Additional cartilage treatment for small defects in chronic ankle instability shows no mid-term benefit and delays recovery: a randomized controlled trial.

IF 3.7 2区 医学 Q1 ORTHOPEDICS
Raúl Figa Barrios, José María Mora-Guix, Pablo Oscar Roza Miguel, Jesús Vila-Rico
{"title":"Additional cartilage treatment for small defects in chronic ankle instability shows no mid-term benefit and delays recovery: a randomized controlled trial.","authors":"Raúl Figa Barrios, José María Mora-Guix, Pablo Oscar Roza Miguel, Jesús Vila-Rico","doi":"10.1186/s10195-025-00880-9","DOIUrl":null,"url":null,"abstract":"<p><strong>Background: </strong>The presence of chondral lesions in patients with chronic ankle instability is common and has been suggested as a possible cause of persistent pain in some cases, even after successful ligament reconstruction. For this reason, some authors have proposed combining ankle stabilization with cartilage microfracture; however, the results reported in literature are contradictory.</p><p><strong>Materials and methods: </strong>The study was designed as a prospective randomized clinical study with two parallel arms. Patients with an anterior talofibular ligament tear causing pain and instability, associated with a Berndt-Harty stage I-IIb talar osteochondral lesion of < 150 mm<sup>2</sup> that had not responded to conservative treatment, were blindly assigned to either isolated ligament reconstruction (REC) or reconstruction plus microfracture (REC + MIC). Evaluators were also blinded.</p><p><strong>Results: </strong>A total of 71 patients were included in the study, with 36 in the REC group and 35 in the REC + MIC group. The groups were comparable in terms of anthropometry and pathology. The operating time was significantly longer in the REC + MIC group (48.0 ± 4.5 min) compared with the REC group (24.9 ± 3.9 min; p < 0.001). At the end of follow-up, both patient groups showed similar results on the American Orthopaedic Foot and Ankle Society (AOFAS) score (p = 0.755), Self-Reported Foot and Ankle Score (SEFAS) (p = 0.862), Karlsson score (p = 0.993), and visual analog scale (VAS) (p = 0.870). However, the time to recovery differed between the groups, with patients in the REC group recovering faster from before the operation (pre-op) through the third month after the operation (post-op). The difference in recovery at 3 months post-op was statistically significant on the AOFAS (p < 0.001), SEFAS (p < 0.001), and Karlsson (p < 0.001) scores. No statistically significant difference was observed in terms of pain (p = 0.342). The failure rate was also comparable between the groups, with four (11.1%) reoperations in the REC group and five (14.3%) in the REC + MIC group (p = 0.735).</p><p><strong>Conclusions: </strong>At 2 years post surgery, no differences were observed in function (according to the AOFAS, SEFAS, and Karlsson scores), pain, or complications in patients with ankle instability and associated chondral damage treated with or without microfractures. However, patients who underwent microfractures experienced a significantly slower recovery of function.</p><p><strong>Level of evidence: </strong>Level 1.</p><p><strong>Trial registration: </strong>ClinicalTrials.gov Identifier NCT06947317 (retrospectively registered). Date: 1 May 2025. ( https://clinicaltrials.gov/study/NCT06947317 ).</p>","PeriodicalId":48603,"journal":{"name":"Journal of Orthopaedics and Traumatology","volume":"26 1","pages":"67"},"PeriodicalIF":3.7000,"publicationDate":"2025-10-09","publicationTypes":"Journal Article","fieldsOfStudy":null,"isOpenAccess":false,"openAccessPdf":"https://www.ncbi.nlm.nih.gov/pmc/articles/PMC12511473/pdf/","citationCount":"0","resultStr":null,"platform":"Semanticscholar","paperid":null,"PeriodicalName":"Journal of Orthopaedics and Traumatology","FirstCategoryId":"3","ListUrlMain":"https://doi.org/10.1186/s10195-025-00880-9","RegionNum":2,"RegionCategory":"医学","ArticlePicture":[],"TitleCN":null,"AbstractTextCN":null,"PMCID":null,"EPubDate":"","PubModel":"","JCR":"Q1","JCRName":"ORTHOPEDICS","Score":null,"Total":0}
引用次数: 0

Abstract

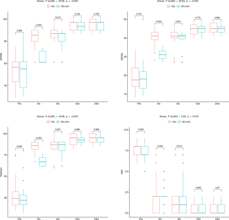
Background: The presence of chondral lesions in patients with chronic ankle instability is common and has been suggested as a possible cause of persistent pain in some cases, even after successful ligament reconstruction. For this reason, some authors have proposed combining ankle stabilization with cartilage microfracture; however, the results reported in literature are contradictory.

Materials and methods: The study was designed as a prospective randomized clinical study with two parallel arms. Patients with an anterior talofibular ligament tear causing pain and instability, associated with a Berndt-Harty stage I-IIb talar osteochondral lesion of < 150 mm2 that had not responded to conservative treatment, were blindly assigned to either isolated ligament reconstruction (REC) or reconstruction plus microfracture (REC + MIC). Evaluators were also blinded.

Results: A total of 71 patients were included in the study, with 36 in the REC group and 35 in the REC + MIC group. The groups were comparable in terms of anthropometry and pathology. The operating time was significantly longer in the REC + MIC group (48.0 ± 4.5 min) compared with the REC group (24.9 ± 3.9 min; p < 0.001). At the end of follow-up, both patient groups showed similar results on the American Orthopaedic Foot and Ankle Society (AOFAS) score (p = 0.755), Self-Reported Foot and Ankle Score (SEFAS) (p = 0.862), Karlsson score (p = 0.993), and visual analog scale (VAS) (p = 0.870). However, the time to recovery differed between the groups, with patients in the REC group recovering faster from before the operation (pre-op) through the third month after the operation (post-op). The difference in recovery at 3 months post-op was statistically significant on the AOFAS (p < 0.001), SEFAS (p < 0.001), and Karlsson (p < 0.001) scores. No statistically significant difference was observed in terms of pain (p = 0.342). The failure rate was also comparable between the groups, with four (11.1%) reoperations in the REC group and five (14.3%) in the REC + MIC group (p = 0.735).

Conclusions: At 2 years post surgery, no differences were observed in function (according to the AOFAS, SEFAS, and Karlsson scores), pain, or complications in patients with ankle instability and associated chondral damage treated with or without microfractures. However, patients who underwent microfractures experienced a significantly slower recovery of function.

Level of evidence: Level 1.

Trial registration: ClinicalTrials.gov Identifier NCT06947317 (retrospectively registered). Date: 1 May 2025. ( https://clinicaltrials.gov/study/NCT06947317 ).

Abstract Image

Abstract Image

一项随机对照试验表明,对慢性踝关节不稳定的小缺陷进行额外的软骨治疗没有中期益处,而且会延迟恢复。
背景:慢性踝关节不稳定患者中存在软骨病变是常见的,并且被认为是某些病例持续疼痛的可能原因,即使在韧带重建成功后也是如此。因此,一些作者提出踝关节稳定联合软骨微骨折;然而,文献报道的结果是矛盾的。材料和方法:本研究设计为前瞻性随机临床研究,两组平行研究。距腓骨前韧带撕裂导致疼痛和不稳定,并伴有Berndt-Harty I-IIb期距骨软骨病变2,保守治疗无效的患者,被盲目分配到孤立韧带重建(REC)或重建加微骨折(REC + MIC)。评估者也采用盲法。结果:共纳入71例患者,其中REC组36例,REC + MIC组35例。两组在人体测量学和病理学方面具有可比性。与REC组(24.9±3.9 min)相比,REC + MIC组(48.0±4.5 min)的手术时间明显更长(24.9±3.9 min); p结论:术后2年,伴有微骨折或不伴有微骨折的踝关节不稳及相关软骨损伤患者在功能(根据AOFAS、SEFAS和Karlsson评分)、疼痛或并发症方面均无差异。然而,接受微骨折的患者功能恢复明显较慢。证据等级:一级。试验注册:ClinicalTrials.gov标识符NCT06947317(回顾性注册)。日期:2025年5月1日。(https://clinicaltrials.gov/study/NCT06947317)。
本文章由计算机程序翻译,如有差异,请以英文原文为准。
求助全文
约1分钟内获得全文 求助全文
来源期刊
Journal of Orthopaedics and Traumatology
Journal of Orthopaedics and Traumatology Medicine-Orthopedics and Sports Medicine
CiteScore
4.30
自引率
0.00%
发文量
56
审稿时长
13 weeks
期刊介绍: The Journal of Orthopaedics and Traumatology, the official open access peer-reviewed journal of the Italian Society of Orthopaedics and Traumatology, publishes original papers reporting basic or clinical research in the field of orthopaedic and traumatologic surgery, as well as systematic reviews, brief communications, case reports and letters to the Editor. Narrative instructional reviews and commentaries to original articles may be commissioned by Editors from eminent colleagues. The Journal of Orthopaedics and Traumatology aims to be an international forum for the communication and exchange of ideas concerning the various aspects of orthopaedics and musculoskeletal trauma.
×
引用
GB/T 7714-2015
复制
MLA
复制
APA
复制
导出至
BibTeX EndNote RefMan NoteFirst NoteExpress
×
提示
您的信息不完整,为了账户安全,请先补充。
现在去补充
×
提示
您因"违规操作"
具体请查看互助需知
我知道了
×
提示
确定
请完成安全验证×
copy
已复制链接
快去分享给好友吧!
我知道了
右上角分享
点击右上角分享
0
联系我们:info@booksci.cn Book学术提供免费学术资源搜索服务,方便国内外学者检索中英文文献。致力于提供最便捷和优质的服务体验。 Copyright © 2023 布克学术 All rights reserved.
京ICP备2023020795号-1
ghs 京公网安备 11010802042870号
Book学术文献互助
Book学术文献互助群
群 号:604180095
Book学术官方微信