Impact of an antimicrobial stewardship bundle on the outcome of high-risk neutropenic patients with fever: a pre-post study.

IF 3.3 Q2 INFECTIOUS DISEASES
JAC-Antimicrobial Resistance Pub Date : 2025-10-21 eCollection Date: 2025-10-01 DOI:10.1093/jacamr/dlaf191
Suzanne M E Kuijpers, Jara R de la Court, Jan M Prins, Rogier P Schade, Jarom Heijmans, Kim C E Sigaloff
{"title":"Impact of an antimicrobial stewardship bundle on the outcome of high-risk neutropenic patients with fever: a pre-post study.","authors":"Suzanne M E Kuijpers, Jara R de la Court, Jan M Prins, Rogier P Schade, Jarom Heijmans, Kim C E Sigaloff","doi":"10.1093/jacamr/dlaf191","DOIUrl":null,"url":null,"abstract":"<p><strong>Background: </strong>Rapid antibiotic initiation is essential for managing potential infections following chemotherapy-induced neutropenia. However, excessive use of broad-spectrum antibiotics should be avoided. Implementing antimicrobial stewardship (AMS) in haematology units is challenging due to high infection-related risks, and data on interventions remain scarce. This study aimed to evaluate the safety of an AMS bundle on a haematology ward.</p><p><strong>Methods: </strong>A prospective cohort study was conducted at a tertiary care centre among patients with high-risk (≥7 days) neutropenia. The AMS bundle consisted of replacing empirical meropenem with ceftazidime, and shortening treatment duration to 2 days in case of defervescence and negative blood cultures. Data on ICU admission, all-cause mortality, antimicrobial use and microorganisms identified were compared with a (retrospective) pre-intervention cohort.</p><p><strong>Results: </strong>A total of 396 patients were included (206 pre-intervention, 190 post-intervention). Allogeneic stem cell transplantations increased from 21% pre-intervention to 37% post-intervention. There was no statistical difference in the adjusted composite endpoint of ICU admission and all-cause mortality [adjusted HR (aHR) 1.46; 95% CI, 0.76-2.81; <i>P</i> = 0.26]. Pre-intervention, meropenem was prescribed in 99% of patients, which shifted to ceftazidime in 78% post-intervention. Median antibiotic treatment duration decreased from 8.0 to 5.0 days (<i>P</i> < 0.001), and empirical antibiotic consumption decreased from 12 to 8 days of therapy per patient (<i>P</i> < 0.001). Bloodstream infections with <i>Candida</i> spp. decreased from 17 pre-intervention to 5 post-intervention (<i>P</i> = 0.03).</p><p><strong>Conclusions: </strong>The AMS bundle led to a shift towards narrower-spectrum antibiotics, and reduced treatment duration and overall antibiotic use without a significant impact on the primary safety outcome. The intervention was accompanied by a declining trend in candidaemia incidence.</p>","PeriodicalId":14594,"journal":{"name":"JAC-Antimicrobial Resistance","volume":"7 5","pages":"dlaf191"},"PeriodicalIF":3.3000,"publicationDate":"2025-10-21","publicationTypes":"Journal Article","fieldsOfStudy":null,"isOpenAccess":false,"openAccessPdf":"https://www.ncbi.nlm.nih.gov/pmc/articles/PMC12539617/pdf/","citationCount":"0","resultStr":null,"platform":"Semanticscholar","paperid":null,"PeriodicalName":"JAC-Antimicrobial Resistance","FirstCategoryId":"1085","ListUrlMain":"https://doi.org/10.1093/jacamr/dlaf191","RegionNum":0,"RegionCategory":null,"ArticlePicture":[],"TitleCN":null,"AbstractTextCN":null,"PMCID":null,"EPubDate":"2025/10/1 0:00:00","PubModel":"eCollection","JCR":"Q2","JCRName":"INFECTIOUS DISEASES","Score":null,"Total":0}
引用次数: 0

Abstract

Background: Rapid antibiotic initiation is essential for managing potential infections following chemotherapy-induced neutropenia. However, excessive use of broad-spectrum antibiotics should be avoided. Implementing antimicrobial stewardship (AMS) in haematology units is challenging due to high infection-related risks, and data on interventions remain scarce. This study aimed to evaluate the safety of an AMS bundle on a haematology ward.

Methods: A prospective cohort study was conducted at a tertiary care centre among patients with high-risk (≥7 days) neutropenia. The AMS bundle consisted of replacing empirical meropenem with ceftazidime, and shortening treatment duration to 2 days in case of defervescence and negative blood cultures. Data on ICU admission, all-cause mortality, antimicrobial use and microorganisms identified were compared with a (retrospective) pre-intervention cohort.

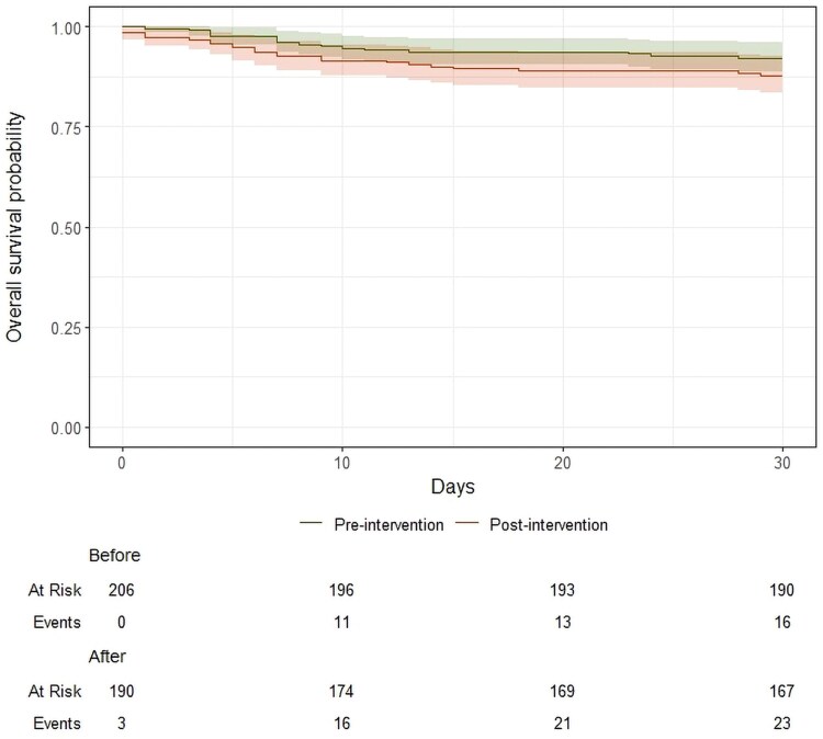
Results: A total of 396 patients were included (206 pre-intervention, 190 post-intervention). Allogeneic stem cell transplantations increased from 21% pre-intervention to 37% post-intervention. There was no statistical difference in the adjusted composite endpoint of ICU admission and all-cause mortality [adjusted HR (aHR) 1.46; 95% CI, 0.76-2.81; P = 0.26]. Pre-intervention, meropenem was prescribed in 99% of patients, which shifted to ceftazidime in 78% post-intervention. Median antibiotic treatment duration decreased from 8.0 to 5.0 days (P < 0.001), and empirical antibiotic consumption decreased from 12 to 8 days of therapy per patient (P < 0.001). Bloodstream infections with Candida spp. decreased from 17 pre-intervention to 5 post-intervention (P = 0.03).

Conclusions: The AMS bundle led to a shift towards narrower-spectrum antibiotics, and reduced treatment duration and overall antibiotic use without a significant impact on the primary safety outcome. The intervention was accompanied by a declining trend in candidaemia incidence.

Abstract Image

Abstract Image

Abstract Image

抗菌药物管理捆绑对发热高危中性粒细胞减少患者预后的影响:一项前后研究。
背景:快速开始使用抗生素对于管理化疗引起的中性粒细胞减少后的潜在感染至关重要。但应避免过度使用广谱抗生素。由于感染相关风险高,在血液科单位实施抗微生物药物管理(AMS)具有挑战性,而且干预措施的数据仍然很少。本研究旨在评估AMS在血液学病房的安全性。方法:在三级保健中心对高危(≥7天)中性粒细胞减少症患者进行前瞻性队列研究。AMS包包括用头孢他啶代替经验性美罗培南,并在退热和阴性血培养的情况下缩短治疗时间至2天。与(回顾性)干预前队列比较ICU入院、全因死亡率、抗菌药物使用和微生物鉴定的数据。结果:共纳入396例患者(干预前206例,干预后190例)。同种异体干细胞移植从干预前的21%增加到干预后的37%。ICU入院和全因死亡率的调整后综合终点无统计学差异[调整后HR (aHR) 1.46;95% ci, 0.76-2.81;p = 0.26]。干预前,99%的患者使用美罗培南,干预后78%的患者使用头孢他啶。中位抗生素治疗持续时间从8.0天减少到5.0天(P < 0.001),经验抗生素消耗从每位患者12天减少到8天(P < 0.001)。念珠菌血液感染从干预前的17例减少到干预后的5例(P = 0.03)。结论:AMS包导致了向窄谱抗生素的转变,减少了治疗时间和总体抗生素使用,而对主要安全性结果没有显著影响。干预伴随着念珠菌血症发病率的下降趋势。
本文章由计算机程序翻译,如有差异,请以英文原文为准。
求助全文
约1分钟内获得全文 求助全文
来源期刊
CiteScore
5.30
自引率
0.00%
发文量
0
审稿时长
16 weeks
×
引用
GB/T 7714-2015
复制
MLA
复制
APA
复制
导出至
BibTeX EndNote RefMan NoteFirst NoteExpress
×
提示
您的信息不完整,为了账户安全,请先补充。
现在去补充
×
提示
您因"违规操作"
具体请查看互助需知
我知道了
×
提示
确定
请完成安全验证×
copy
已复制链接
快去分享给好友吧!
我知道了
右上角分享
点击右上角分享
0
联系我们:info@booksci.cn Book学术提供免费学术资源搜索服务,方便国内外学者检索中英文文献。致力于提供最便捷和优质的服务体验。 Copyright © 2023 布克学术 All rights reserved.
京ICP备2023020795号-1
ghs 京公网安备 11010802042870号
Book学术文献互助
Book学术文献互助群
群 号:604180095
Book学术官方微信