Serum Cytokine Profile in Asian Indian Patients with Takayasu Arteritis and its Association with Disease Activity.

Q4 Medicine
Open Rheumatology Journal Pub Date : 2017-02-28 eCollection Date: 2017-01-01 DOI:10.2174/1874312901711010023
Ruchika Goel, Jayakanthan Kabeerdoss, Babu Ram, John Antony Jude Prakash, Sudhir Babji, Aswin Nair, Lakshmanan Jeyaseelan, Visalakshi Jeyaseelan, John Mathew, Veeraraghavan Balaji, George Joseph, Debashish Danda
{"title":"Serum Cytokine Profile in Asian Indian Patients with Takayasu Arteritis and its Association with Disease Activity.","authors":"Ruchika Goel,&nbsp;Jayakanthan Kabeerdoss,&nbsp;Babu Ram,&nbsp;John Antony Jude Prakash,&nbsp;Sudhir Babji,&nbsp;Aswin Nair,&nbsp;Lakshmanan Jeyaseelan,&nbsp;Visalakshi Jeyaseelan,&nbsp;John Mathew,&nbsp;Veeraraghavan Balaji,&nbsp;George Joseph,&nbsp;Debashish Danda","doi":"10.2174/1874312901711010023","DOIUrl":null,"url":null,"abstract":"<p><strong>Background: </strong>Arterial inflammation Takayasu arteritis (TA) is an outcome of balance between pro- and anti-inflammatory cytokines. Comprehensive assessment of these cytokines is important for understanding pathogenesis and assessing disease activity.</p><p><strong>Objective: </strong>To study pro- and anti-inflammatory cytokines representing different T-helper cell pathway in serum samples of Asian Indian patients with TA and to assess their association with disease activity.</p><p><strong>Methods: </strong>Consecutive Indian patients with TA were assayed for serum interferon-γ, interleukin-6, interleukin-23, interleukin-17, interleukin-10 and transforming growth factor- β levels at baseline and follow up visit. Patients were grouped into active and stable disease based on Indian Takyasu Arteritis clinical Activity Score-2010. Serum levels of these cytokines between active and stable disease and between baseline and follow up visits were compared by non-parametric tests.</p><p><strong>Results: </strong>Among 32 patients enrolled, 15 were classified as active while 17 as stable disease at baseline. IFN-γ levels were significantly higher in active disease than stable disease (p=0.0129) while other cytokines did not differ significantly between 2 groups. Serum levels of none of the cytokines changed significantly over 2 visits in both responders and non-responders. IL23 levels positively correlate with disease duration ((r=0.999; p<0.005). Modest correlation was observed between IFN-γ and IL23 levels at both baseline and follow up and between IFN-γ and IL-6 and CRP at follow up.</p><p><strong>Conclusion: </strong>IFN-γ levels are raised in active disease in TA and correlates well with other biomarkers of disease activity and proinflammatory cytokines. There is also a direct correlation between Il-23 levels and disease duration.</p>","PeriodicalId":39124,"journal":{"name":"Open Rheumatology Journal","volume":"11 ","pages":"23-29"},"PeriodicalIF":0.0000,"publicationDate":"2017-02-28","publicationTypes":"Journal Article","fieldsOfStudy":null,"isOpenAccess":false,"openAccessPdf":"https://www.ncbi.nlm.nih.gov/pmc/articles/PMC5366385/pdf/","citationCount":"27","resultStr":null,"platform":"Semanticscholar","paperid":null,"PeriodicalName":"Open Rheumatology Journal","FirstCategoryId":"1085","ListUrlMain":"https://doi.org/10.2174/1874312901711010023","RegionNum":0,"RegionCategory":null,"ArticlePicture":[],"TitleCN":null,"AbstractTextCN":null,"PMCID":null,"EPubDate":"2017/1/1 0:00:00","PubModel":"eCollection","JCR":"Q4","JCRName":"Medicine","Score":null,"Total":0}
引用次数: 27

Abstract

Background: Arterial inflammation Takayasu arteritis (TA) is an outcome of balance between pro- and anti-inflammatory cytokines. Comprehensive assessment of these cytokines is important for understanding pathogenesis and assessing disease activity.

Objective: To study pro- and anti-inflammatory cytokines representing different T-helper cell pathway in serum samples of Asian Indian patients with TA and to assess their association with disease activity.

Methods: Consecutive Indian patients with TA were assayed for serum interferon-γ, interleukin-6, interleukin-23, interleukin-17, interleukin-10 and transforming growth factor- β levels at baseline and follow up visit. Patients were grouped into active and stable disease based on Indian Takyasu Arteritis clinical Activity Score-2010. Serum levels of these cytokines between active and stable disease and between baseline and follow up visits were compared by non-parametric tests.

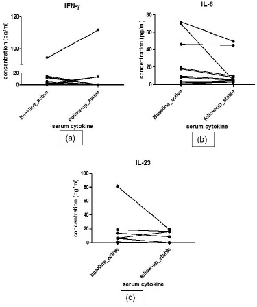
Results: Among 32 patients enrolled, 15 were classified as active while 17 as stable disease at baseline. IFN-γ levels were significantly higher in active disease than stable disease (p=0.0129) while other cytokines did not differ significantly between 2 groups. Serum levels of none of the cytokines changed significantly over 2 visits in both responders and non-responders. IL23 levels positively correlate with disease duration ((r=0.999; p<0.005). Modest correlation was observed between IFN-γ and IL23 levels at both baseline and follow up and between IFN-γ and IL-6 and CRP at follow up.

Conclusion: IFN-γ levels are raised in active disease in TA and correlates well with other biomarkers of disease activity and proinflammatory cytokines. There is also a direct correlation between Il-23 levels and disease duration.

Abstract Image

Abstract Image

亚洲印度高须动脉炎患者血清细胞因子谱及其与疾病活动性的关系
背景:动脉炎症高须动脉炎(Takayasu arteritis, TA)是促炎性和抗炎性细胞因子平衡的结果。全面评估这些细胞因子对于了解发病机制和评估疾病活动性非常重要。目的:研究亚洲印度TA患者血清样本中代表不同t辅助细胞途径的促炎性和抗炎性细胞因子,并评估其与疾病活动性的关系。方法:连续测定印度TA患者基线及随访时血清干扰素-γ、白细胞介素-6、白细胞介素-23、白细胞介素-17、白细胞介素-10和转化生长因子- β水平。根据印度Takyasu动脉炎临床活动评分-2010将患者分为活动性和稳定性两组。这些细胞因子的血清水平在活动性和稳定性疾病之间以及基线和随访之间通过非参数测试进行比较。结果:在32名入组患者中,15名患者在基线时被归类为活动,17名患者被归类为疾病稳定。活动性疾病患者IFN-γ水平显著高于稳定性疾病患者(p=0.0129),而其他细胞因子水平在两组间无显著差异。两组患者的血清细胞因子水平均无显著变化。il - 23水平与病程呈正相关(r=0.999;结论:在TA的活动性疾病中,IFN-γ水平升高,并与疾病活动性和促炎细胞因子的其他生物标志物密切相关。Il-23水平与病程也有直接关系。
本文章由计算机程序翻译,如有差异,请以英文原文为准。
求助全文
约1分钟内获得全文 求助全文
来源期刊
Open Rheumatology Journal
Open Rheumatology Journal Medicine-Rheumatology
CiteScore
0.80
自引率
0.00%
发文量
2
期刊介绍: ENTHAM Open publishes a number of peer-reviewed, open access journals. These free-to-view online journals cover all major disciplines of science, medicine, technology and social sciences. BENTHAM Open provides researchers a platform to rapidly publish their research in a good-quality peer-reviewed journal. All peer-reviewed accepted submissions meeting high research and ethical standards are published with free access to all.
×
引用
GB/T 7714-2015
复制
MLA
复制
APA
复制
导出至
BibTeX EndNote RefMan NoteFirst NoteExpress
×
提示
您的信息不完整,为了账户安全,请先补充。
现在去补充
×
提示
您因"违规操作"
具体请查看互助需知
我知道了
×
提示
确定
请完成安全验证×
copy
已复制链接
快去分享给好友吧!
我知道了
右上角分享
点击右上角分享
0
联系我们:info@booksci.cn Book学术提供免费学术资源搜索服务,方便国内外学者检索中英文文献。致力于提供最便捷和优质的服务体验。 Copyright © 2023 布克学术 All rights reserved.
京ICP备2023020795号-1
ghs 京公网安备 11010802042870号
Book学术文献互助
Book学术文献互助群
群 号:604180095
Book学术官方微信