ROS-Mediated Signalling in Bacteria: Zinc-Containing Cys-X-X-Cys Redox Centres and Iron-Based Oxidative Stress.

Journal of signal transduction Pub Date : 2012-01-01 Epub Date: 2011-09-29 DOI:10.1155/2012/605905
Darío Ortiz de Orué Lucana, Ina Wedderhoff, Matthew R Groves
{"title":"ROS-Mediated Signalling in Bacteria: Zinc-Containing Cys-X-X-Cys Redox Centres and Iron-Based Oxidative Stress.","authors":"Darío Ortiz de Orué Lucana,&nbsp;Ina Wedderhoff,&nbsp;Matthew R Groves","doi":"10.1155/2012/605905","DOIUrl":null,"url":null,"abstract":"<p><p>Bacteria are permanently in contact with reactive oxygen species (ROS), both over the course of their life cycle as well that present in their environment. These species cause damage to proteins, lipids, and nucleotides, negatively impacting the organism. To detect these ROS molecules and to stimulate the expression of proteins involved in antioxidative stress response, bacteria use a number of different protein-based regulatory and sensory systems. ROS-based stress detection mechanisms induce posttranslational modifications, resulting in overall conformational and structural changes within sensory proteins. The subsequent structural rearrangements result in changes of protein activity, which lead to regulated and appropriate response on the transcriptional level. Many bacterial enzymes and regulatory proteins possess a conserved signature, the zinc-containing redox centre Cys-X-X-Cys in which a disulfide bridge is formed upon oxidative stress. Other metal-dependent oxidative modifications of amino acid side-chains (dityrosines, 2-oxo-histidines, or carbonylation) also modulate the activity of redox-sensitive proteins. Using molecular biology, biochemistry, biophysical, and structure biology tools, molecular mechanisms involved in sensing and response to oxidative stress have been elucidated in detail. In this review, we analyze some examples of bacterial redox-sensing proteins involved in antioxidative stress response and focus further on the currently known molecular mechanism of function.</p>","PeriodicalId":89176,"journal":{"name":"Journal of signal transduction","volume":"2012 ","pages":"605905"},"PeriodicalIF":0.0000,"publicationDate":"2012-01-01","publicationTypes":"Journal Article","fieldsOfStudy":null,"isOpenAccess":false,"openAccessPdf":"https://sci-hub-pdf.com/10.1155/2012/605905","citationCount":"70","resultStr":null,"platform":"Semanticscholar","paperid":null,"PeriodicalName":"Journal of signal transduction","FirstCategoryId":"1085","ListUrlMain":"https://doi.org/10.1155/2012/605905","RegionNum":0,"RegionCategory":null,"ArticlePicture":[],"TitleCN":null,"AbstractTextCN":null,"PMCID":null,"EPubDate":"2011/9/29 0:00:00","PubModel":"Epub","JCR":"","JCRName":"","Score":null,"Total":0}
引用次数: 70

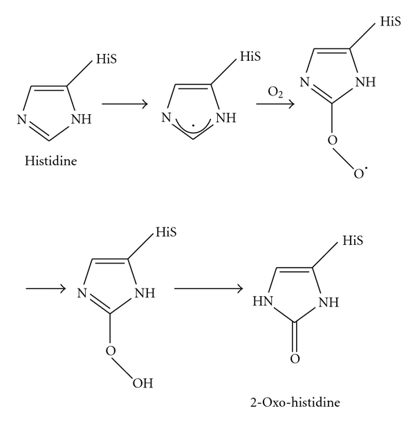
Abstract

Bacteria are permanently in contact with reactive oxygen species (ROS), both over the course of their life cycle as well that present in their environment. These species cause damage to proteins, lipids, and nucleotides, negatively impacting the organism. To detect these ROS molecules and to stimulate the expression of proteins involved in antioxidative stress response, bacteria use a number of different protein-based regulatory and sensory systems. ROS-based stress detection mechanisms induce posttranslational modifications, resulting in overall conformational and structural changes within sensory proteins. The subsequent structural rearrangements result in changes of protein activity, which lead to regulated and appropriate response on the transcriptional level. Many bacterial enzymes and regulatory proteins possess a conserved signature, the zinc-containing redox centre Cys-X-X-Cys in which a disulfide bridge is formed upon oxidative stress. Other metal-dependent oxidative modifications of amino acid side-chains (dityrosines, 2-oxo-histidines, or carbonylation) also modulate the activity of redox-sensitive proteins. Using molecular biology, biochemistry, biophysical, and structure biology tools, molecular mechanisms involved in sensing and response to oxidative stress have been elucidated in detail. In this review, we analyze some examples of bacterial redox-sensing proteins involved in antioxidative stress response and focus further on the currently known molecular mechanism of function.

Abstract Image

Abstract Image

Abstract Image

细菌中ros介导的信号传导:含锌Cys-X-X-Cys氧化还原中心和铁基氧化应激。
细菌与活性氧(ROS)永久接触,无论是在其生命周期的过程中,还是在其环境中。这些物种对蛋白质、脂质和核苷酸造成损害,对生物体产生负面影响。为了检测这些ROS分子并刺激参与抗氧化应激反应的蛋白质的表达,细菌使用了许多不同的基于蛋白质的调节和感觉系统。基于ros的应激检测机制诱导翻译后修饰,导致感觉蛋白的整体构象和结构变化。随后的结构重排导致蛋白质活性的改变,从而导致转录水平上的调控和适当的反应。许多细菌酶和调节蛋白具有保守的特征,即含锌氧化还原中心Cys-X-X-Cys,其中氧化应激形成二硫桥。氨基酸侧链的其他金属依赖性氧化修饰(二酪氨酸、2-氧组氨酸或羰基化)也可调节氧化还原敏感蛋白的活性。利用分子生物学、生物化学、生物物理学和结构生物学等工具,对氧化应激感知和反应的分子机制进行了详细的阐述。在本文中,我们分析了一些细菌氧化还原感应蛋白参与抗氧化应激反应的例子,并进一步关注目前已知的功能分子机制。
本文章由计算机程序翻译,如有差异,请以英文原文为准。
求助全文
约1分钟内获得全文 求助全文
来源期刊
自引率
0.00%
发文量
0
×
引用
GB/T 7714-2015
复制
MLA
复制
APA
复制
导出至
BibTeX EndNote RefMan NoteFirst NoteExpress
×
提示
您的信息不完整,为了账户安全,请先补充。
现在去补充
×
提示
您因"违规操作"
具体请查看互助需知
我知道了
×
提示
确定
请完成安全验证×
copy
已复制链接
快去分享给好友吧!
我知道了
右上角分享
点击右上角分享
0
联系我们:info@booksci.cn Book学术提供免费学术资源搜索服务,方便国内外学者检索中英文文献。致力于提供最便捷和优质的服务体验。 Copyright © 2023 布克学术 All rights reserved.
京ICP备2023020795号-1
ghs 京公网安备 11010802042870号
Book学术文献互助
Book学术文献互助群
群 号:604180095
Book学术官方微信