Beyond the Classical Triad: Atypical Presentations and Regulatory T Cell Phenotyping in a Cohort of IPEX Patients.

IF 5.7 2区 医学 Q1 IMMUNOLOGY
Ismail Yaz, Sevil Oskay Halacli, Canberk Ipsir, Baris Ulum, Elif Soyak Aytekin, Hacer Neslihan Bildik, Melike Ocak, Hanife Avci, Fatma Visal Okur, Hayriye Hizarcioglu Gulsen, Hulya Demir, Ayse Metin, Alev Ozon, Baris Kuskonmaz, Ilhan Tezcan, Saliha Esenboga, Deniz Cagdas
{"title":"Beyond the Classical Triad: Atypical Presentations and Regulatory T Cell Phenotyping in a Cohort of IPEX Patients.","authors":"Ismail Yaz, Sevil Oskay Halacli, Canberk Ipsir, Baris Ulum, Elif Soyak Aytekin, Hacer Neslihan Bildik, Melike Ocak, Hanife Avci, Fatma Visal Okur, Hayriye Hizarcioglu Gulsen, Hulya Demir, Ayse Metin, Alev Ozon, Baris Kuskonmaz, Ilhan Tezcan, Saliha Esenboga, Deniz Cagdas","doi":"10.1007/s10875-025-01934-7","DOIUrl":null,"url":null,"abstract":"<p><strong>Background: </strong>Immune dysregulation, polyendocrinopathy, enteropathy, and X-linked(IPEX) syndrome caused by FOXP3 mutations is rare. FOXP3 is a transcription factor required for the regulatory T cell (Treg) development/function.</p><p><strong>Aim: </strong>We aimed to characterize the clinical, immunologic, and genetic features of a single-center cohort of IPEX syndrome.</p><p><strong>Patients and methods: </strong>We present the clinical/immunological/genetic features of 12 patients with IPEX syndrome. We used whole exome and Sanger sequencing for the diagnosis/familial segregation. We performed immunophenotyping and measured Treg percentage and FOXP3 expression in peripheral blood by flow cytometric analysis.</p><p><strong>Results: </strong>Median age at diagnosis was 2.5 years (range: 0.3-22 years). Common clinical manifestations were infections (n = 9, 75%), allergies (n = 8, 67%), autoimmunity (n = 7, 58%), enteropathy (n = 7, 58%), and lymphoproliferation (n = 3, 25%). Atypical initial presentations included class IV lupus nephritis, a SCID-like immunophenotype (CD3<sup>+</sup> T cells: 4% [100/µL]; CD4<sup>+</sup> T cells: 3%, CD8<sup>+</sup> T cells: 1%, CD19<sup>+</sup> B cells: 81%, CD16/56<sup>+</sup> NK cells: 13%), and isolated hypogammaglobulinemia persisting for years during follow-up. At the time of diagnosis, three (25%) patients had leukopenia, six (50%) had lymphopenia and two (17%) had neutropenia. Eosinophilia was observed in 42% of patients (25% mild, 17% moderate). Six different variants in FOXP3 were characterized in 12 patients from nine unrelated families. Four (33%) patients underwent hematopoietic stem cell transplantation (HSCT). Overall, three (25%) patients died due to infections. One patient died due to HSCT-related catheter complications, one patient died in an accident. Among the transplanted patients, two are alive and well. Among the non-transplanted patients, five are alive and are being followed up at our center. Treg (CD4<sup>+</sup>CD127<sup>-/low</sup>CD25<sup>+</sup>Foxp3<sup>+</sup>) percentage was low in eight patients compared to healthy controls (p < 0.001). FOXP3 expression was low in all the patients compared to healthy controls.</p><p><strong>Conclusion: </strong>Atypical presentations make the diagnosis of IPEX syndrome challenging. This study expands the current knowledge of IPEX syndrome by describing a single-center cohort with certain atypical manifestations and by confirming previously reported rare phenotypes. Elucidating the genetic basis of immunodeficiency diseases contributes to improving diagnostic approaches and patient management.</p>","PeriodicalId":15531,"journal":{"name":"Journal of Clinical Immunology","volume":"45 1","pages":"148"},"PeriodicalIF":5.7000,"publicationDate":"2025-10-21","publicationTypes":"Journal Article","fieldsOfStudy":null,"isOpenAccess":false,"openAccessPdf":"https://www.ncbi.nlm.nih.gov/pmc/articles/PMC12540517/pdf/","citationCount":"0","resultStr":null,"platform":"Semanticscholar","paperid":null,"PeriodicalName":"Journal of Clinical Immunology","FirstCategoryId":"3","ListUrlMain":"https://doi.org/10.1007/s10875-025-01934-7","RegionNum":2,"RegionCategory":"医学","ArticlePicture":[],"TitleCN":null,"AbstractTextCN":null,"PMCID":null,"EPubDate":"","PubModel":"","JCR":"Q1","JCRName":"IMMUNOLOGY","Score":null,"Total":0}
引用次数: 0

Abstract

Background: Immune dysregulation, polyendocrinopathy, enteropathy, and X-linked(IPEX) syndrome caused by FOXP3 mutations is rare. FOXP3 is a transcription factor required for the regulatory T cell (Treg) development/function.

Aim: We aimed to characterize the clinical, immunologic, and genetic features of a single-center cohort of IPEX syndrome.

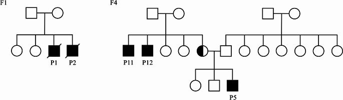
Patients and methods: We present the clinical/immunological/genetic features of 12 patients with IPEX syndrome. We used whole exome and Sanger sequencing for the diagnosis/familial segregation. We performed immunophenotyping and measured Treg percentage and FOXP3 expression in peripheral blood by flow cytometric analysis.

Results: Median age at diagnosis was 2.5 years (range: 0.3-22 years). Common clinical manifestations were infections (n = 9, 75%), allergies (n = 8, 67%), autoimmunity (n = 7, 58%), enteropathy (n = 7, 58%), and lymphoproliferation (n = 3, 25%). Atypical initial presentations included class IV lupus nephritis, a SCID-like immunophenotype (CD3+ T cells: 4% [100/µL]; CD4+ T cells: 3%, CD8+ T cells: 1%, CD19+ B cells: 81%, CD16/56+ NK cells: 13%), and isolated hypogammaglobulinemia persisting for years during follow-up. At the time of diagnosis, three (25%) patients had leukopenia, six (50%) had lymphopenia and two (17%) had neutropenia. Eosinophilia was observed in 42% of patients (25% mild, 17% moderate). Six different variants in FOXP3 were characterized in 12 patients from nine unrelated families. Four (33%) patients underwent hematopoietic stem cell transplantation (HSCT). Overall, three (25%) patients died due to infections. One patient died due to HSCT-related catheter complications, one patient died in an accident. Among the transplanted patients, two are alive and well. Among the non-transplanted patients, five are alive and are being followed up at our center. Treg (CD4+CD127-/lowCD25+Foxp3+) percentage was low in eight patients compared to healthy controls (p < 0.001). FOXP3 expression was low in all the patients compared to healthy controls.

Conclusion: Atypical presentations make the diagnosis of IPEX syndrome challenging. This study expands the current knowledge of IPEX syndrome by describing a single-center cohort with certain atypical manifestations and by confirming previously reported rare phenotypes. Elucidating the genetic basis of immunodeficiency diseases contributes to improving diagnostic approaches and patient management.

Abstract Image

Abstract Image

Abstract Image

超越经典三位一体:IPEX患者队列中的非典型表现和调节性T细胞表型。
背景:由FOXP3突变引起的免疫失调、多内分泌病、肠病和x连锁综合征是罕见的。FOXP3是调节性T细胞(Treg)发育/功能所需的转录因子。目的:我们旨在描述IPEX综合征单中心队列的临床、免疫学和遗传特征。患者和方法:我们报告了12例IPEX综合征患者的临床/免疫学/遗传学特征。我们使用全外显子组和Sanger测序进行诊断/家族分离。我们进行免疫分型,并通过流式细胞术分析测定外周血Treg百分比和FOXP3的表达。结果:中位诊断年龄为2.5岁(范围:0.3-22岁)。常见临床表现为感染(n = 9, 75%)、过敏(n = 8, 67%)、自身免疫(n = 7, 58%)、肠病(n = 7, 58%)、淋巴细胞增生(n = 3, 25%)。非典型初始表现包括IV级狼疮性肾炎,scid样免疫表型(CD3+ T细胞:4%[100/µL]; CD4+ T细胞:3%,CD8+ T细胞:1%,CD19+ B细胞:81%,CD16/56+ NK细胞:13%),随访期间持续数年的孤立性低γ -球蛋白血症。诊断时,3例(25%)患者有白细胞减少症,6例(50%)有淋巴细胞减少症,2例(17%)有中性粒细胞减少症。42%的患者出现嗜酸性粒细胞增多(25%轻度,17%中度)。在来自9个不相关家族的12例患者中发现了6种不同的FOXP3变异。4例(33%)患者接受了造血干细胞移植(HSCT)。总体而言,3例(25%)患者死于感染。1例患者死于hsct相关的导管并发症,1例患者死于事故。在接受移植的患者中,有两名存活良好。在未移植的患者中,有5例存活,正在我们中心接受随访。与健康对照组相比,8例患者Treg (CD4+CD127-/lowCD25+Foxp3+)百分比较低(p)。本研究通过描述具有某些非典型表现的单中心队列和证实先前报道的罕见表型,扩展了目前对IPEX综合征的认识。阐明免疫缺陷疾病的遗传基础有助于改进诊断方法和患者管理。
本文章由计算机程序翻译,如有差异,请以英文原文为准。
求助全文
约1分钟内获得全文 求助全文
来源期刊
CiteScore
12.20
自引率
9.90%
发文量
218
审稿时长
2 months
期刊介绍: The Journal of Clinical Immunology publishes impactful papers in the realm of human immunology, delving into the diagnosis, pathogenesis, prognosis, or treatment of human diseases. The journal places particular emphasis on primary immunodeficiencies and related diseases, encompassing inborn errors of immunity in a broad sense, their underlying genotypes, and diverse phenotypes. These phenotypes include infection, malignancy, allergy, auto-inflammation, and autoimmunity. We welcome a broad spectrum of studies in this domain, spanning genetic discovery, clinical description, immunologic assessment, diagnostic approaches, prognosis evaluation, and treatment interventions. Case reports are considered if they are genuinely original and accompanied by a concise review of the relevant medical literature, illustrating how the novel case study advances the field. The instructions to authors provide detailed guidance on the four categories of papers accepted by the journal.
×
引用
GB/T 7714-2015
复制
MLA
复制
APA
复制
导出至
BibTeX EndNote RefMan NoteFirst NoteExpress
×
提示
您的信息不完整,为了账户安全,请先补充。
现在去补充
×
提示
您因"违规操作"
具体请查看互助需知
我知道了
×
提示
确定
请完成安全验证×
copy
已复制链接
快去分享给好友吧!
我知道了
右上角分享
点击右上角分享
0
联系我们:info@booksci.cn Book学术提供免费学术资源搜索服务,方便国内外学者检索中英文文献。致力于提供最便捷和优质的服务体验。 Copyright © 2023 布克学术 All rights reserved.
京ICP备2023020795号-1
ghs 京公网安备 11010802042870号
Book学术文献互助
Book学术文献互助群
群 号:604180095
Book学术官方微信