continuous measure of readiness to quit. However, a follow-up analysis revealed that SE had a curvilinear effect on readiness to quit such that self-efficacy was positively associated with readiness to quit except at the highest levels of self-efficacy where readiness to quit declined. Greater SE significantly increased the likelihood of reporting readiness to quit (yes/no) among those with low QoL or high PV. For PLWH who smoke, improving self-efficacy may increase readiness to quit especially among those with lower quality of life. Psychoeducation tailored to PLWH designed to reduce unrealistic invulnerability to smoking-related diseases along with interventions that target self-efficacy may improve readiness to quit.</p>","PeriodicalId":39350,"journal":{"name":"Journal of Smoking Cessation","volume":" ","pages":"6697404"},"PeriodicalIF":1.2000,"publicationDate":"2021-05-11","publicationTypes":"Journal Article","fieldsOfStudy":null,"isOpenAccess":false,"openAccessPdf":"https://www.ncbi.nlm.nih.gov/pmc/articles/PMC8279192/pdf/","citationCount":"0","resultStr":null,"platform":"Semanticscholar","paperid":null,"PeriodicalName":"Journal of Smoking Cessation","FirstCategoryId":"1085","ListUrlMain":"https://doi.org/10.1155/2021/6697404","RegionNum":0,"RegionCategory":null,"ArticlePicture":[],"TitleCN":null,"AbstractTextCN":null,"PMCID":null,"EPubDate":"2021/1/1 0:00:00","PubModel":"eCollection","JCR":"Q4","JCRName":"SUBSTANCE ABUSE","Score":null,"Total":0}
引用次数: 0

Abstract

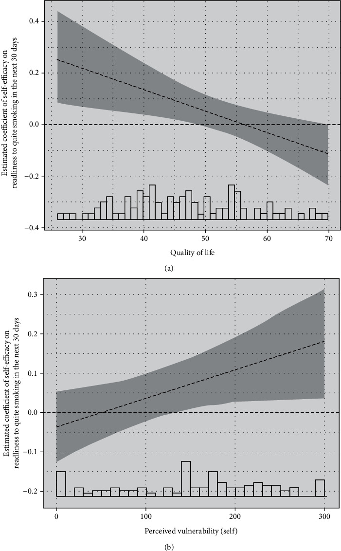
Smoking-related diseases (e.g., lung cancer) are the leading cause of mortality in HIV-infected patients. While many PLWH who smoke report a desire to quit, a majority of them have low readiness to quit. This study used logistic and linear regression to examine the relations among two (continuous vs. binary) measures of readiness to quit, smoking cessation self-efficacy (SE), quality of life (QoL), and perceived vulnerability (PV) using baseline data from 100 PLWH who smoke who participated in a clinical trial. Results showed no significant main effects (SE, QoL, and PV) or interaction effects (SE × QoL and SE × PV) on a continuous measure of readiness to quit. However, a follow-up analysis revealed that SE had a curvilinear effect on readiness to quit such that self-efficacy was positively associated with readiness to quit except at the highest levels of self-efficacy where readiness to quit declined. Greater SE significantly increased the likelihood of reporting readiness to quit (yes/no) among those with low QoL or high PV. For PLWH who smoke, improving self-efficacy may increase readiness to quit especially among those with lower quality of life. Psychoeducation tailored to PLWH designed to reduce unrealistic invulnerability to smoking-related diseases along with interventions that target self-efficacy may improve readiness to quit.

Abstract Image

Abstract Image

HIV感染者自我效能感、生活质量、感知脆弱性和戒烟意愿之间的关系
与吸烟有关的疾病(如肺癌)是艾滋病毒感染者死亡的主要原因。虽然许多吸烟的艾滋病毒感染者报告有戒烟的愿望,但他们中的大多数人戒烟的意愿很低。本研究使用logistic和线性回归来检验两种(连续与二元)戒烟准备、戒烟自我效能(SE)、生活质量(QoL)和感知脆弱性(PV)之间的关系,使用了100名参与临床试验的吸烟PLWH的基线数据。结果显示,在戒烟准备的连续测量上,没有显著的主效应(SE、QoL和PV)或交互效应(SE × QoL和SE × PV)。然而,一项后续分析显示,自我效能感对戒烟准备有曲线效应,除了在最高水平的自我效能感中戒烟准备下降外,自我效能感与戒烟准备呈正相关。在生活质量低或生活价值高的人群中,高SE显著增加了报告准备戒烟的可能性(是/否)。对于吸烟的PLWH来说,提高自我效能感可能会增加戒烟的意愿,尤其是那些生活质量较低的人。为PLWH量身定制的心理教育旨在减少对吸烟相关疾病的不切实际的脆弱性,以及针对自我效能的干预措施可能会提高戒烟的准备程度。
本文章由计算机程序翻译,如有差异,请以英文原文为准。
求助全文
约1分钟内获得全文 求助全文
来源期刊
Journal of Smoking Cessation
Journal of Smoking Cessation Medicine-Psychiatry and Mental Health
CiteScore
1.70
自引率
0.00%
发文量
13
×
引用
GB/T 7714-2015
复制
MLA
复制
APA
复制
导出至
BibTeX EndNote RefMan NoteFirst NoteExpress
×
提示
您的信息不完整,为了账户安全,请先补充。
现在去补充
×
提示
您因"违规操作"
具体请查看互助需知
我知道了
×
提示
确定
请完成安全验证×
copy
已复制链接
快去分享给好友吧!
我知道了
右上角分享
点击右上角分享
0
联系我们:info@booksci.cn Book学术提供免费学术资源搜索服务,方便国内外学者检索中英文文献。致力于提供最便捷和优质的服务体验。 Copyright © 2023 布克学术 All rights reserved.
京ICP备2023020795号-1
ghs 京公网安备 11010802042870号
Book学术文献互助
Book学术文献互助群
群 号:604180095
Book学术官方微信