Peak Expiratory Flow as an Index of Frailty Syndrome in Older Adults: A Cross-Sectional Study.

J A Magave, S J S Bezerra, A P Matos, A C P N Pinto, M S Pegorari, D G Ohara
{"title":"Peak Expiratory Flow as an Index of Frailty Syndrome in Older Adults: A Cross-Sectional Study.","authors":"J A Magave, S J S Bezerra, A P Matos, A C P N Pinto, M S Pegorari, D G Ohara","doi":"10.1007/s12603-020-1423-3","DOIUrl":null,"url":null,"abstract":"<p><strong>Objectives: </strong>to compare the obtained and predicted peak expiratory flow (PEF) values between frail, pre-frail, and non-frail older adults; verify the association between PEF and FS; and establish cut-off points for PEF as determinants of frailty syndrome (FS).</p><p><strong>Design: </strong>Cross-sectional study.</p><p><strong>Location: </strong>Macapá, Amapá, Brazil.</p><p><strong>Participants: </strong>Community-based study community-dwelling older people.</p><p><strong>Methods: </strong>PEF was evaluated using a peak-flow meter and FS was evaluated using Fried's frailty phenotype. The statistical analyses performed included a multinomial logistic regression model and Receiver Operating Characteristic (ROC) curves to establish cut-off points for discriminating FS.</p><p><strong>Results: </strong>409 older adults with a mean age of 70.09±7.22 years were evaluated; of these, 58.7% were pre-frail, and 12.7% were frail. PEF was lower in frail than in pre-frail participants, and lower in pre-frail than in non-frail. Frail and pre-frail older adults obtained lower PEF values than predicted. PEF (% Predicted) was inversely associated with frailty and pre-frailty even after adjustment. Cut-off points were established to discriminate the presence of frailty in older men (PEF≤350L/min; AUC=0.669; sensitivity=76.92%; specificity=52%) and women (PEF≤220L/min; AUC=0.597; sensitivity=71.79%; specificity=46.98%).</p><p><strong>Conclusions: </strong>Frail and pre-frail older adults presented significantly lower PEF than non-frail participants, and these values were lower than predicted. PEF was inversely associated with frailty and pre-frailty. PEF cut-off points can be used as a complementary method to indicate frailty in community-dwelling older adults.</p>","PeriodicalId":501202,"journal":{"name":"The Journal of Nutrition, Health & Aging","volume":" ","pages":"993-998"},"PeriodicalIF":0.0000,"publicationDate":"2020-01-01","publicationTypes":"Journal Article","fieldsOfStudy":null,"isOpenAccess":false,"openAccessPdf":"https://www.ncbi.nlm.nih.gov/pmc/articles/PMC12280685/pdf/","citationCount":"0","resultStr":null,"platform":"Semanticscholar","paperid":null,"PeriodicalName":"The Journal of Nutrition, Health & Aging","FirstCategoryId":"1085","ListUrlMain":"https://doi.org/10.1007/s12603-020-1423-3","RegionNum":0,"RegionCategory":null,"ArticlePicture":[],"TitleCN":null,"AbstractTextCN":null,"PMCID":null,"EPubDate":"","PubModel":"","JCR":"","JCRName":"","Score":null,"Total":0}
引用次数: 0

Abstract

Objectives: to compare the obtained and predicted peak expiratory flow (PEF) values between frail, pre-frail, and non-frail older adults; verify the association between PEF and FS; and establish cut-off points for PEF as determinants of frailty syndrome (FS).

Design: Cross-sectional study.

Location: Macapá, Amapá, Brazil.

Participants: Community-based study community-dwelling older people.

Methods: PEF was evaluated using a peak-flow meter and FS was evaluated using Fried's frailty phenotype. The statistical analyses performed included a multinomial logistic regression model and Receiver Operating Characteristic (ROC) curves to establish cut-off points for discriminating FS.

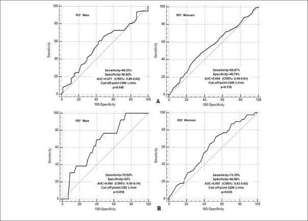
Results: 409 older adults with a mean age of 70.09±7.22 years were evaluated; of these, 58.7% were pre-frail, and 12.7% were frail. PEF was lower in frail than in pre-frail participants, and lower in pre-frail than in non-frail. Frail and pre-frail older adults obtained lower PEF values than predicted. PEF (% Predicted) was inversely associated with frailty and pre-frailty even after adjustment. Cut-off points were established to discriminate the presence of frailty in older men (PEF≤350L/min; AUC=0.669; sensitivity=76.92%; specificity=52%) and women (PEF≤220L/min; AUC=0.597; sensitivity=71.79%; specificity=46.98%).

Conclusions: Frail and pre-frail older adults presented significantly lower PEF than non-frail participants, and these values were lower than predicted. PEF was inversely associated with frailty and pre-frailty. PEF cut-off points can be used as a complementary method to indicate frailty in community-dwelling older adults.

Abstract Image

呼气峰值流量作为老年人虚弱综合征的指标:一项横断面研究。
目的:比较体弱、体弱前期和非体弱老年人的呼气峰流量(PEF)值;验证PEF和FS之间的关联;并建立PEF作为虚弱综合征(FS)决定因素的分界点。设计:横断面研究。地点:巴西macap, amap。参与者:以社区为基础的研究,居住在社区的老年人。方法:PEF采用峰流量仪评估,FS采用Fried’s脆性表型评估。统计分析包括多项逻辑回归模型和受试者工作特征(ROC)曲线,以建立区分FS的截止点。结果:共纳入老年人409例,平均年龄70.09±7.22岁;其中58.7%为体弱前期,12.7%为体弱。体弱者的PEF低于体弱前期的参与者,体弱前期的参与者低于非体弱者。体弱和体弱前老年人的PEF值低于预测值。即使在调整后,PEF(预测百分比)与脆弱和预脆弱呈负相关。建立分界点以区分老年男性(PEF≤350L/min;AUC = 0.669;敏感性= 76.92%;特异性=52%)和女性(PEF≤220L/min;AUC = 0.597;敏感性= 71.79%;特异性= 46.98%)。结论:体弱和体弱前期老年人的PEF显著低于非体弱参与者,且这些值低于预测。PEF与脆弱和脆弱前期呈负相关。PEF分界点可以作为一种补充方法来指示社区居住的老年人的虚弱程度。
本文章由计算机程序翻译,如有差异,请以英文原文为准。
求助全文
约1分钟内获得全文 求助全文
来源期刊
自引率
0.00%
发文量
0
×
引用
GB/T 7714-2015
复制
MLA
复制
APA
复制
导出至
BibTeX EndNote RefMan NoteFirst NoteExpress
×
提示
您的信息不完整,为了账户安全,请先补充。
现在去补充
×
提示
您因"违规操作"
具体请查看互助需知
我知道了
×
提示
确定
请完成安全验证×
copy
已复制链接
快去分享给好友吧!
我知道了
右上角分享
点击右上角分享
0
联系我们:info@booksci.cn Book学术提供免费学术资源搜索服务,方便国内外学者检索中英文文献。致力于提供最便捷和优质的服务体验。 Copyright © 2023 布克学术 All rights reserved.
京ICP备2023020795号-1
ghs 京公网安备 11010802042870号
Book学术文献互助
Book学术文献互助群
群 号:604180095
Book学术官方微信