Circulating Adiponectin and Resistin Levels Are Associated with Adiposity Indices and Physical Fitness in Healthy Adult Males.

IF 2 Q3 MEDICINE, RESEARCH & EXPERIMENTAL
Syed Shahid Habib, Mamoona Sultan, Adeena Khan, Thamir Al-Khlaiwi, Shahid Bashir
{"title":"Circulating Adiponectin and Resistin Levels Are Associated with Adiposity Indices and Physical Fitness in Healthy Adult Males.","authors":"Syed Shahid Habib, Mamoona Sultan, Adeena Khan, Thamir Al-Khlaiwi, Shahid Bashir","doi":"","DOIUrl":null,"url":null,"abstract":"<p><p>BACKGROUND The aim of this study was to assess the correlation of physical fitness scores (PFS) with serum adiponectin, resistin, and adiponectin/resistin ratio (AR ratio) in relation to body adiposity indices in healthy adult males. MATERIAL AND METHODS This cross-sectional study was conducted at the Clinical Physiology Unit, Physiology Department, King Saud University Medical City, King Saud University, Riyadh, from March 2017 to April 2018. We included 125 healthy adult males. Serum samples were obtained after overnight fasting. Analysis was performed for fasting blood glucose (FBG), glycosylated hemoglobin (HbA1c), basal insulin, lipid profile, resistin, and adiponectin. Bioimpedance analysis (BIA) was used to assess body composition. Based on ideal body composition, PFS were computed as previously published for all subjects and compared with serum markers. RESULTS There was a positive correlation of adiponectin with PFS (r=.218, p=0.015) and an inverse correlation with obesity degree (OD), OD (r=-.239, p=0.001), body mass index (BMI) (r=-.244, p=0.001), and waist/hip ratio (WHR) WHR (r=-.296, p=0.001). Moreover, it was correlated negatively with basal insulin (r=-.211, p=0.009) and homeostatic insulin resistance model (HOMA-IR) HOMA-IR (r=-.221, p=0.013). Resistin was correlated negatively with PFS (r=-.203, p=0.023), while its correlation with OD, BMI, WHR, and HOMA-IR was not significant. AR ratio was positively correlated with PFS (r=.286, p=0.001) and negatively with OD (r=-.210, p=0.019), BMI (r=-.222, p=0.013), WHR (r=-.308, p=0.001) and basal insulin (r=-.237, p=0.008). In linear regression analysis, the relationship of PFS was significant with adiponectin (r=.218, p=0.015), resistin (r=-.203, p=0.023) and AR ratio (r=.286, p=0.001). ROC curve analysis showed that individually the values of adiponectin and resistin were not significantly correlated with PFS, but they were significant with the combined AR ratio with AUC 64.6% (p=0.029). CONCLUSIONS Serum adiponectin was positively correlated and resistin was negatively correlated with physical fitness scores based on healthy body composition with low proportion of body adiposity and a higher proportion of fat-free mass. However, the combined effect of adiponectin/resistin ratio is an even better predictor of physical fitness. Moreover, the adiponectin/resistin ratio is even more highly associated with physical fitness than adiponectin or resistin alone.</p>","PeriodicalId":18491,"journal":{"name":"Medical Science Monitor Basic Research","volume":"27 ","pages":"e930322"},"PeriodicalIF":2.0000,"publicationDate":"2021-06-23","publicationTypes":"Journal Article","fieldsOfStudy":null,"isOpenAccess":false,"openAccessPdf":"https://www.ncbi.nlm.nih.gov/pmc/articles/PMC8237699/pdf/","citationCount":"0","resultStr":null,"platform":"Semanticscholar","paperid":null,"PeriodicalName":"Medical Science Monitor Basic Research","FirstCategoryId":"1085","ListUrlMain":"","RegionNum":0,"RegionCategory":null,"ArticlePicture":[],"TitleCN":null,"AbstractTextCN":null,"PMCID":null,"EPubDate":"","PubModel":"","JCR":"Q3","JCRName":"MEDICINE, RESEARCH & EXPERIMENTAL","Score":null,"Total":0}
引用次数: 0

Abstract

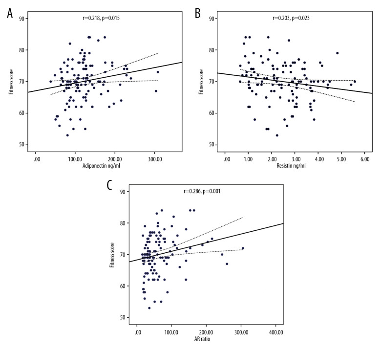
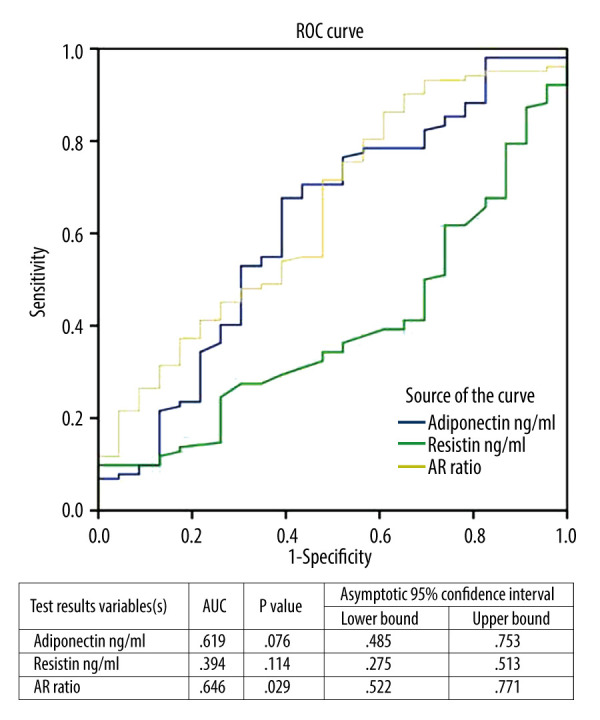
BACKGROUND The aim of this study was to assess the correlation of physical fitness scores (PFS) with serum adiponectin, resistin, and adiponectin/resistin ratio (AR ratio) in relation to body adiposity indices in healthy adult males. MATERIAL AND METHODS This cross-sectional study was conducted at the Clinical Physiology Unit, Physiology Department, King Saud University Medical City, King Saud University, Riyadh, from March 2017 to April 2018. We included 125 healthy adult males. Serum samples were obtained after overnight fasting. Analysis was performed for fasting blood glucose (FBG), glycosylated hemoglobin (HbA1c), basal insulin, lipid profile, resistin, and adiponectin. Bioimpedance analysis (BIA) was used to assess body composition. Based on ideal body composition, PFS were computed as previously published for all subjects and compared with serum markers. RESULTS There was a positive correlation of adiponectin with PFS (r=.218, p=0.015) and an inverse correlation with obesity degree (OD), OD (r=-.239, p=0.001), body mass index (BMI) (r=-.244, p=0.001), and waist/hip ratio (WHR) WHR (r=-.296, p=0.001). Moreover, it was correlated negatively with basal insulin (r=-.211, p=0.009) and homeostatic insulin resistance model (HOMA-IR) HOMA-IR (r=-.221, p=0.013). Resistin was correlated negatively with PFS (r=-.203, p=0.023), while its correlation with OD, BMI, WHR, and HOMA-IR was not significant. AR ratio was positively correlated with PFS (r=.286, p=0.001) and negatively with OD (r=-.210, p=0.019), BMI (r=-.222, p=0.013), WHR (r=-.308, p=0.001) and basal insulin (r=-.237, p=0.008). In linear regression analysis, the relationship of PFS was significant with adiponectin (r=.218, p=0.015), resistin (r=-.203, p=0.023) and AR ratio (r=.286, p=0.001). ROC curve analysis showed that individually the values of adiponectin and resistin were not significantly correlated with PFS, but they were significant with the combined AR ratio with AUC 64.6% (p=0.029). CONCLUSIONS Serum adiponectin was positively correlated and resistin was negatively correlated with physical fitness scores based on healthy body composition with low proportion of body adiposity and a higher proportion of fat-free mass. However, the combined effect of adiponectin/resistin ratio is an even better predictor of physical fitness. Moreover, the adiponectin/resistin ratio is even more highly associated with physical fitness than adiponectin or resistin alone.

Abstract Image

Abstract Image

健康成年男性的循环脂肪连接蛋白和抵抗素水平与肥胖指数和体能有关。
背景 本研究旨在评估健康成年男性的体能评分(PFS)与血清脂肪连通素、抵抗素和脂肪连通素/抵抗素比值(AR 比值)的相关性。材料与方法 这项横断面研究于 2017 年 3 月至 2018 年 4 月在利雅得沙特国王大学医学城沙特国王大学生理学系临床生理学组进行。我们纳入了 125 名健康成年男性。在一夜禁食后采集血清样本。对空腹血糖 (FBG)、糖化血红蛋白 (HbA1c)、基础胰岛素、血脂概况、抵抗素和脂肪连通素进行了分析。生物阻抗分析(BIA)用于评估身体成分。根据理想的身体成分,计算出所有受试者的 PFS,并与血清指标进行比较。结果 脂肪连素与 PFS 呈正相关(r=.218,p=0.015),与肥胖程度(OD)、OD(r=-.239,p=0.001)、体重指数(BMI)(r=-.244,p=0.001)和腰围/臀围比(WHR)WHR(r=-.296,p=0.001)呈反向相关。此外,它与基础胰岛素(r=-.211,p=0.009)和胰岛素抵抗平衡模型(HOMA-IR)HOMA-IR(r=-.221,p=0.013)呈负相关。Resistin 与 PFS 呈负相关(r=-.203,p=0.023),而与 OD、BMI、WHR 和 HOMA-IR 的相关性不显著。AR比值与PFS呈正相关(r=.286,p=0.001),与OD(r=-.210,p=0.019)、BMI(r=-.222,p=0.013)、WHR(r=-.308,p=0.001)和基础胰岛素(r=-.237,p=0.008)呈负相关。在线性回归分析中,PFS 与脂肪连接素(r=.218,p=0.015)、抵抗素(r=-.203,p=0.023)和 AR 比率(r=.286,p=0.001)的关系显著。ROC曲线分析表明,单独的脂肪连接蛋白和抵抗素值与PFS无显著相关性,但它们与AR比值有显著相关性,AUC为64.6%(P=0.029)。结论 血清脂肪连接蛋白与体能评分呈正相关,而抵抗素与体能评分呈负相关。然而,脂肪连通素/抵抗素比率的综合效应能更好地预测体能。此外,与单独使用脂肪连通素或抵抗素相比,脂肪连通素/抵抗素比率与体能的相关性更高。
本文章由计算机程序翻译,如有差异,请以英文原文为准。
求助全文
约1分钟内获得全文 求助全文
来源期刊
Medical Science Monitor Basic Research
Medical Science Monitor Basic Research MEDICINE, RESEARCH & EXPERIMENTAL-
CiteScore
6.00
自引率
0.00%
发文量
16
×
引用
GB/T 7714-2015
复制
MLA
复制
APA
复制
导出至
BibTeX EndNote RefMan NoteFirst NoteExpress
×
提示
您的信息不完整,为了账户安全,请先补充。
现在去补充
×
提示
您因"违规操作"
具体请查看互助需知
我知道了
×
提示
确定
请完成安全验证×
copy
已复制链接
快去分享给好友吧!
我知道了
右上角分享
点击右上角分享
0
联系我们:info@booksci.cn Book学术提供免费学术资源搜索服务,方便国内外学者检索中英文文献。致力于提供最便捷和优质的服务体验。 Copyright © 2023 布克学术 All rights reserved.
京ICP备2023020795号-1
ghs 京公网安备 11010802042870号
Book学术文献互助
Book学术文献互助群
群 号:604180095
Book学术官方微信