Both overlapping and independent mechanisms determine how diet and insulin-ligand knockouts extend lifespan of Drosophila melanogaster.

IF 5.4 Q1 GERIATRICS & GERONTOLOGY
NPJ Aging and Mechanisms of Disease Pub Date : 2017-02-20 eCollection Date: 2017-01-01 DOI:10.1038/s41514-017-0004-0
Jelle Zandveld, Joost van den Heuvel, Bastiaan J Zwaan, Matthew D W Piper
{"title":"Both overlapping and independent mechanisms determine how diet and insulin-ligand knockouts extend lifespan of <i>Drosophila melanogaster</i>.","authors":"Jelle Zandveld,&nbsp;Joost van den Heuvel,&nbsp;Bastiaan J Zwaan,&nbsp;Matthew D W Piper","doi":"10.1038/s41514-017-0004-0","DOIUrl":null,"url":null,"abstract":"<p><p>Lifespan in many organisms, including <i>Drosophila melanogaster</i>, can be increased by reduced insulin-IGF-like signaling (IIS) or by changes in diet. Most studies testing whether IIS is involved in diet-mediated lifespan extension employ only a few diets, but recent data shows that a broad range of nutritional environments is required. Here, we present lifespan data of long-lived <i>Drosophila</i>, lacking three of the eight insulin-like peptides [<i>Drosophila</i> insulin-like peptides 2,3,5 (<i>dilp2-3,5</i>)] on nine different diets that surround the optimum for lifespan. Their nutritional content was varied by manipulating sugar and yeast concentrations independently, and thus incorporated changes in both diet restriction and nutrient balance. The mutants were substantially longer-lived than controls on every diet, but the effects on the lifespan response to sugar and yeast differed. Our data illustrates how a greater coverage of diet balance (DB) and restriction can unify differing interpretations of how IIS might be involved in the response of lifespan to diet.</p>","PeriodicalId":19334,"journal":{"name":"NPJ Aging and Mechanisms of Disease","volume":" ","pages":"4"},"PeriodicalIF":5.4000,"publicationDate":"2017-02-20","publicationTypes":"Journal Article","fieldsOfStudy":null,"isOpenAccess":false,"openAccessPdf":"https://sci-hub-pdf.com/10.1038/s41514-017-0004-0","citationCount":"9","resultStr":null,"platform":"Semanticscholar","paperid":null,"PeriodicalName":"NPJ Aging and Mechanisms of Disease","FirstCategoryId":"1085","ListUrlMain":"https://doi.org/10.1038/s41514-017-0004-0","RegionNum":0,"RegionCategory":null,"ArticlePicture":[],"TitleCN":null,"AbstractTextCN":null,"PMCID":null,"EPubDate":"2017/1/1 0:00:00","PubModel":"eCollection","JCR":"Q1","JCRName":"GERIATRICS & GERONTOLOGY","Score":null,"Total":0}
引用次数: 9

Abstract

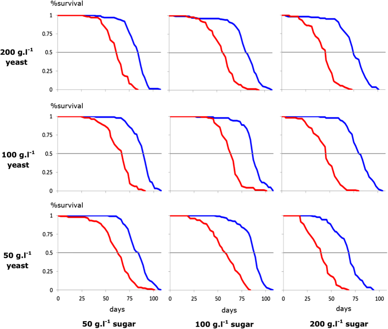
Lifespan in many organisms, including Drosophila melanogaster, can be increased by reduced insulin-IGF-like signaling (IIS) or by changes in diet. Most studies testing whether IIS is involved in diet-mediated lifespan extension employ only a few diets, but recent data shows that a broad range of nutritional environments is required. Here, we present lifespan data of long-lived Drosophila, lacking three of the eight insulin-like peptides [Drosophila insulin-like peptides 2,3,5 (dilp2-3,5)] on nine different diets that surround the optimum for lifespan. Their nutritional content was varied by manipulating sugar and yeast concentrations independently, and thus incorporated changes in both diet restriction and nutrient balance. The mutants were substantially longer-lived than controls on every diet, but the effects on the lifespan response to sugar and yeast differed. Our data illustrates how a greater coverage of diet balance (DB) and restriction can unify differing interpretations of how IIS might be involved in the response of lifespan to diet.

Abstract Image

Abstract Image

重叠和独立的机制决定了饮食和胰岛素配体敲除如何延长黑腹果蝇的寿命。
许多生物,包括黑腹果蝇,可以通过减少胰岛素- igf样信号(IIS)或改变饮食来延长寿命。大多数测试IIS是否与饮食介导的寿命延长有关的研究只采用了几种饮食,但最近的数据表明,需要广泛的营养环境。在这里,我们提供了长寿果蝇的寿命数据,这些果蝇在九种不同的饮食中缺乏八种胰岛素样肽中的三种[果蝇胰岛素样肽2,3,5 (dilp2-3,5)],这些饮食围绕着最佳的寿命。它们的营养成分是通过单独控制糖和酵母浓度来改变的,从而结合了饮食限制和营养平衡的变化。在每一种饮食中,突变体的寿命都比对照组长得多,但对糖和酵母的寿命反应的影响有所不同。我们的数据表明,饮食平衡(DB)和饮食限制的更广泛的覆盖范围可以统一IIS如何参与寿命对饮食的反应的不同解释。
本文章由计算机程序翻译,如有差异,请以英文原文为准。
求助全文
约1分钟内获得全文 求助全文
来源期刊
NPJ Aging and Mechanisms of Disease
NPJ Aging and Mechanisms of Disease Medicine-Geriatrics and Gerontology
自引率
0.00%
发文量
0
审稿时长
8 weeks
期刊介绍: npj Aging and Mechanisms of Disease is an online open access journal that provides a forum for the world’s most important research in the fields of aging and aging-related disease. The journal publishes papers from all relevant disciplines, encouraging those that shed light on the mechanisms behind aging and the associated diseases. The journal’s scope includes, but is not restricted to, the following areas (not listed in order of preference): • cellular and molecular mechanisms of aging and aging-related diseases • interventions to affect the process of aging and longevity • homeostatic regulation and aging • age-associated complications • translational research into prevention and treatment of aging-related diseases • mechanistic bases for epidemiological aspects of aging-related disease.
×
引用
GB/T 7714-2015
复制
MLA
复制
APA
复制
导出至
BibTeX EndNote RefMan NoteFirst NoteExpress
×
提示
您的信息不完整,为了账户安全,请先补充。
现在去补充
×
提示
您因"违规操作"
具体请查看互助需知
我知道了
×
提示
确定
请完成安全验证×
copy
已复制链接
快去分享给好友吧!
我知道了
右上角分享
点击右上角分享
0
联系我们:info@booksci.cn Book学术提供免费学术资源搜索服务,方便国内外学者检索中英文文献。致力于提供最便捷和优质的服务体验。 Copyright © 2023 布克学术 All rights reserved.
京ICP备2023020795号-1
ghs 京公网安备 11010802042870号
Book学术文献互助
Book学术文献互助群
群 号:604180095
Book学术官方微信