Comparison of systemic inflammatory markers in total knee arthroplasty under spinal vs general anesthesia: a retrospective study.

IF 2.6 3区 医学 Q2 ANESTHESIOLOGY
Ali Genç, Sezer Astan, Mehtap Gürler Balta, Vildan Kölükçü, Ahmet Tuğrul Şahin, Hakan Tapar, Tuğba Karaman, Serkan Karaman
{"title":"Comparison of systemic inflammatory markers in total knee arthroplasty under spinal vs general anesthesia: a retrospective study.","authors":"Ali Genç, Sezer Astan, Mehtap Gürler Balta, Vildan Kölükçü, Ahmet Tuğrul Şahin, Hakan Tapar, Tuğba Karaman, Serkan Karaman","doi":"10.1186/s12871-025-03399-y","DOIUrl":null,"url":null,"abstract":"<p><strong>Purpose: </strong>In total knee arthroplasty (TKA), both surgical trauma and the type of anesthesia administered can significantly affect systemic inflammation, which may influence postoperative recovery. This retrospective study aimed to compare perioperative changes in blood-derived systemic inflammatory markers-specifically the systemic immune-inflammation index (SII) and the systemic inflammation response index (SIRI)-in patients undergoing TKA under general versus spinal anesthesia.</p><p><strong>Methods: </strong>This retrospective analysis included 849 patients who underwent elective primary TKA between January 2020 and April 2025. Inclusion criteria were age 18-75 years and ASA physical status I-II. Patients with BMI ≥ 40 kg/m², ASA ≥ III, major comorbidities, active infection, revision surgery, or incomplete lab data were excluded. Patients were categorized into spinal anesthesia (Group S) and general anesthesia (Group G) groups. Pre- and postoperative hemograms were used to calculate SII and SIRI values; ΔSII and ΔSIRI were defined as absolute differences. Groups were compared in terms of inflammatory markers, total opioid requirement, postoperative complications, and hospital stay. Group comparability regarding age, ASA, and comorbidities was assessed, and multivariate linear regression models were applied to evaluate predictors of ΔSII and ΔSIRI.</p><p><strong>Results: </strong>A total of 849 patients were included in the study. The median ΔSII value was significantly higher in the general anesthesia group [Group G: 1448.47 (IQR: 677.78-2670.86)] compared to the spinal anesthesia group [Group S: 1060.75 (IQR: 463.69-2093.28); p < 0.001]. Similarly, the ΔSIRI value was higher in Group G [4.56 (IQR: 2.31-9.23)] than in Group S [3.69 (IQR: 1.70-7.05); p = 0.002]. The total opioid requirement within the first 24 postoperative hours was also significantly greater in Group G (p < 0.001). No statistically significant differences were found between the groups in terms of postoperative complication rates (p = 0.48) or length of hospital stay (p = 0.18).</p><p><strong>Conclusion: </strong>Compared to general anesthesia, spinal anesthesia was associated with a lower postoperative increase in systemic inflammatory blood markers in patients undergoing TKA. While no difference was observed in short-term clinical outcomes, these findings suggest that spinal anesthesia may offer an immunological advantage. Given the retrospective nature of the study, prospective research is warranted to determine whether these biomarker differences have meaningful clinical implications.</p>","PeriodicalId":9190,"journal":{"name":"BMC Anesthesiology","volume":"25 1","pages":"518"},"PeriodicalIF":2.6000,"publicationDate":"2025-10-22","publicationTypes":"Journal Article","fieldsOfStudy":null,"isOpenAccess":false,"openAccessPdf":"https://www.ncbi.nlm.nih.gov/pmc/articles/PMC12542252/pdf/","citationCount":"0","resultStr":null,"platform":"Semanticscholar","paperid":null,"PeriodicalName":"BMC Anesthesiology","FirstCategoryId":"3","ListUrlMain":"https://doi.org/10.1186/s12871-025-03399-y","RegionNum":3,"RegionCategory":"医学","ArticlePicture":[],"TitleCN":null,"AbstractTextCN":null,"PMCID":null,"EPubDate":"","PubModel":"","JCR":"Q2","JCRName":"ANESTHESIOLOGY","Score":null,"Total":0}
引用次数: 0

Abstract

Purpose: In total knee arthroplasty (TKA), both surgical trauma and the type of anesthesia administered can significantly affect systemic inflammation, which may influence postoperative recovery. This retrospective study aimed to compare perioperative changes in blood-derived systemic inflammatory markers-specifically the systemic immune-inflammation index (SII) and the systemic inflammation response index (SIRI)-in patients undergoing TKA under general versus spinal anesthesia.

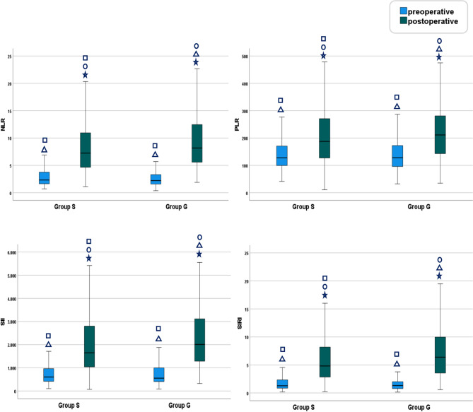
Methods: This retrospective analysis included 849 patients who underwent elective primary TKA between January 2020 and April 2025. Inclusion criteria were age 18-75 years and ASA physical status I-II. Patients with BMI ≥ 40 kg/m², ASA ≥ III, major comorbidities, active infection, revision surgery, or incomplete lab data were excluded. Patients were categorized into spinal anesthesia (Group S) and general anesthesia (Group G) groups. Pre- and postoperative hemograms were used to calculate SII and SIRI values; ΔSII and ΔSIRI were defined as absolute differences. Groups were compared in terms of inflammatory markers, total opioid requirement, postoperative complications, and hospital stay. Group comparability regarding age, ASA, and comorbidities was assessed, and multivariate linear regression models were applied to evaluate predictors of ΔSII and ΔSIRI.

Results: A total of 849 patients were included in the study. The median ΔSII value was significantly higher in the general anesthesia group [Group G: 1448.47 (IQR: 677.78-2670.86)] compared to the spinal anesthesia group [Group S: 1060.75 (IQR: 463.69-2093.28); p < 0.001]. Similarly, the ΔSIRI value was higher in Group G [4.56 (IQR: 2.31-9.23)] than in Group S [3.69 (IQR: 1.70-7.05); p = 0.002]. The total opioid requirement within the first 24 postoperative hours was also significantly greater in Group G (p < 0.001). No statistically significant differences were found between the groups in terms of postoperative complication rates (p = 0.48) or length of hospital stay (p = 0.18).

Conclusion: Compared to general anesthesia, spinal anesthesia was associated with a lower postoperative increase in systemic inflammatory blood markers in patients undergoing TKA. While no difference was observed in short-term clinical outcomes, these findings suggest that spinal anesthesia may offer an immunological advantage. Given the retrospective nature of the study, prospective research is warranted to determine whether these biomarker differences have meaningful clinical implications.

Abstract Image

Abstract Image

脊柱麻醉与全身麻醉下全膝关节置换术中全身炎症标志物的比较:一项回顾性研究。
目的:在全膝关节置换术(TKA)中,手术创伤和麻醉类型都会显著影响全身炎症,从而影响术后恢复。这项回顾性研究旨在比较全身麻醉和脊髓麻醉下接受TKA的患者围手术期血源性全身炎症标志物的变化,特别是全身免疫炎症指数(SII)和全身炎症反应指数(SIRI)。方法:本回顾性分析包括849例在2020年1月至2025年4月期间接受选择性原发性TKA的患者。纳入标准为年龄18-75岁,ASA身体状况I-II。排除BMI≥40 kg/m²、ASA≥III、主要合并症、活动性感染、翻修手术或实验室数据不完整的患者。将患者分为脊髓麻醉组(S组)和全身麻醉组(G组)。采用术前和术后血象图计算SII和SIRI值;ΔSII和ΔSIRI定义为绝对差异。比较各组炎症标志物、阿片类药物总需要量、术后并发症和住院时间。评估年龄、ASA和合并症的组间可比性,并应用多元线性回归模型评估ΔSII和ΔSIRI的预测因子。结果:共纳入849例患者。全麻组的中位ΔSII值[G组:1448.47 (IQR: 677.78-2670.86)]明显高于脊髓麻醉组[S组:1060.75 (IQR: 463.69-2093.28)];结论:与全身麻醉相比,脊髓麻醉与TKA患者术后全身炎症血液标志物的升高有关。虽然短期临床结果没有观察到差异,但这些发现表明脊髓麻醉可能具有免疫优势。鉴于该研究的回顾性,前瞻性研究是有必要的,以确定这些生物标志物差异是否具有有意义的临床意义。
本文章由计算机程序翻译,如有差异,请以英文原文为准。
求助全文
约1分钟内获得全文 求助全文
来源期刊
BMC Anesthesiology
BMC Anesthesiology ANESTHESIOLOGY-
CiteScore
3.50
自引率
4.50%
发文量
349
审稿时长
>12 weeks
期刊介绍: BMC Anesthesiology is an open access, peer-reviewed journal that considers articles on all aspects of anesthesiology, critical care, perioperative care and pain management, including clinical and experimental research into anesthetic mechanisms, administration and efficacy, technology and monitoring, and associated economic issues.
×
引用
GB/T 7714-2015
复制
MLA
复制
APA
复制
导出至
BibTeX EndNote RefMan NoteFirst NoteExpress
×
提示
您的信息不完整,为了账户安全,请先补充。
现在去补充
×
提示
您因"违规操作"
具体请查看互助需知
我知道了
×
提示
确定
请完成安全验证×
copy
已复制链接
快去分享给好友吧!
我知道了
右上角分享
点击右上角分享
0
联系我们:info@booksci.cn Book学术提供免费学术资源搜索服务,方便国内外学者检索中英文文献。致力于提供最便捷和优质的服务体验。 Copyright © 2023 布克学术 All rights reserved.
京ICP备2023020795号-1
ghs 京公网安备 11010802042870号
Book学术文献互助
Book学术文献互助群
群 号:604180095
Book学术官方微信