Influence of Hydrated Environment on Luminescent Properties of Pr(III) and Eu(III) Heterolanthanide Complexes with Cucurbituril

IF 1.4 4区 化学 Q4 CHEMISTRY, INORGANIC & NUCLEAR
M. I. Rakhmanova, T. S. Sukhikh, E. A. Kovalenko
{"title":"Influence of Hydrated Environment on Luminescent Properties of Pr(III) and Eu(III) Heterolanthanide Complexes with Cucurbituril","authors":"M. I. Rakhmanova,&nbsp;T. S. Sukhikh,&nbsp;E. A. Kovalenko","doi":"10.1134/S002247662509015X","DOIUrl":null,"url":null,"abstract":"<p>Supramolecular lanthanide complexes with cucurbituril [{Eu<sub><i>x</i></sub>Pr<sub>1–<i>x</i></sub>(H<sub>2</sub>O)<sub>5</sub>(NO<sub>3</sub>)}<sub>2</sub>CB[6]](NO<sub>3</sub>)<sub>4</sub>·HNO<sub>3</sub> 6H<sub>2</sub>O (<i>x</i> = 0.25, 0.5, 0.75, structural type <b>I</b>) are prepared. Keeping these compounds over CaCl<sub>2</sub> results in a phase transition which is caused by partial loss of water molecules and leads to the formation of [{Eu<sub><i>x</i> Pr1–<i>x</i></sub>(H<sub>2</sub>O)<sub>3</sub>(NO<sub>3</sub>)<sub>2</sub>}<sub>2</sub>CB[6]](NO<sub>3</sub>)<sub>2</sub>HNO<sub>3</sub> (structural type <b>II</b>). The <b>I</b> to <b>II</b> transition takes 24 h and is reversible: when kept in water vapors for 2 h, <b>II</b> transforms completely into <b>I</b>. Luminescent properties of <b>I</b> and <b>II</b> are studied. Differences between the intensities of bands assigned to hypersensitive Eu-centered <sup>5</sup><i>D</i><sub>0</sub> → <sup>7</sup><i>F</i><sub>2</sub> transitions are due to the fact that coordination environments of the central atom are different and contain five (for <b>I</b>) and three (for <b>II</b>) aqualigands. Significantly higher quantum yield of <b>II</b> is due to the suppression of luminescence quenching by O–H vibrations.</p>","PeriodicalId":668,"journal":{"name":"Journal of Structural Chemistry","volume":"66 9","pages":"1932 - 1941"},"PeriodicalIF":1.4000,"publicationDate":"2025-10-09","publicationTypes":"Journal Article","fieldsOfStudy":null,"isOpenAccess":false,"openAccessPdf":"","citationCount":"0","resultStr":null,"platform":"Semanticscholar","paperid":null,"PeriodicalName":"Journal of Structural Chemistry","FirstCategoryId":"92","ListUrlMain":"https://link.springer.com/article/10.1134/S002247662509015X","RegionNum":4,"RegionCategory":"化学","ArticlePicture":[],"TitleCN":null,"AbstractTextCN":null,"PMCID":null,"EPubDate":"","PubModel":"","JCR":"Q4","JCRName":"CHEMISTRY, INORGANIC & NUCLEAR","Score":null,"Total":0}
引用次数: 0

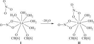
Abstract

Supramolecular lanthanide complexes with cucurbituril [{EuxPr1–x(H2O)5(NO3)}2CB[6]](NO3)4·HNO3 6H2O (x = 0.25, 0.5, 0.75, structural type I) are prepared. Keeping these compounds over CaCl2 results in a phase transition which is caused by partial loss of water molecules and leads to the formation of [{Eux Pr1–x(H2O)3(NO3)2}2CB[6]](NO3)2HNO3 (structural type II). The I to II transition takes 24 h and is reversible: when kept in water vapors for 2 h, II transforms completely into I. Luminescent properties of I and II are studied. Differences between the intensities of bands assigned to hypersensitive Eu-centered 5D0 → 7F2 transitions are due to the fact that coordination environments of the central atom are different and contain five (for I) and three (for II) aqualigands. Significantly higher quantum yield of II is due to the suppression of luminescence quenching by O–H vibrations.

Abstract Image

水合环境对Pr(III)和Eu(III)异镧系瓜脲配合物发光性能的影响
制备了葫芦脲[{EuxPr1-x (H2O)5(NO3)}2CB[6]](NO3)4·HNO3 6H2O (x = 0.25, 0.5, 0.75,结构类型I)的超分子镧系配合物。将这些化合物保持在CaCl2上导致了由部分水分子损失引起的相变,并导致形成[{Eux Pr1-x (H2O)3(NO3)2}2CB[6]](NO3)2HNO3(结构型II)。I到II的转变需要24 h,并且是可逆的:当II在水蒸气中保持2 h时,II完全转变为I。超敏铕中心5D0→7F2跃迁的谱带强度差异是由于中心原子的配位环境不同,包含5个(I)和3个(II)水基体。II的量子产率显著提高是由于O-H振动抑制了发光猝灭。
本文章由计算机程序翻译,如有差异,请以英文原文为准。
求助全文
约1分钟内获得全文 求助全文
来源期刊
Journal of Structural Chemistry
Journal of Structural Chemistry 化学-无机化学与核化学
CiteScore
1.60
自引率
12.50%
发文量
142
审稿时长
8.3 months
期刊介绍: Journal is an interdisciplinary publication covering all aspects of structural chemistry, including the theory of molecular structure and chemical bond; the use of physical methods to study the electronic and spatial structure of chemical species; structural features of liquids, solutions, surfaces, supramolecular systems, nano- and solid materials; and the crystal structure of solids.
×
引用
GB/T 7714-2015
复制
MLA
复制
APA
复制
导出至
BibTeX EndNote RefMan NoteFirst NoteExpress
×
提示
您的信息不完整,为了账户安全,请先补充。
现在去补充
×
提示
您因"违规操作"
具体请查看互助需知
我知道了
×
提示
确定
请完成安全验证×
copy
已复制链接
快去分享给好友吧!
我知道了
右上角分享
点击右上角分享
0
联系我们:info@booksci.cn Book学术提供免费学术资源搜索服务,方便国内外学者检索中英文文献。致力于提供最便捷和优质的服务体验。 Copyright © 2023 布克学术 All rights reserved.
京ICP备2023020795号-1
ghs 京公网安备 11010802042870号
Book学术文献互助
Book学术文献互助群
群 号:604180095
Book学术官方微信