Comparing Five Year Out-Come in Two Cohorts of Patients with Early Rheumatoid Arthritis - A BARFOT Study.

Q4 Medicine
Open Rheumatology Journal Pub Date : 2015-02-03 eCollection Date: 2015-01-01 DOI:10.2174/1874312901409010008
Maria L E Andersson, Kristina Forslind, Ingiäld Hafström
{"title":"Comparing Five Year Out-Come in Two Cohorts of Patients with Early Rheumatoid Arthritis - A BARFOT Study.","authors":"Maria L E Andersson,&nbsp;Kristina Forslind,&nbsp;Ingiäld Hafström","doi":"10.2174/1874312901409010008","DOIUrl":null,"url":null,"abstract":"<p><strong>Unlabelled: </strong>The objective of the study was to compare disease characteristics over the first 5 years of disease in patients with RA, with disease onset in 1990s and 2000s, respectively.</p><p><strong>Methods: </strong>All 2235 patients with early RA (disease duration ≤12 months) were recruited from the BARFOT prospective observational study. These patients were divided into group 1 included 1992 to 1999 (N=1084, 66% women) and group 2 included 2000 to 2006 (N=1151, 69% women). Disease Activity Score (DAS28), VAS pain and Health Assessment Questionnaire (HAQ) were assessed during 5 years. Remission was defined as DAS28 <2.6.</p><p><strong>Results: </strong>At inclusion, both women and men in group 2 had higher mean DAS28 (SD) than group 1, 5.42 (1.22) vs 5.26 (1.19), p=0.004 and 5.28 (1.22) vs 5.00 (1.27), p=0.004, respectively, mainly dependant on pain and not on inflammatory related measures. Over time DAS28 decreased and was in both genders, from 6 months to the 5-year follow-up, significantly lower in group 2. At 5-year, both women and men in group 2 had higher rate of remission than women and men in group 1. However, despite reduction of VAS pain and HAQ there were no differences in pain and HAQ between groups at any time point.</p><p><strong>Conclusion: </strong>Patients included in the 2000s achieved higher frequency of remission at the 5 year follow-up compared with those included in the 1990s, suggested to reflect the more active medical treatment. Interestingly, however, improvement in pain and HAQ did not differ between the two patient cohorts.</p>","PeriodicalId":39124,"journal":{"name":"Open Rheumatology Journal","volume":"9 ","pages":"8-15"},"PeriodicalIF":0.0000,"publicationDate":"2015-02-03","publicationTypes":"Journal Article","fieldsOfStudy":null,"isOpenAccess":false,"openAccessPdf":"https://ftp.ncbi.nlm.nih.gov/pub/pmc/oa_pdf/50/f5/TORJ-9-8.PMC4319195.pdf","citationCount":"26","resultStr":null,"platform":"Semanticscholar","paperid":null,"PeriodicalName":"Open Rheumatology Journal","FirstCategoryId":"1085","ListUrlMain":"https://doi.org/10.2174/1874312901409010008","RegionNum":0,"RegionCategory":null,"ArticlePicture":[],"TitleCN":null,"AbstractTextCN":null,"PMCID":null,"EPubDate":"2015/1/1 0:00:00","PubModel":"eCollection","JCR":"Q4","JCRName":"Medicine","Score":null,"Total":0}
引用次数: 26

Abstract

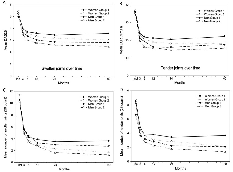
Unlabelled: The objective of the study was to compare disease characteristics over the first 5 years of disease in patients with RA, with disease onset in 1990s and 2000s, respectively.

Methods: All 2235 patients with early RA (disease duration ≤12 months) were recruited from the BARFOT prospective observational study. These patients were divided into group 1 included 1992 to 1999 (N=1084, 66% women) and group 2 included 2000 to 2006 (N=1151, 69% women). Disease Activity Score (DAS28), VAS pain and Health Assessment Questionnaire (HAQ) were assessed during 5 years. Remission was defined as DAS28 <2.6.

Results: At inclusion, both women and men in group 2 had higher mean DAS28 (SD) than group 1, 5.42 (1.22) vs 5.26 (1.19), p=0.004 and 5.28 (1.22) vs 5.00 (1.27), p=0.004, respectively, mainly dependant on pain and not on inflammatory related measures. Over time DAS28 decreased and was in both genders, from 6 months to the 5-year follow-up, significantly lower in group 2. At 5-year, both women and men in group 2 had higher rate of remission than women and men in group 1. However, despite reduction of VAS pain and HAQ there were no differences in pain and HAQ between groups at any time point.

Conclusion: Patients included in the 2000s achieved higher frequency of remission at the 5 year follow-up compared with those included in the 1990s, suggested to reflect the more active medical treatment. Interestingly, however, improvement in pain and HAQ did not differ between the two patient cohorts.

Abstract Image

Abstract Image

比较两组早期类风湿关节炎患者的5年预后- BARFOT研究。
未标记:该研究的目的是比较分别在20世纪90年代和21世纪初发病的RA患者发病前5年的疾病特征。方法:从BARFOT前瞻性观察性研究中招募2235例早期RA患者(病程≤12个月)。1组为1992 ~ 1999年(N=1084,女性66%),2组为2000 ~ 2006年(N=1151,女性69%)。5年内进行疾病活动评分(DAS28)、VAS疼痛和健康评估问卷(HAQ)评估。结果:在纳入时,2组女性和男性的平均DAS28 (SD)均高于1组,分别为5.42 (1.22)vs 5.26 (1.19), p=0.004和5.28 (1.22)vs 5.00 (1.27), p=0.004,主要依赖于疼痛而不是炎症相关措施。随着时间的推移,从6个月到5年的随访中,男女患者的DAS28都有所下降,第2组明显降低。5年时,2组的男女缓解率均高于1组的男女。然而,尽管VAS疼痛和HAQ有所减轻,但各组在任何时间点的疼痛和HAQ均无差异。结论:与90年代纳入的患者相比,2000年代纳入的患者在5年随访时的缓解率更高,提示反映了更积极的药物治疗。然而,有趣的是,疼痛和HAQ的改善在两组患者之间没有差异。
本文章由计算机程序翻译,如有差异,请以英文原文为准。
求助全文
约1分钟内获得全文 求助全文
来源期刊
Open Rheumatology Journal
Open Rheumatology Journal Medicine-Rheumatology
CiteScore
0.80
自引率
0.00%
发文量
2
期刊介绍: ENTHAM Open publishes a number of peer-reviewed, open access journals. These free-to-view online journals cover all major disciplines of science, medicine, technology and social sciences. BENTHAM Open provides researchers a platform to rapidly publish their research in a good-quality peer-reviewed journal. All peer-reviewed accepted submissions meeting high research and ethical standards are published with free access to all.
×
引用
GB/T 7714-2015
复制
MLA
复制
APA
复制
导出至
BibTeX EndNote RefMan NoteFirst NoteExpress
×
提示
您的信息不完整,为了账户安全,请先补充。
现在去补充
×
提示
您因"违规操作"
具体请查看互助需知
我知道了
×
提示
确定
请完成安全验证×
copy
已复制链接
快去分享给好友吧!
我知道了
右上角分享
点击右上角分享
0
联系我们:info@booksci.cn Book学术提供免费学术资源搜索服务,方便国内外学者检索中英文文献。致力于提供最便捷和优质的服务体验。 Copyright © 2023 布克学术 All rights reserved.
京ICP备2023020795号-1
ghs 京公网安备 11010802042870号
Book学术文献互助
Book学术文献互助群
群 号:604180095
Book学术官方微信