Nβ-methylation changes the recognition pattern of aza-β3-amino acid containing peptidomimetic substrates by protein kinase A.

Ksenija Kisseljova, Michèle Baudy-Floc'h, Aleksei Kuznetsov, Jaak Järv
{"title":"Nβ-methylation changes the recognition pattern of aza-β3-amino acid containing peptidomimetic substrates by protein kinase A.","authors":"Ksenija Kisseljova,&nbsp;Michèle Baudy-Floc'h,&nbsp;Aleksei Kuznetsov,&nbsp;Jaak Järv","doi":"10.1186/2191-2858-1-16","DOIUrl":null,"url":null,"abstract":"<p><p> The protein kinase A (PKA)-catalyzed phosphorylation of peptide substrate RRASVA analogs, containing Nβ-Me-aza-β3-amino acid residues in all subsequent positions, was studied. This work follows along the lines of our previous research of the phosphorylation of aza-β3-analogs of RRASVA (the shortest active substrate of PKA) and allows characterizing the influence of Nβ-methylation of aza-β3-amino acid residues on substrate recognition by PKA on substrate binding and phosphorylation steps. It was found that the effect of Nβ-methylation was dependent upon the position of the structure alteration. Moreover, the presence of a single Nβ-methylation site in the substrate changed the recognition pattern of this series of peptidomimetics, strongly affecting the phosphorylation step. Structure modeling of aza-β3- and Nβ-Me-aza-β3-containing substrates revealed that Nβ-methylation of aza-β3-moieties changed the peptide bond geometry from trans- to cis-configuration in -CO-NMe- fragments, with an exception for the N-terminally methylated Nβ-Me-aza-β3-RRRASVA (with the N-terminal amino group not participating in the peptide bond) and RRAS-Nβ-Me-aza-β3-VA. As has been shown in literature, this conformational preference of the backbone has a significant influence on the flexibility of the peptide substrate chain. Following our results, this property seems to have significant influence on the recognition of the amino acid side groups by the enzyme binding site, and in the case of PKA this structural modification was decisive for the phosphate transfer step of the catalytic process.</p>","PeriodicalId":19639,"journal":{"name":"Organic and Medicinal Chemistry Letters","volume":" ","pages":"16"},"PeriodicalIF":0.0000,"publicationDate":"2011-11-08","publicationTypes":"Journal Article","fieldsOfStudy":null,"isOpenAccess":false,"openAccessPdf":"https://sci-hub-pdf.com/10.1186/2191-2858-1-16","citationCount":"1","resultStr":null,"platform":"Semanticscholar","paperid":null,"PeriodicalName":"Organic and Medicinal Chemistry Letters","FirstCategoryId":"1085","ListUrlMain":"https://doi.org/10.1186/2191-2858-1-16","RegionNum":0,"RegionCategory":null,"ArticlePicture":[],"TitleCN":null,"AbstractTextCN":null,"PMCID":null,"EPubDate":"","PubModel":"","JCR":"","JCRName":"","Score":null,"Total":0}
引用次数: 1

Abstract

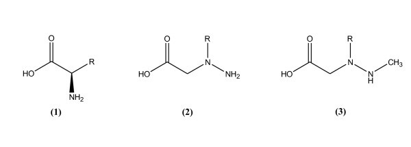
The protein kinase A (PKA)-catalyzed phosphorylation of peptide substrate RRASVA analogs, containing Nβ-Me-aza-β3-amino acid residues in all subsequent positions, was studied. This work follows along the lines of our previous research of the phosphorylation of aza-β3-analogs of RRASVA (the shortest active substrate of PKA) and allows characterizing the influence of Nβ-methylation of aza-β3-amino acid residues on substrate recognition by PKA on substrate binding and phosphorylation steps. It was found that the effect of Nβ-methylation was dependent upon the position of the structure alteration. Moreover, the presence of a single Nβ-methylation site in the substrate changed the recognition pattern of this series of peptidomimetics, strongly affecting the phosphorylation step. Structure modeling of aza-β3- and Nβ-Me-aza-β3-containing substrates revealed that Nβ-methylation of aza-β3-moieties changed the peptide bond geometry from trans- to cis-configuration in -CO-NMe- fragments, with an exception for the N-terminally methylated Nβ-Me-aza-β3-RRRASVA (with the N-terminal amino group not participating in the peptide bond) and RRAS-Nβ-Me-aza-β3-VA. As has been shown in literature, this conformational preference of the backbone has a significant influence on the flexibility of the peptide substrate chain. Following our results, this property seems to have significant influence on the recognition of the amino acid side groups by the enzyme binding site, and in the case of PKA this structural modification was decisive for the phosphate transfer step of the catalytic process.

Abstract Image

Abstract Image

Abstract Image

n β-甲基化改变了蛋白激酶A对含拟肽底物的aza-β3氨基酸的识别模式。
研究了蛋白激酶A (PKA)催化肽底物RRASVA类似物的磷酸化,该类似物在所有后续位置含有n -β - me -aza-β3氨基酸残基。这项工作遵循了我们之前对RRASVA (PKA活性最短的底物)的aza-β3类似物磷酸化的研究,并允许表征aza-β3氨基酸残基的n -β甲基化对PKA对底物的识别、底物结合和磷酸化步骤的影响。结果表明,n β-甲基化的作用取决于结构改变的位置。此外,底物中单个n β-甲基化位点的存在改变了这一系列拟肽物的识别模式,强烈影响了磷酸化步骤。对含aza-β3和n -β -me -aza-β3底物的结构建模发现,除了n端甲基化的n -β -me -aza-β3- rrrasva (n端氨基不参与肽键)和rras - n -β -me -aza-β3- va外,n -β -β3-氨基甲基化使-co - nme -片段的肽键几何结构从反式变为顺式。正如文献所示,这种主链的构象偏好对肽底物链的柔韧性有显著影响。根据我们的研究结果,这种性质似乎对酶结合位点对氨基酸侧基的识别有重大影响,在PKA的情况下,这种结构修饰对催化过程的磷酸转移步骤起决定性作用。
本文章由计算机程序翻译,如有差异,请以英文原文为准。
求助全文
约1分钟内获得全文 求助全文
来源期刊
自引率
0.00%
发文量
0
×
引用
GB/T 7714-2015
复制
MLA
复制
APA
复制
导出至
BibTeX EndNote RefMan NoteFirst NoteExpress
×
提示
您的信息不完整,为了账户安全,请先补充。
现在去补充
×
提示
您因"违规操作"
具体请查看互助需知
我知道了
×
提示
确定
请完成安全验证×
copy
已复制链接
快去分享给好友吧!
我知道了
右上角分享
点击右上角分享
0
联系我们:info@booksci.cn Book学术提供免费学术资源搜索服务,方便国内外学者检索中英文文献。致力于提供最便捷和优质的服务体验。 Copyright © 2023 布克学术 All rights reserved.
京ICP备2023020795号-1
ghs 京公网安备 11010802042870号
Book学术文献互助
Book学术文献互助群
群 号:604180095
Book学术官方微信