Carbon dioxide elimination as a guide to venoarterial extracorporeal membrane oxygenation weaning: a prospective observational study.

IF 5.5 1区 医学 Q1 CRITICAL CARE MEDICINE
Yazhu Yang, Liangshan Wang, Chenglong Li, Hong Wang, Xin Hao, Yan Wang, Yiwen Wang, Ruike Lu, Xiaotong Hou, Zhongtao Du
{"title":"Carbon dioxide elimination as a guide to venoarterial extracorporeal membrane oxygenation weaning: a prospective observational study.","authors":"Yazhu Yang, Liangshan Wang, Chenglong Li, Hong Wang, Xin Hao, Yan Wang, Yiwen Wang, Ruike Lu, Xiaotong Hou, Zhongtao Du","doi":"10.1186/s13613-025-01583-4","DOIUrl":null,"url":null,"abstract":"<p><strong>Background: </strong>Despite the increasing use of venoarterial extracorporeal membrane oxygenation (VA-ECMO) in cardiogenic shock (CS), reliable predictors of successful weaning remain poorly defined. This study investigated the role of carbon dioxide elimination parameters in VA-ECMO weaning.</p><p><strong>Methods and results: </strong>To assess the potential role of end-tidal carbon dioxide (EtCO<sub>2</sub>) in predicting successful VA-ECMO weaning, we conducted a prospective observational study at Anzhen Hospital between January 2023 and December 2024. The primary endpoint was the predictive performance of EtCO<sub>2</sub> and VCO<sub>2</sub>NL ratio for successful VA-ECMO weaning. Real-time EtCO<sub>2</sub> monitoring was performed using infrared capnography in mechanically ventilated patients, and the ratio of native lung carbon dioxide elimination (VCO<sub>2</sub>NL) to total carbon dioxide elimination (VCO<sub>2</sub>TOT) was calculated as the VCO<sub>2</sub>NL ratio. Dynamic changes in these parameters were analysed in relation to weaning outcomes. Among 294 patients receiving VA-ECMO for refractory CS during the study period, 91 were included, yielding 562 data points. Both EtCO<sub>2</sub> (odds ratio [OR] = 1.26, 95% confidence interval [CI] 1.17-1.37, p < 0.0001) and the VCO<sub>2</sub>NL ratio (1.14, 95% CI 1.09-1.21, p < 0.0001) showed significant correlations with successful weaning. A VCO<sub>2</sub>NL ratio > 79% and EtCO<sub>2</sub> > 34 mmHg showed strong predictive value for successful weaning (area under the receiver operating characteristics (ROC) curve values of 0.85 [95% CI 0.80-0.89] and 0.84 [95% CI 0.79-0.89], p < 0.0001).</p><p><strong>Conclusions: </strong>EtCO<sub>2</sub> and the VCO<sub>2</sub>NL ratio may be valuable indicators for predicting successful VA-ECMO weaning. Higher EtCO<sub>2</sub> and VCO<sub>2</sub>NL ratio values are associated with a greater likelihood of successful weaning.</p>","PeriodicalId":7966,"journal":{"name":"Annals of Intensive Care","volume":"15 1","pages":"157"},"PeriodicalIF":5.5000,"publicationDate":"2025-10-14","publicationTypes":"Journal Article","fieldsOfStudy":null,"isOpenAccess":false,"openAccessPdf":"https://www.ncbi.nlm.nih.gov/pmc/articles/PMC12521700/pdf/","citationCount":"0","resultStr":null,"platform":"Semanticscholar","paperid":null,"PeriodicalName":"Annals of Intensive Care","FirstCategoryId":"3","ListUrlMain":"https://doi.org/10.1186/s13613-025-01583-4","RegionNum":1,"RegionCategory":"医学","ArticlePicture":[],"TitleCN":null,"AbstractTextCN":null,"PMCID":null,"EPubDate":"","PubModel":"","JCR":"Q1","JCRName":"CRITICAL CARE MEDICINE","Score":null,"Total":0}
引用次数: 0

Abstract

Background: Despite the increasing use of venoarterial extracorporeal membrane oxygenation (VA-ECMO) in cardiogenic shock (CS), reliable predictors of successful weaning remain poorly defined. This study investigated the role of carbon dioxide elimination parameters in VA-ECMO weaning.

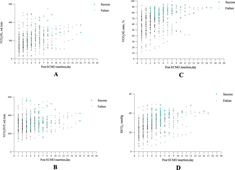
Methods and results: To assess the potential role of end-tidal carbon dioxide (EtCO2) in predicting successful VA-ECMO weaning, we conducted a prospective observational study at Anzhen Hospital between January 2023 and December 2024. The primary endpoint was the predictive performance of EtCO2 and VCO2NL ratio for successful VA-ECMO weaning. Real-time EtCO2 monitoring was performed using infrared capnography in mechanically ventilated patients, and the ratio of native lung carbon dioxide elimination (VCO2NL) to total carbon dioxide elimination (VCO2TOT) was calculated as the VCO2NL ratio. Dynamic changes in these parameters were analysed in relation to weaning outcomes. Among 294 patients receiving VA-ECMO for refractory CS during the study period, 91 were included, yielding 562 data points. Both EtCO2 (odds ratio [OR] = 1.26, 95% confidence interval [CI] 1.17-1.37, p < 0.0001) and the VCO2NL ratio (1.14, 95% CI 1.09-1.21, p < 0.0001) showed significant correlations with successful weaning. A VCO2NL ratio > 79% and EtCO2 > 34 mmHg showed strong predictive value for successful weaning (area under the receiver operating characteristics (ROC) curve values of 0.85 [95% CI 0.80-0.89] and 0.84 [95% CI 0.79-0.89], p < 0.0001).

Conclusions: EtCO2 and the VCO2NL ratio may be valuable indicators for predicting successful VA-ECMO weaning. Higher EtCO2 and VCO2NL ratio values are associated with a greater likelihood of successful weaning.

Abstract Image

Abstract Image

Abstract Image

二氧化碳消除作为静脉体外膜氧合脱机的指导:一项前瞻性观察研究。
背景:尽管在心源性休克(CS)中越来越多地使用静脉体外膜氧合(VA-ECMO),但成功脱机的可靠预测因素仍然不明确。本研究探讨了二氧化碳消除参数在VA-ECMO脱机中的作用。方法和结果:为了评估潮末二氧化碳(EtCO2)在预测VA-ECMO成功脱机中的潜在作用,我们于2023年1月至2024年12月在安贞医院进行了一项前瞻性观察研究。主要终点是EtCO2和VCO2NL比值对VA-ECMO成功脱机的预测性能。对机械通气患者采用红外二氧化碳成像进行实时EtCO2监测,计算肺活量天然二氧化碳消除(VCO2NL)与总二氧化碳消除(VCO2TOT)之比作为VCO2NL之比。分析了这些参数的动态变化与断奶结果的关系。在研究期间294例接受VA-ECMO治疗难治性CS的患者中,91例纳入研究,获得562个数据点。EtCO2(优势比[OR] = 1.26, 95%可信区间[CI] 1.17-1.37, p 2NL比(1.14),95% CI 1.09-1.21, p 2NL比(>)79%和EtCO2 (>) 34 mmHg对成功脱机具有很强的预测价值(受试者工作特征曲线下面积为0.85 [95% CI 0.80-0.89]和0.84 [95% CI 0.79-0.89]), p结论:EtCO2和VCO2NL比可能是预测VA-ECMO成功脱机的有价值的指标。较高的EtCO2和VCO2NL比值值与更大的成功断奶可能性相关。
本文章由计算机程序翻译,如有差异,请以英文原文为准。
求助全文
约1分钟内获得全文 求助全文
来源期刊
Annals of Intensive Care
Annals of Intensive Care CRITICAL CARE MEDICINE-
CiteScore
14.20
自引率
3.70%
发文量
107
审稿时长
13 weeks
期刊介绍: Annals of Intensive Care is an online peer-reviewed journal that publishes high-quality review articles and original research papers in the field of intensive care medicine. It targets critical care providers including attending physicians, fellows, residents, nurses, and physiotherapists, who aim to enhance their knowledge and provide optimal care for their patients. The journal's articles are included in various prestigious databases such as CAS, Current contents, DOAJ, Embase, Journal Citation Reports/Science Edition, OCLC, PubMed, PubMed Central, Science Citation Index Expanded, SCOPUS, and Summon by Serial Solutions.
×
引用
GB/T 7714-2015
复制
MLA
复制
APA
复制
导出至
BibTeX EndNote RefMan NoteFirst NoteExpress
×
提示
您的信息不完整,为了账户安全,请先补充。
现在去补充
×
提示
您因"违规操作"
具体请查看互助需知
我知道了
×
提示
确定
请完成安全验证×
copy
已复制链接
快去分享给好友吧!
我知道了
右上角分享
点击右上角分享
0
联系我们:info@booksci.cn Book学术提供免费学术资源搜索服务,方便国内外学者检索中英文文献。致力于提供最便捷和优质的服务体验。 Copyright © 2023 布克学术 All rights reserved.
京ICP备2023020795号-1
ghs 京公网安备 11010802042870号
Book学术文献互助
Book学术文献互助群
群 号:604180095
Book学术官方微信