Acute effects of beetroot juice vs. creatine supplementation on maximal strength, autonomic regulation, and muscle oxygenation during incremental resistance exercise.

IF 4.2 2区 医学 Q1 SPORT SCIENCES
Biology of Sport Pub Date : 2025-06-06 eCollection Date: 2025-10-01 DOI:10.5114/biolsport.2025.151658
Atef Salem, Achraf Ammar, Mohamed Kerkeni, Mohamed Ali Boujelbane, Ayse Merve Uyar, Leonard Moritz Köbel, Saranya Selvaraj, Reza Zare, Katie M Heinrich, Haitham Jahrami, Slim Tounsi, Giuseppe Grosso, Piotr Zmijewski, Wolfgang I Schöllhorn, Khaled Trabelsi, Hamdi Chtourou
{"title":"Acute effects of beetroot juice vs. creatine supplementation on maximal strength, autonomic regulation, and muscle oxygenation during incremental resistance exercise.","authors":"Atef Salem, Achraf Ammar, Mohamed Kerkeni, Mohamed Ali Boujelbane, Ayse Merve Uyar, Leonard Moritz Köbel, Saranya Selvaraj, Reza Zare, Katie M Heinrich, Haitham Jahrami, Slim Tounsi, Giuseppe Grosso, Piotr Zmijewski, Wolfgang I Schöllhorn, Khaled Trabelsi, Hamdi Chtourou","doi":"10.5114/biolsport.2025.151658","DOIUrl":null,"url":null,"abstract":"<p><p>This study investigated the acute effects of beetroot juice (BJ) and creatine (CR) supplementation on maximal strength, heart rate variability (HRV), and muscle oxygenation during incremental resistance exercise. Eleven physically active males (age = 21.36 ± 1.8 years) completed a randomized, double-blind, placebocontrolled, crossover protocol. Participants ingested either 0.3 g · kg<sup>-1</sup> of CR or 15 g of beetroot powder (7.26 mmol · L<sup>-1</sup> or 450 mg of nitrate) two hours before each session. The three testing sessions included bench press and back squat at 60%, 70%, and 80% of one-repetition maximum (1-RM) until failure. Repetition-tofailure, peak velocity, power, Heart rate, and muscle oxygen saturation (SmO<sub>2</sub>) were recorded during both exercises. HRV indices, lower-limb strength performance, blood lactate, and rating of perceived exertion (RPE) were measured pre- and post-session. As intensity increased, maximum repetitions decreased significantly in all exercises and conditions (p < 0.05). Both BJ and CR improved peak velocity compared to placebo (p < 0.05). BJ led to lower peak heart rates at all intensities during BP and only at 80% of 1-RM during BS and higher SmO<sub>2</sub> across all intensities (p < 0.05) compared to PLA and CR. From pre- to post-session, lactate and RPE increased (p < 0.05) and lower -limb strength performance and HRV declined (p < 0.05), in all conditions, with no significant differences between BJ and CR. Compared to PLA, BJ showed significantly higher Root mean square of successive differences (RMSSD), Standard deviation of normal-to-normal intervals (SDNN), and high frequency (HF) power at both pre- and post-session (p < 0.05). CR supplementation resulted in significantly higher RMSSD values compared to PLA at both pre- and post-session time points (p < 0.001), while HF was significantly elevated only at post-session (p = 0.018), and SDNN showed no significant differences at either time point. Additionally, BJ revealed significantly higher RMSSD than CR at pre-session (p = 0.041). In conclusion, both BJ and CR significantly enhanced peak velocity during incremental resistance exercises compared to placebo. However, BJ provided additional benefits in muscle oxygenation and autonomic nervous system regulation, particularly during high-intensity efforts.</p>","PeriodicalId":55365,"journal":{"name":"Biology of Sport","volume":"42 4","pages":"241-259"},"PeriodicalIF":4.2000,"publicationDate":"2025-06-06","publicationTypes":"Journal Article","fieldsOfStudy":null,"isOpenAccess":false,"openAccessPdf":"https://www.ncbi.nlm.nih.gov/pmc/articles/PMC12490317/pdf/","citationCount":"0","resultStr":null,"platform":"Semanticscholar","paperid":null,"PeriodicalName":"Biology of Sport","FirstCategoryId":"3","ListUrlMain":"https://doi.org/10.5114/biolsport.2025.151658","RegionNum":2,"RegionCategory":"医学","ArticlePicture":[],"TitleCN":null,"AbstractTextCN":null,"PMCID":null,"EPubDate":"2025/10/1 0:00:00","PubModel":"eCollection","JCR":"Q1","JCRName":"SPORT SCIENCES","Score":null,"Total":0}
引用次数: 0

Abstract

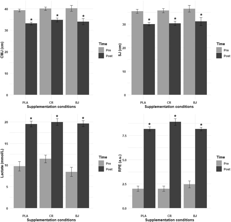
This study investigated the acute effects of beetroot juice (BJ) and creatine (CR) supplementation on maximal strength, heart rate variability (HRV), and muscle oxygenation during incremental resistance exercise. Eleven physically active males (age = 21.36 ± 1.8 years) completed a randomized, double-blind, placebocontrolled, crossover protocol. Participants ingested either 0.3 g · kg-1 of CR or 15 g of beetroot powder (7.26 mmol · L-1 or 450 mg of nitrate) two hours before each session. The three testing sessions included bench press and back squat at 60%, 70%, and 80% of one-repetition maximum (1-RM) until failure. Repetition-tofailure, peak velocity, power, Heart rate, and muscle oxygen saturation (SmO2) were recorded during both exercises. HRV indices, lower-limb strength performance, blood lactate, and rating of perceived exertion (RPE) were measured pre- and post-session. As intensity increased, maximum repetitions decreased significantly in all exercises and conditions (p < 0.05). Both BJ and CR improved peak velocity compared to placebo (p < 0.05). BJ led to lower peak heart rates at all intensities during BP and only at 80% of 1-RM during BS and higher SmO2 across all intensities (p < 0.05) compared to PLA and CR. From pre- to post-session, lactate and RPE increased (p < 0.05) and lower -limb strength performance and HRV declined (p < 0.05), in all conditions, with no significant differences between BJ and CR. Compared to PLA, BJ showed significantly higher Root mean square of successive differences (RMSSD), Standard deviation of normal-to-normal intervals (SDNN), and high frequency (HF) power at both pre- and post-session (p < 0.05). CR supplementation resulted in significantly higher RMSSD values compared to PLA at both pre- and post-session time points (p < 0.001), while HF was significantly elevated only at post-session (p = 0.018), and SDNN showed no significant differences at either time point. Additionally, BJ revealed significantly higher RMSSD than CR at pre-session (p = 0.041). In conclusion, both BJ and CR significantly enhanced peak velocity during incremental resistance exercises compared to placebo. However, BJ provided additional benefits in muscle oxygenation and autonomic nervous system regulation, particularly during high-intensity efforts.

Abstract Image

Abstract Image

Abstract Image

在增量阻力运动中,甜菜根汁与补充肌酸对最大力量、自主调节和肌肉氧合的急性影响。
本研究探讨了在增量阻力运动中,补充甜菜根汁(BJ)和肌酸(CR)对最大力量、心率变异性(HRV)和肌肉氧合的急性影响。11名身体活跃的男性(年龄= 21.36±1.8岁)完成了随机、双盲、安慰剂对照、交叉试验。参与者在每次会议前两小时摄入0.3 g·kg-1 CR或15 g甜菜根粉(7.26 mmol·L-1或450 mg硝酸盐)。三个测试阶段包括卧推和后蹲,在60%,70%和80%的单次重复最大值(1-RM),直到失败。在两种运动过程中记录重复失败次数、峰值速度、功率、心率和肌肉氧饱和度(SmO2)。在训练前和训练后分别测量HRV指数、下肢力量表现、血乳酸和感知运动等级(RPE)。随着运动强度的增加,各运动条件下最大重复次数均显著降低(p < 0.05)。与安慰剂相比,BJ和CR均提高了峰值速度(p < 0.05)。BJ导致低峰值心率在英国石油公司和所有强度只有80%的期间1-RM BS和更高的SmO2所有强度(p < 0.05)相比,解放军和CR。从pre -热身,乳酸和RPE增加(p < 0.05),降低肢体强度性能和HRV下降(p < 0.05),在所有情况下,BJ之间没有显著差异和CR。解放军相比,BJ连续显示更高的均方根的差异(RMSSD),治疗前后正态间隔(SDNN)和高频功率(HF)的标准差(p < 0.05)。在治疗前和治疗后的时间点,与PLA相比,补充CR导致RMSSD值显著升高(p < 0.001),而HF仅在治疗后显著升高(p = 0.018),而SDNN在两个时间点均无显著差异。此外,BJ在会前显示RMSSD显著高于CR (p = 0.041)。总之,与安慰剂相比,BJ和CR在增量阻力运动中显著提高了峰值速度。然而,BJ在肌肉氧合和自主神经系统调节方面提供了额外的好处,特别是在高强度运动中。
本文章由计算机程序翻译,如有差异,请以英文原文为准。
求助全文
约1分钟内获得全文 求助全文
来源期刊
Biology of Sport
Biology of Sport 生物-运动科学
CiteScore
8.20
自引率
12.50%
发文量
113
审稿时长
>12 weeks
期刊介绍: Biology of Sport is the official journal of the Institute of Sport in Warsaw, Poland, published since 1984. Biology of Sport is an international scientific peer-reviewed journal, published quarterly in both paper and electronic format. The journal publishes articles concerning basic and applied sciences in sport: sports and exercise physiology, sports immunology and medicine, sports genetics, training and testing, pharmacology, as well as in other biological aspects related to sport. Priority is given to inter-disciplinary papers.
×
引用
GB/T 7714-2015
复制
MLA
复制
APA
复制
导出至
BibTeX EndNote RefMan NoteFirst NoteExpress
×
提示
您的信息不完整,为了账户安全,请先补充。
现在去补充
×
提示
您因"违规操作"
具体请查看互助需知
我知道了
×
提示
确定
请完成安全验证×
copy
已复制链接
快去分享给好友吧!
我知道了
右上角分享
点击右上角分享
0
联系我们:info@booksci.cn Book学术提供免费学术资源搜索服务,方便国内外学者检索中英文文献。致力于提供最便捷和优质的服务体验。 Copyright © 2023 布克学术 All rights reserved.
京ICP备2023020795号-1
ghs 京公网安备 11010802042870号
Book学术文献互助
Book学术文献互助群
群 号:604180095
Book学术官方微信