Tidal volume expandability affected by flow, dynamic hyperinflation, and quasi-fixed inspiratory time in patients with COPD and healthy individuals.

IF 2.3 3区 医学 Q2 RESPIRATORY SYSTEM
Ming-Lung Chuang
{"title":"Tidal volume expandability affected by flow, dynamic hyperinflation, and quasi-fixed inspiratory time in patients with COPD and healthy individuals.","authors":"Ming-Lung Chuang","doi":"10.1177/14799731221133390","DOIUrl":null,"url":null,"abstract":"<p><p>Exertional dyspnea (ED) and impaired exercise performance (EP) are mainly caused by dynamic hyperinflation (DH) in chronic obstructive pulmonary disease (COPD) patients by constraining tidal volume expansion at peak exercise (V<sub>Tpeak</sub>). As V<sub>Tpeak</sub> is the product of inspiratory time (T<sub>Ipeak</sub>) and flow (V<sub>T</sub>/T<sub>Ipeak</sub>), it was hypothesized that V<sub>Tpeak</sub> and V<sub>Tpeak</sub>/total lung capacity (V<sub>Tpeak</sub>/TLC) may be affected by T<sub>Ipeak</sub> and V<sub>T</sub>/T<sub>Ipeak</sub>. Hence, the study investigated the (1) effect of T<sub>Ipeak</sub> and V<sub>T</sub>/T<sub>Ipeak</sub> on V<sub>Tpeak</sub> expansion, (2) factors associated with T<sub>Ipeak</sub>, expiratory time (T<sub>Epeak</sub>), V<sub>T</sub>/T<sub>Ipeak</sub>, and V<sub>Tpeak</sub>/TLC, and (3) relationships between V<sub>T</sub>/T<sub>Ipeak</sub> and V<sub>Tpeak</sub>/TLC with ED and EP in COPD patients and controls. The study enrolled 126 male stable COPD patients and 33 sex-matched controls. At peak exercise, T<sub>Ipeak</sub> was similar in all subjects (COPD versus controls, mean ± SD: 0.78 ± 0.17 s versus 0.81 ± 0.20 s, <i>p</i> = NS), whereas the COPD group had lower V<sub>T</sub>/T<sub>Ipeak</sub> (1.71 ± 0.49 L/s versus 2.58 ± 0.69 L/s, <i>p</i> < .0001) and thus the COPD group had smaller V<sub>Tpeak</sub> (1.31 ± 0.34 L versus 2.01 ± 0.45 L,<i>p</i> < .0001) and V<sub>Tpeak</sub>/TLC (0.22 ± 0.06 vs 0.33 ± 0.05, <i>p</i> < .0001). T<sub>Ipeak</sub>, T<sub>Epeak,</sub> and V<sub>T</sub>/T<sub>Ipeak</sub> were mainly affected by exercise effort, whereas V<sub>Tpeak</sub>/TLC was not. T<sub>Epeak,</sub> V<sub>T</sub>/T<sub>Ipeak</sub>, and V<sub>Tpeak</sub>/TLC were inversely changed by impaired lung function. T<sub>Ipeak</sub> was not affected by lung function. Dynamic hyperinflation did not occur in the controls, however, V<sub>Tpeak</sub>/TLC was strongly inversely related to DH (r = -0.79) and moderately to strongly related to lung function, ED, and EP in the COPD group. There was a slightly stronger correlation between V<sub>Tpeak</sub>/TLC with ED and EP than V<sub>T</sub>/T<sub>Ipeak</sub> in the COPD group (|r| = 0.55-0.56 vs 0.38-0.43). In summary, T<sub>Ipeak</sub> was similar in both groups and the key to understanding how flow affects lung expansion. However, the DH volume effect was more important than the flow effect on ED and EP in the COPD group.</p>","PeriodicalId":10217,"journal":{"name":"Chronic Respiratory Disease","volume":" ","pages":"14799731221133390"},"PeriodicalIF":2.3000,"publicationDate":"2022-01-01","publicationTypes":"Journal Article","fieldsOfStudy":null,"isOpenAccess":false,"openAccessPdf":"https://ftp.ncbi.nlm.nih.gov/pub/pmc/oa_pdf/74/a1/10.1177_14799731221133390.PMC9549191.pdf","citationCount":"1","resultStr":null,"platform":"Semanticscholar","paperid":null,"PeriodicalName":"Chronic Respiratory Disease","FirstCategoryId":"3","ListUrlMain":"https://doi.org/10.1177/14799731221133390","RegionNum":3,"RegionCategory":"医学","ArticlePicture":[],"TitleCN":null,"AbstractTextCN":null,"PMCID":null,"EPubDate":"","PubModel":"","JCR":"Q2","JCRName":"RESPIRATORY SYSTEM","Score":null,"Total":0}
引用次数: 1

Abstract

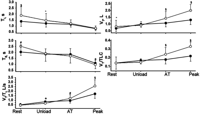
Exertional dyspnea (ED) and impaired exercise performance (EP) are mainly caused by dynamic hyperinflation (DH) in chronic obstructive pulmonary disease (COPD) patients by constraining tidal volume expansion at peak exercise (VTpeak). As VTpeak is the product of inspiratory time (TIpeak) and flow (VT/TIpeak), it was hypothesized that VTpeak and VTpeak/total lung capacity (VTpeak/TLC) may be affected by TIpeak and VT/TIpeak. Hence, the study investigated the (1) effect of TIpeak and VT/TIpeak on VTpeak expansion, (2) factors associated with TIpeak, expiratory time (TEpeak), VT/TIpeak, and VTpeak/TLC, and (3) relationships between VT/TIpeak and VTpeak/TLC with ED and EP in COPD patients and controls. The study enrolled 126 male stable COPD patients and 33 sex-matched controls. At peak exercise, TIpeak was similar in all subjects (COPD versus controls, mean ± SD: 0.78 ± 0.17 s versus 0.81 ± 0.20 s, p = NS), whereas the COPD group had lower VT/TIpeak (1.71 ± 0.49 L/s versus 2.58 ± 0.69 L/s, p < .0001) and thus the COPD group had smaller VTpeak (1.31 ± 0.34 L versus 2.01 ± 0.45 L,p < .0001) and VTpeak/TLC (0.22 ± 0.06 vs 0.33 ± 0.05, p < .0001). TIpeak, TEpeak, and VT/TIpeak were mainly affected by exercise effort, whereas VTpeak/TLC was not. TEpeak, VT/TIpeak, and VTpeak/TLC were inversely changed by impaired lung function. TIpeak was not affected by lung function. Dynamic hyperinflation did not occur in the controls, however, VTpeak/TLC was strongly inversely related to DH (r = -0.79) and moderately to strongly related to lung function, ED, and EP in the COPD group. There was a slightly stronger correlation between VTpeak/TLC with ED and EP than VT/TIpeak in the COPD group (|r| = 0.55-0.56 vs 0.38-0.43). In summary, TIpeak was similar in both groups and the key to understanding how flow affects lung expansion. However, the DH volume effect was more important than the flow effect on ED and EP in the COPD group.

Abstract Image

Abstract Image

Abstract Image

慢性阻塞性肺病患者和健康人的潮气量可扩展性受流量、动态恶性充气和准固定吸气时间的影响
慢性阻塞性肺疾病(chronic obstructive pulmonary disease, COPD)患者的动态恶性充气(dynamic hyperinflation, DH)主要通过抑制运动高峰时的潮气量扩张(tidal volume expansion, VTpeak)引起运动性呼吸困难(ED)和运动表现受损(exercise performance, EP)。由于VTpeak是吸气时间(TIpeak)和肺流量(VT/TIpeak)的乘积,因此推测VTpeak和VTpeak/总肺容量(VTpeak/TLC)可能受到TIpeak和VT/TIpeak的影响。因此,本研究探讨了(1)COPD患者和对照组中TIpeak和VT/TIpeak对VTpeak扩张的影响,(2)与TIpeak、呼气时间(TEpeak)、VT/TIpeak和VTpeak/TLC相关的因素,以及(3)VT/TIpeak和VTpeak/TLC与ED和EP的关系。该研究招募了126名男性稳定期COPD患者和33名性别匹配的对照组。在运动峰值时,所有受试者的TIpeak相似(COPD与对照组,平均±SD: 0.78±0.17 s vs 0.81±0.20 s, p = NS),而COPD组VT/TIpeak较低(1.71±0.49 L/s vs 2.58±0.69 L/s, p < 0.0001),因此COPD组VTpeak较小(1.31±0.34 L vs 2.01±0.45 L,p < 0.0001), VTpeak/TLC较小(0.22±0.06 vs 0.33±0.05,p < 0.0001)。TIpeak、TEpeak和VT/TIpeak主要受运动力的影响,而VTpeak/TLC不受影响。TEpeak、VT/TIpeak和VTpeak/TLC随肺功能受损呈负相关变化。TIpeak不受肺功能的影响。在对照组中没有发生动态恶性通货膨胀,然而,在COPD组中,VTpeak/TLC与DH呈强烈负相关(r = -0.79),与肺功能、ED和EP呈中至强相关。COPD组VTpeak/TLC与ED和EP的相关性略强于VT/TIpeak (|r| = 0.55-0.56 vs 0.38-0.43)。综上所述,两组的TIpeak相似,这是了解血流如何影响肺扩张的关键。然而,在COPD组中,DH容积效应比血流效应对ED和EP的影响更重要。
本文章由计算机程序翻译,如有差异,请以英文原文为准。
求助全文
约1分钟内获得全文 求助全文
来源期刊
Chronic Respiratory Disease
Chronic Respiratory Disease RESPIRATORY SYSTEM-
CiteScore
5.90
自引率
7.30%
发文量
47
审稿时长
11 weeks
期刊介绍: Chronic Respiratory Disease is a peer-reviewed, open access, scholarly journal, created in response to the rising incidence of chronic respiratory diseases worldwide. It publishes high quality research papers and original articles that have immediate relevance to clinical practice and its multi-disciplinary perspective reflects the nature of modern treatment. The journal provides a high quality, multi-disciplinary focus for the publication of original papers, reviews and commentary in the broad area of chronic respiratory disease, particularly its treatment and management.
×
引用
GB/T 7714-2015
复制
MLA
复制
APA
复制
导出至
BibTeX EndNote RefMan NoteFirst NoteExpress
×
提示
您的信息不完整,为了账户安全,请先补充。
现在去补充
×
提示
您因"违规操作"
具体请查看互助需知
我知道了
×
提示
确定
请完成安全验证×
copy
已复制链接
快去分享给好友吧!
我知道了
右上角分享
点击右上角分享
0
联系我们:info@booksci.cn Book学术提供免费学术资源搜索服务,方便国内外学者检索中英文文献。致力于提供最便捷和优质的服务体验。 Copyright © 2023 布克学术 All rights reserved.
京ICP备2023020795号-1
ghs 京公网安备 11010802042870号
Book学术文献互助
Book学术文献互助群
群 号:604180095
Book学术官方微信