Alignment across taxonomic levels in strategies rather than in traits along elevational gradients.

IF 3.7 1区 生物学 Q2 EVOLUTIONARY BIOLOGY
Evolution Letters Pub Date : 2025-08-26 eCollection Date: 2025-10-01 DOI:10.1093/evlett/qraf023
Aaditya Narasimhan, Yvonne Willi
{"title":"Alignment across taxonomic levels in strategies rather than in traits along elevational gradients.","authors":"Aaditya Narasimhan, Yvonne Willi","doi":"10.1093/evlett/qraf023","DOIUrl":null,"url":null,"abstract":"<p><p>Trait variation along environmental gradients can indicate the different strategies that organisms have evolved in response to environmental heterogeneity. So far, many inferences on trait-environment associations come from global studies performed at high taxonomic levels, and their transferability to lower evolutionary and spatial scales is unclear. Here, we tested for alignment in trait-environment relationships in 13 life-history and physiological traits among and within 7 Brassicaceae species over elevational gradients. Species and source populations originated from different elevations in the central Alps, and plants were raised under benign and warm conditions in greenhouse chambers. Some traits showed alignment in both within- and among-species trait clines, with even higher alignment on the level of trait complexes. There was high parallelism in resource allocation to leaves, particularly of carbon, with allocation decreasing with elevation. Size and biomass also decreased with elevation at the species and within-species level, respectively. Overall, the concordance in resource investment strategies when coping with lower as compared to higher elevations across evolutionary and spatial scales highlights their general role in adaptation to elevation.</p>","PeriodicalId":48629,"journal":{"name":"Evolution Letters","volume":"9 5","pages":"567-575"},"PeriodicalIF":3.7000,"publicationDate":"2025-08-26","publicationTypes":"Journal Article","fieldsOfStudy":null,"isOpenAccess":false,"openAccessPdf":"https://www.ncbi.nlm.nih.gov/pmc/articles/PMC12492251/pdf/","citationCount":"0","resultStr":null,"platform":"Semanticscholar","paperid":null,"PeriodicalName":"Evolution Letters","FirstCategoryId":"99","ListUrlMain":"https://doi.org/10.1093/evlett/qraf023","RegionNum":1,"RegionCategory":"生物学","ArticlePicture":[],"TitleCN":null,"AbstractTextCN":null,"PMCID":null,"EPubDate":"2025/10/1 0:00:00","PubModel":"eCollection","JCR":"Q2","JCRName":"EVOLUTIONARY BIOLOGY","Score":null,"Total":0}
引用次数: 0

Abstract

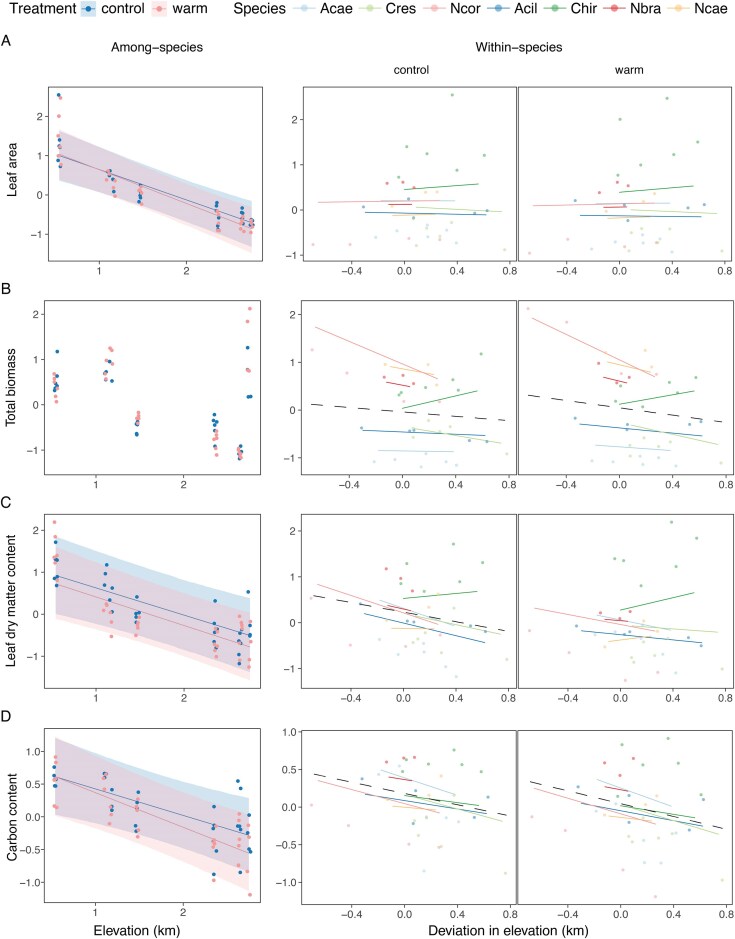
Trait variation along environmental gradients can indicate the different strategies that organisms have evolved in response to environmental heterogeneity. So far, many inferences on trait-environment associations come from global studies performed at high taxonomic levels, and their transferability to lower evolutionary and spatial scales is unclear. Here, we tested for alignment in trait-environment relationships in 13 life-history and physiological traits among and within 7 Brassicaceae species over elevational gradients. Species and source populations originated from different elevations in the central Alps, and plants were raised under benign and warm conditions in greenhouse chambers. Some traits showed alignment in both within- and among-species trait clines, with even higher alignment on the level of trait complexes. There was high parallelism in resource allocation to leaves, particularly of carbon, with allocation decreasing with elevation. Size and biomass also decreased with elevation at the species and within-species level, respectively. Overall, the concordance in resource investment strategies when coping with lower as compared to higher elevations across evolutionary and spatial scales highlights their general role in adaptation to elevation.

Abstract Image

Abstract Image

Abstract Image

跨分类水平的策略比对,而不是沿海拔梯度的性状比对。
性状在环境梯度上的变化可以表明生物为应对环境异质性而进化的不同策略。到目前为止,许多性状-环境关联的推断来自于在高分类学水平上进行的全球研究,它们在较低进化和空间尺度上的可转移性尚不清楚。本文对7种芸苔科植物的13个生活史和生理性状在海拔梯度上的性状-环境关系进行了一致性检验。物种和源种群来自阿尔卑斯中部不同的海拔高度,植物在温和和温暖的温室条件下生长。一些性状在种内和种间性状谱上均表现出一致性,在性状复合体水平上表现出更高的一致性。叶片资源分配具有高度的平行性,尤其是碳资源分配随海拔升高而降低。在种内和种内水平上,大小和生物量均随海拔升高而减小。总体而言,在进化和空间尺度上,资源投资策略在应对低海拔和高海拔时的一致性突出了它们在适应海拔方面的普遍作用。
本文章由计算机程序翻译,如有差异,请以英文原文为准。
求助全文
约1分钟内获得全文 求助全文
来源期刊
Evolution Letters
Evolution Letters EVOLUTIONARY BIOLOGY-
CiteScore
13.00
自引率
2.00%
发文量
35
审稿时长
10 weeks
期刊介绍: Evolution Letters publishes cutting-edge new research in all areas of Evolutionary Biology. Available exclusively online, and entirely open access, Evolution Letters consists of Letters - original pieces of research which form the bulk of papers - and Comments and Opinion - a forum for highlighting timely new research ideas for the evolutionary community.
×
引用
GB/T 7714-2015
复制
MLA
复制
APA
复制
导出至
BibTeX EndNote RefMan NoteFirst NoteExpress
×
提示
您的信息不完整,为了账户安全,请先补充。
现在去补充
×
提示
您因"违规操作"
具体请查看互助需知
我知道了
×
提示
确定
请完成安全验证×
copy
已复制链接
快去分享给好友吧!
我知道了
右上角分享
点击右上角分享
0
联系我们:info@booksci.cn Book学术提供免费学术资源搜索服务,方便国内外学者检索中英文文献。致力于提供最便捷和优质的服务体验。 Copyright © 2023 布克学术 All rights reserved.
京ICP备2023020795号-1
ghs 京公网安备 11010802042870号
Book学术文献互助
Book学术文献互助群
群 号:604180095
Book学术官方微信