Prediction Model for Risk of Hepatocellular Carcinoma After Hepatitis C Viral Eradication.

IF 3.4 3区 医学 Q2 ONCOLOGY
Journal of Hepatocellular Carcinoma Pub Date : 2025-10-13 eCollection Date: 2025-01-01 DOI:10.2147/JHC.S548870
Wei-Fan Hsu, Ching-Chu Lo, Kuo-Chih Tseng, Hsueh-Chou Lai, Chi-Yi Chen, Cheng-Yuan Peng
{"title":"Prediction Model for Risk of Hepatocellular Carcinoma After Hepatitis C Viral Eradication.","authors":"Wei-Fan Hsu, Ching-Chu Lo, Kuo-Chih Tseng, Hsueh-Chou Lai, Chi-Yi Chen, Cheng-Yuan Peng","doi":"10.2147/JHC.S548870","DOIUrl":null,"url":null,"abstract":"<p><strong>Purpose: </strong>The predictors of hepatocellular carcinoma (HCC) in patients with chronic hepatitis C (CHC) and a sustained virologic response after direct-acting antiviral therapy are not well known.</p><p><strong>Patients and methods: </strong>Between September 2012 and March 2022, this retrospective study enrolled 4426 consecutive patients from 4 hospitals in Taiwan. The patients were divided into derivation (n = 3178) and validation (n = 1248) groups.</p><p><strong>Results: </strong>In the derivation group, age, diabetes mellitus, platelet, albumin, and alpha-fetoprotein at 12 weeks after antiviral therapy were independent predictors of hepatocellular carcinoma. We incorporated these predictors into a novel risk prediction model called the AAAPD-C score (<b>a</b>ge, <b>a</b>lbumin, <b>a</b>lpha-fetoprotein level, <b>p</b>latelet count, and <b>d</b>iabetes mellitus status), with total risk scores ranging from 0 to 12. The AAAPD-C score had an area under the receiver operating characteristic curve of 0.867 for the validation group at the end of follow-up. The risk score accurately classified patients in both groups into those with low, medium, and high risks. Patients without advanced liver fibrosis with medium-high AAAPD-C risk scores (4-12) had an annual incidence of HCC >4 per 1000 person-years.</p><p><strong>Conclusion: </strong>The AAAPD-C score can predict the risk of HCC in patients with chronic hepatitis C and a sustained virologic response after direct-acting antiviral therapy. The tool is accurate and inexpensive, and clinicians can use it to identify patients with chronic hepatitis C at risk of HCC following viral eradication.</p>","PeriodicalId":15906,"journal":{"name":"Journal of Hepatocellular Carcinoma","volume":"12 ","pages":"2327-2339"},"PeriodicalIF":3.4000,"publicationDate":"2025-10-13","publicationTypes":"Journal Article","fieldsOfStudy":null,"isOpenAccess":false,"openAccessPdf":"https://www.ncbi.nlm.nih.gov/pmc/articles/PMC12533496/pdf/","citationCount":"0","resultStr":null,"platform":"Semanticscholar","paperid":null,"PeriodicalName":"Journal of Hepatocellular Carcinoma","FirstCategoryId":"3","ListUrlMain":"https://doi.org/10.2147/JHC.S548870","RegionNum":3,"RegionCategory":"医学","ArticlePicture":[],"TitleCN":null,"AbstractTextCN":null,"PMCID":null,"EPubDate":"2025/1/1 0:00:00","PubModel":"eCollection","JCR":"Q2","JCRName":"ONCOLOGY","Score":null,"Total":0}
引用次数: 0

Abstract

Purpose: The predictors of hepatocellular carcinoma (HCC) in patients with chronic hepatitis C (CHC) and a sustained virologic response after direct-acting antiviral therapy are not well known.

Patients and methods: Between September 2012 and March 2022, this retrospective study enrolled 4426 consecutive patients from 4 hospitals in Taiwan. The patients were divided into derivation (n = 3178) and validation (n = 1248) groups.

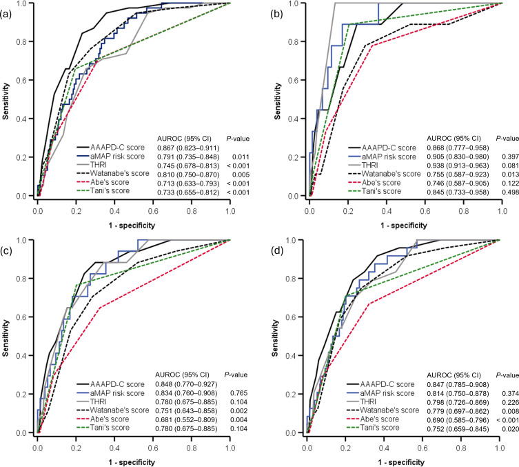
Results: In the derivation group, age, diabetes mellitus, platelet, albumin, and alpha-fetoprotein at 12 weeks after antiviral therapy were independent predictors of hepatocellular carcinoma. We incorporated these predictors into a novel risk prediction model called the AAAPD-C score (age, albumin, alpha-fetoprotein level, platelet count, and diabetes mellitus status), with total risk scores ranging from 0 to 12. The AAAPD-C score had an area under the receiver operating characteristic curve of 0.867 for the validation group at the end of follow-up. The risk score accurately classified patients in both groups into those with low, medium, and high risks. Patients without advanced liver fibrosis with medium-high AAAPD-C risk scores (4-12) had an annual incidence of HCC >4 per 1000 person-years.

Conclusion: The AAAPD-C score can predict the risk of HCC in patients with chronic hepatitis C and a sustained virologic response after direct-acting antiviral therapy. The tool is accurate and inexpensive, and clinicians can use it to identify patients with chronic hepatitis C at risk of HCC following viral eradication.

Abstract Image

Abstract Image

Abstract Image

丙型肝炎病毒根除后肝癌风险的预测模型。
目的:慢性丙型肝炎(CHC)患者肝细胞癌(HCC)的预测因素和直接作用抗病毒治疗后持续的病毒学反应尚不清楚。患者与方法:2012年9月至2022年3月,本回顾性研究从台湾4家医院连续入组4426例患者。将患者分为衍生组(n = 3178)和验证组(n = 1248)。结果:在衍生组中,年龄、糖尿病、血小板、白蛋白和抗病毒治疗后12周的甲胎蛋白是肝细胞癌的独立预测因素。我们将这些预测因素纳入一种新的风险预测模型,称为AAAPD-C评分(年龄、白蛋白、甲胎蛋白水平、血小板计数和糖尿病状态),总风险评分范围为0到12。随访结束时,验证组AAAPD-C评分在受试者工作特征曲线下的面积为0.867。风险评分准确地将两组患者分为低、中、高风险。无晚期肝纤维化且AAAPD-C风险评分中高(4-12)的患者,HCC年发病率为每1000人年0.4例。结论:AAAPD-C评分可预测慢性丙型肝炎患者发生HCC的风险及直接作用抗病毒治疗后持续的病毒学反应。该工具准确且价格低廉,临床医生可以使用它来识别在病毒根除后存在HCC风险的慢性丙型肝炎患者。
本文章由计算机程序翻译,如有差异,请以英文原文为准。
求助全文
约1分钟内获得全文 求助全文
来源期刊
CiteScore
0.50
自引率
2.40%
发文量
108
审稿时长
16 weeks
×
引用
GB/T 7714-2015
复制
MLA
复制
APA
复制
导出至
BibTeX EndNote RefMan NoteFirst NoteExpress
×
提示
您的信息不完整,为了账户安全,请先补充。
现在去补充
×
提示
您因"违规操作"
具体请查看互助需知
我知道了
×
提示
确定
请完成安全验证×
copy
已复制链接
快去分享给好友吧!
我知道了
右上角分享
点击右上角分享
0
联系我们:info@booksci.cn Book学术提供免费学术资源搜索服务,方便国内外学者检索中英文文献。致力于提供最便捷和优质的服务体验。 Copyright © 2023 布克学术 All rights reserved.
京ICP备2023020795号-1
ghs 京公网安备 11010802042870号
Book学术文献互助
Book学术文献互助群
群 号:604180095
Book学术官方微信