Calcitriol Administration Attenuates Acute Lung Injury by Improving Angiopoietin/Tie2 Dysregulation and Alveolar-Capillary Barrier Integrity in a Mouse Model of Ovariectomy Complicated With Sepsis.

IF 4.2 3区 医学 Q2 CELL BIOLOGY
Mediators of Inflammation Pub Date : 2025-10-07 eCollection Date: 2025-01-01 DOI:10.1155/mi/4374164
Chiu-Li Yeh, Shang-Ming Tseng, Mei-Pei Huang, Wei-Hsin Lin, Ting-Chun Kuo, Jin-Ming Wu, Kuen-Yuan Chen, Ming-Hsun Wu, Po-Jen Yang, Po-Chu Lee, Chien-Chia Chen, Chih-Yuan Lee, Sung-Ling Yeh, Ming-Tsan Lin
{"title":"Calcitriol Administration Attenuates Acute Lung Injury by Improving Angiopoietin/Tie2 Dysregulation and Alveolar-Capillary Barrier Integrity in a Mouse Model of Ovariectomy Complicated With Sepsis.","authors":"Chiu-Li Yeh, Shang-Ming Tseng, Mei-Pei Huang, Wei-Hsin Lin, Ting-Chun Kuo, Jin-Ming Wu, Kuen-Yuan Chen, Ming-Hsun Wu, Po-Jen Yang, Po-Chu Lee, Chien-Chia Chen, Chih-Yuan Lee, Sung-Ling Yeh, Ming-Tsan Lin","doi":"10.1155/mi/4374164","DOIUrl":null,"url":null,"abstract":"<p><p>Menopause is associated with excessive weight, increased systemic inflammation, and oxidative stress. Menopause with obesity may aggravate the severity of organ damage when complicated with sepsis. This study investigated the impacts of calcitriol on acute lung injury (ALI)-associated angiopoietin (Ang)/tyrosine kinase with immunoglobulin-like and epidermal growth factor-like domain 2 (Tie2) dysregulation, impairment of the barrier integrity, and ion disturbance in ovariectomized mice with sepsis. 6-month-old female C57BL/6 mice were divided into three groups: the OB group, which contained mice with a sham ovariectomy and high-fat diet (HFD); the OVSS group, which contained mice with an ovariectomy, an HFD, cecal ligation and puncture (CLP), and an intravenous saline injection after CLP; and the OVSD group, which contained mice with an ovariectomy, an HFD, CLP, and a calcitriol injection. The HFD was fed for 12 weeks. Mice in the respective groups were sacrificed on 24 or 72 h after CLP. Results showed that compared to the OB group, the OVSS group had higher oxidative stress, iron and copper overload, whereas the Ang1/Ang2 ratio and tight junction (TJ) protein levels were lower in the lungs. Calcitriol treatment in mice with ovariectomy and CLP enhanced Tie2 levels and the Ang1/Ang2 ratio, increased zona occludens (ZOs)-1, occludin, and claudin-5 levels. Elevated reduced glutathione (GSH) levels and glutathione peroxidase 4 (GPX4) activities, reduced iron and copper contents, and suppressed ferroptosis- and cuproptosis-associated components were found in the lungs. Also, higher survival rates and lower lung injury scores were noted in the OVSD groups. These findings suggest that calcitriol treatment mitigated the dysregulated Ang/Tie2 pathway, improved the integrity of the alveolar-capillary barrier, elicited a more balanced redox status, alleviated ferroptosis and cuproptosis in the lungs in an ovariectomy model complicated with sepsis.</p>","PeriodicalId":18371,"journal":{"name":"Mediators of Inflammation","volume":"2025 ","pages":"4374164"},"PeriodicalIF":4.2000,"publicationDate":"2025-10-07","publicationTypes":"Journal Article","fieldsOfStudy":null,"isOpenAccess":false,"openAccessPdf":"https://www.ncbi.nlm.nih.gov/pmc/articles/PMC12520812/pdf/","citationCount":"0","resultStr":null,"platform":"Semanticscholar","paperid":null,"PeriodicalName":"Mediators of Inflammation","FirstCategoryId":"3","ListUrlMain":"https://doi.org/10.1155/mi/4374164","RegionNum":3,"RegionCategory":"医学","ArticlePicture":[],"TitleCN":null,"AbstractTextCN":null,"PMCID":null,"EPubDate":"2025/1/1 0:00:00","PubModel":"eCollection","JCR":"Q2","JCRName":"CELL BIOLOGY","Score":null,"Total":0}
引用次数: 0

Abstract

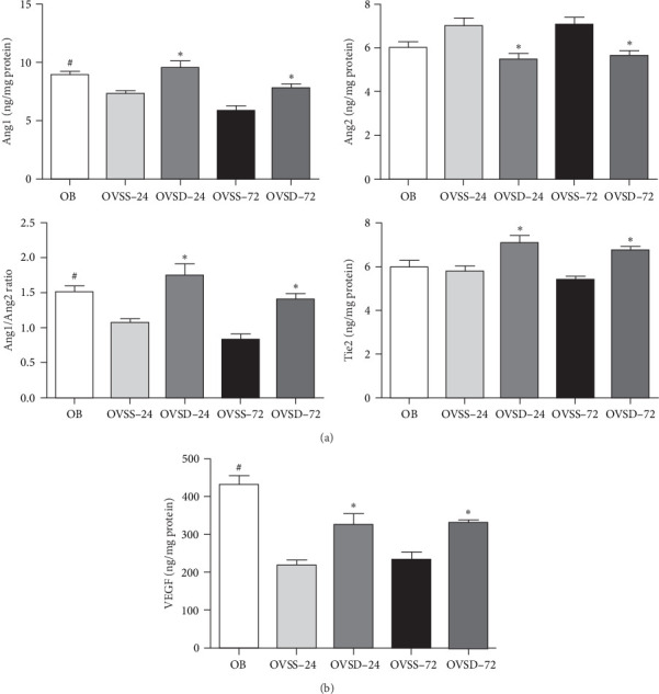
Menopause is associated with excessive weight, increased systemic inflammation, and oxidative stress. Menopause with obesity may aggravate the severity of organ damage when complicated with sepsis. This study investigated the impacts of calcitriol on acute lung injury (ALI)-associated angiopoietin (Ang)/tyrosine kinase with immunoglobulin-like and epidermal growth factor-like domain 2 (Tie2) dysregulation, impairment of the barrier integrity, and ion disturbance in ovariectomized mice with sepsis. 6-month-old female C57BL/6 mice were divided into three groups: the OB group, which contained mice with a sham ovariectomy and high-fat diet (HFD); the OVSS group, which contained mice with an ovariectomy, an HFD, cecal ligation and puncture (CLP), and an intravenous saline injection after CLP; and the OVSD group, which contained mice with an ovariectomy, an HFD, CLP, and a calcitriol injection. The HFD was fed for 12 weeks. Mice in the respective groups were sacrificed on 24 or 72 h after CLP. Results showed that compared to the OB group, the OVSS group had higher oxidative stress, iron and copper overload, whereas the Ang1/Ang2 ratio and tight junction (TJ) protein levels were lower in the lungs. Calcitriol treatment in mice with ovariectomy and CLP enhanced Tie2 levels and the Ang1/Ang2 ratio, increased zona occludens (ZOs)-1, occludin, and claudin-5 levels. Elevated reduced glutathione (GSH) levels and glutathione peroxidase 4 (GPX4) activities, reduced iron and copper contents, and suppressed ferroptosis- and cuproptosis-associated components were found in the lungs. Also, higher survival rates and lower lung injury scores were noted in the OVSD groups. These findings suggest that calcitriol treatment mitigated the dysregulated Ang/Tie2 pathway, improved the integrity of the alveolar-capillary barrier, elicited a more balanced redox status, alleviated ferroptosis and cuproptosis in the lungs in an ovariectomy model complicated with sepsis.

Abstract Image

Abstract Image

Abstract Image

骨化三醇通过改善卵巢切除合并脓毒症小鼠模型中血管生成素/Tie2失调和肺泡-毛细血管屏障完整性减轻急性肺损伤
更年期与体重过重、全身炎症增加和氧化应激有关。绝经期肥胖合并败血症可加重脏器损害的严重程度。本研究探讨了骨化三醇对去卵巢脓毒症小鼠急性肺损伤(ALI)相关血管生成素(Ang)/酪氨酸激酶伴免疫球蛋白样和表皮生长因子样结构域2 (Tie2)失调、屏障完整性受损和离子干扰的影响。将6月龄雌性C57BL/6小鼠分为三组:OB组,即假卵巢切除小鼠和高脂肪饮食(HFD);OVSS组,小鼠切除卵巢,HFD,盲肠结扎穿刺(CLP), CLP后静脉注射生理盐水;另一组是卵巢切除、HFD、CLP和骨化三醇注射的小鼠。HFD饲喂12周。各组小鼠分别于CLP后24、72 h处死。结果显示,与OB组相比,OVSS组肺组织氧化应激、铁和铜过载较高,而Ang1/Ang2比值和紧密连接(TJ)蛋白水平较低。骨化三醇治疗小鼠卵巢切除术和CLP可提高Tie2水平和Ang1/Ang2比值,增加occludens (ZOs)-1、occludin和claudin-5水平。肺中发现还原性谷胱甘肽(GSH)水平和谷胱甘肽过氧化物酶4 (GPX4)活性升高,铁和铜含量降低,铁下垂和铜下垂相关成分受到抑制。此外,OVSD组的生存率更高,肺损伤评分更低。这些研究结果表明,骨化三醇治疗减轻了失调的Ang/Tie2通路,改善了肺泡-毛细血管屏障的完整性,引发了更平衡的氧化还原状态,减轻了卵巢切除合并脓毒症模型中肺部的铁骺端和铜骺端。
本文章由计算机程序翻译,如有差异,请以英文原文为准。
求助全文
约1分钟内获得全文 求助全文
来源期刊
Mediators of Inflammation
Mediators of Inflammation 医学-免疫学
CiteScore
8.70
自引率
0.00%
发文量
202
审稿时长
4 months
期刊介绍: Mediators of Inflammation is a peer-reviewed, Open Access journal that publishes original research and review articles on all types of inflammatory mediators, including cytokines, histamine, bradykinin, prostaglandins, leukotrienes, PAF, biological response modifiers and the family of cell adhesion-promoting molecules.
×
引用
GB/T 7714-2015
复制
MLA
复制
APA
复制
导出至
BibTeX EndNote RefMan NoteFirst NoteExpress
×
提示
您的信息不完整,为了账户安全,请先补充。
现在去补充
×
提示
您因"违规操作"
具体请查看互助需知
我知道了
×
提示
确定
请完成安全验证×
copy
已复制链接
快去分享给好友吧!
我知道了
右上角分享
点击右上角分享
0
联系我们:info@booksci.cn Book学术提供免费学术资源搜索服务,方便国内外学者检索中英文文献。致力于提供最便捷和优质的服务体验。 Copyright © 2023 布克学术 All rights reserved.
京ICP备2023020795号-1
ghs 京公网安备 11010802042870号
Book学术文献互助
Book学术文献互助群
群 号:604180095
Book学术官方微信