Estimating affinities of calcium ions to proteins.

Q2 Biochemistry, Genetics and Molecular Biology
Stefan Franke, Julia Herfurth, Daniel Hoffmann
{"title":"Estimating affinities of calcium ions to proteins.","authors":"Stefan Franke,&nbsp;Julia Herfurth,&nbsp;Daniel Hoffmann","doi":"10.2147/aabc.s8589","DOIUrl":null,"url":null,"abstract":"<p><p>Ca(2+)-ions have a range of affinities to different proteins, depending on the various functions of these proteins. This makes the determination of Ca(2+)-protein affinities an interesting subject for functional studies. We have investigated the performance of two methods - Fold-X and AutoDock vina - in the prediction of Ca(2+)-protein affinities. Both methods, although based on different energy functions, showed virtually the same correlation with experimental affinities. Guided by insight from experiment, we further derived a simple linear model based on the solvent accessible surface of Ca(2+) that had practically the same performance in terms of absolute errors as the more complex docking methods.</p>","PeriodicalId":53584,"journal":{"name":"Advances and Applications in Bioinformatics and Chemistry","volume":"3 ","pages":"1-6"},"PeriodicalIF":0.0000,"publicationDate":"2010-01-01","publicationTypes":"Journal Article","fieldsOfStudy":null,"isOpenAccess":false,"openAccessPdf":"https://sci-hub-pdf.com/10.2147/aabc.s8589","citationCount":"4","resultStr":null,"platform":"Semanticscholar","paperid":null,"PeriodicalName":"Advances and Applications in Bioinformatics and Chemistry","FirstCategoryId":"1085","ListUrlMain":"https://doi.org/10.2147/aabc.s8589","RegionNum":0,"RegionCategory":null,"ArticlePicture":[],"TitleCN":null,"AbstractTextCN":null,"PMCID":null,"EPubDate":"2010/3/15 0:00:00","PubModel":"Epub","JCR":"Q2","JCRName":"Biochemistry, Genetics and Molecular Biology","Score":null,"Total":0}
引用次数: 4

Abstract

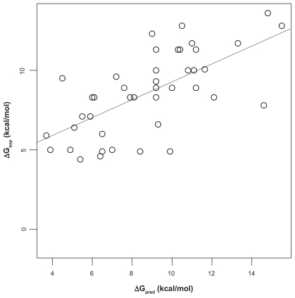
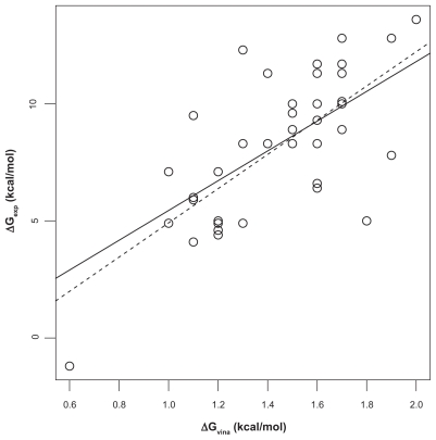
Ca(2+)-ions have a range of affinities to different proteins, depending on the various functions of these proteins. This makes the determination of Ca(2+)-protein affinities an interesting subject for functional studies. We have investigated the performance of two methods - Fold-X and AutoDock vina - in the prediction of Ca(2+)-protein affinities. Both methods, although based on different energy functions, showed virtually the same correlation with experimental affinities. Guided by insight from experiment, we further derived a simple linear model based on the solvent accessible surface of Ca(2+) that had practically the same performance in terms of absolute errors as the more complex docking methods.

Abstract Image

Abstract Image

Abstract Image

估计钙离子对蛋白质的亲和力。
Ca(2+)离子对不同的蛋白质有一系列的亲和力,这取决于这些蛋白质的各种功能。这使得测定钙(2+)蛋白的亲和力成为功能研究的一个有趣课题。我们研究了Fold-X和AutoDock vina两种方法在预测Ca(2+)蛋白亲和力方面的性能。这两种方法,尽管基于不同的能量函数,却显示出与实验亲和力几乎相同的相关性。在实验的指导下,我们进一步推导了一个基于Ca(2+)溶剂可及表面的简单线性模型,该模型在绝对误差方面与更复杂的对接方法具有几乎相同的性能。
本文章由计算机程序翻译,如有差异,请以英文原文为准。
求助全文
约1分钟内获得全文 求助全文
来源期刊
Advances and Applications in Bioinformatics and Chemistry
Advances and Applications in Bioinformatics and Chemistry Biochemistry, Genetics and Molecular Biology-Biochemistry, Genetics and Molecular Biology (miscellaneous)
CiteScore
6.50
自引率
0.00%
发文量
7
审稿时长
16 weeks
×
引用
GB/T 7714-2015
复制
MLA
复制
APA
复制
导出至
BibTeX EndNote RefMan NoteFirst NoteExpress
×
提示
您的信息不完整,为了账户安全,请先补充。
现在去补充
×
提示
您因"违规操作"
具体请查看互助需知
我知道了
×
提示
确定
请完成安全验证×
copy
已复制链接
快去分享给好友吧!
我知道了
右上角分享
点击右上角分享
0
联系我们:info@booksci.cn Book学术提供免费学术资源搜索服务,方便国内外学者检索中英文文献。致力于提供最便捷和优质的服务体验。 Copyright © 2023 布克学术 All rights reserved.
京ICP备2023020795号-1
ghs 京公网安备 11010802042870号
Book学术文献互助
Book学术文献互助群
群 号:604180095
Book学术官方微信