Nomogram for predicting axillary pathologic complete response after neoadjuvant systemic therapy in HER2 positive and triple negative breast cancer.

IF 3.2 3区 医学 Q2 ONCOLOGY
Journal of Cancer Pub Date : 2025-09-22 eCollection Date: 2025-01-01 DOI:10.7150/jca.118908
Zhendong Shi, Hanyan Zhu, Xiaoxing Bian, Xiaomin Qian, Jie Meng, Jin Zhang
{"title":"Nomogram for predicting axillary pathologic complete response after neoadjuvant systemic therapy in HER2 positive and triple negative breast cancer.","authors":"Zhendong Shi, Hanyan Zhu, Xiaoxing Bian, Xiaomin Qian, Jie Meng, Jin Zhang","doi":"10.7150/jca.118908","DOIUrl":null,"url":null,"abstract":"<p><p><b>Purpose:</b> With the continuous improvement in the efficacy of neoadjuvant therapy (NAT), a significant proportion of breast cancer patients initially diagnosed with pathologically confirmed axillary lymph node metastasis (pN+) may achieve ypN0 status (no residual nodal metastasis) following NAT. This study aims to develop a predictive model for estimating the probability of achieving ypN0 status after NAT, thereby assisting surgeons in making optimal decisions regarding axillary management strategies. <b>Methods:</b> This retrospective study enrolled 671 patients diagnosed with pN+ at Tianjin Medical University Cancer Institute and Hospital between December 2018 and December 2022, all of whom completed NAT followed by surgical intervention. The cohort comprised 428 HER2-positive and 243 TNBC patients. Clinicopathological and ultrasound imaging data were systematically collected. Patients were stratified into training and validation sets at a 7:3 ratio based on admission dates. Univariate analysis was initially performed on the training set to identify potential factors associated with achieving ypN0 status post-NAT. Variables demonstrating statistical significance were subsequently incorporated into a multivariate logistic regression analysis to determine independent predictors. A predictive nomogram was then constructed using these independent factors via R software for visual interpretation of ypN0 probability. The predictive performance of the model was ultimately evaluated by generating receiver operating characteristic (ROC) curves to assess discriminative ability and calibration curves to quantify prediction accuracy, with further validation performed using the independent validation cohort. <b>Results:</b> In HER2 positive breast cancer patients, those exhibiting histological grade III, HER2 IHC 3+ expression, absence of lymphovascular invasion, clinical N1 stage, prominent and hypervascular tumor CDFI signal pre-NAT, and achievement of breast pathological complete response (bpCR) following NAT were significantly more likely to achieve ypN0 status. Conversely, among TNBC patients, independent predictors of post-NAT ypN0 achievement included histological grade III, taxane-platinum combination regimens, bpCR, dot-linear signals in axillary lymph nodes on post-NAT ultrasound, and minimal transverse diameter of node on final post-NAT ultrasound evaluation. <b>Conclusions:</b> This study established distinct predictive models for HER2-positive and TNBC cohorts with initial pN+ status to estimate the probability of achieving ypN0 following NAT. Both models demonstrated robust predictive performance through rigorous validation, providing clinicians with quantitative tools to optimize axillary management strategies and facilitate precision-based individualized treatment planning.</p>","PeriodicalId":15183,"journal":{"name":"Journal of Cancer","volume":"16 13","pages":"3991-4007"},"PeriodicalIF":3.2000,"publicationDate":"2025-09-22","publicationTypes":"Journal Article","fieldsOfStudy":null,"isOpenAccess":false,"openAccessPdf":"https://www.ncbi.nlm.nih.gov/pmc/articles/PMC12491205/pdf/","citationCount":"0","resultStr":null,"platform":"Semanticscholar","paperid":null,"PeriodicalName":"Journal of Cancer","FirstCategoryId":"3","ListUrlMain":"https://doi.org/10.7150/jca.118908","RegionNum":3,"RegionCategory":"医学","ArticlePicture":[],"TitleCN":null,"AbstractTextCN":null,"PMCID":null,"EPubDate":"2025/1/1 0:00:00","PubModel":"eCollection","JCR":"Q2","JCRName":"ONCOLOGY","Score":null,"Total":0}
引用次数: 0

Abstract

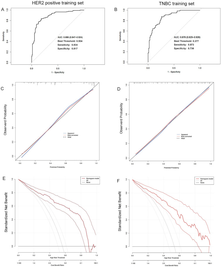
Purpose: With the continuous improvement in the efficacy of neoadjuvant therapy (NAT), a significant proportion of breast cancer patients initially diagnosed with pathologically confirmed axillary lymph node metastasis (pN+) may achieve ypN0 status (no residual nodal metastasis) following NAT. This study aims to develop a predictive model for estimating the probability of achieving ypN0 status after NAT, thereby assisting surgeons in making optimal decisions regarding axillary management strategies. Methods: This retrospective study enrolled 671 patients diagnosed with pN+ at Tianjin Medical University Cancer Institute and Hospital between December 2018 and December 2022, all of whom completed NAT followed by surgical intervention. The cohort comprised 428 HER2-positive and 243 TNBC patients. Clinicopathological and ultrasound imaging data were systematically collected. Patients were stratified into training and validation sets at a 7:3 ratio based on admission dates. Univariate analysis was initially performed on the training set to identify potential factors associated with achieving ypN0 status post-NAT. Variables demonstrating statistical significance were subsequently incorporated into a multivariate logistic regression analysis to determine independent predictors. A predictive nomogram was then constructed using these independent factors via R software for visual interpretation of ypN0 probability. The predictive performance of the model was ultimately evaluated by generating receiver operating characteristic (ROC) curves to assess discriminative ability and calibration curves to quantify prediction accuracy, with further validation performed using the independent validation cohort. Results: In HER2 positive breast cancer patients, those exhibiting histological grade III, HER2 IHC 3+ expression, absence of lymphovascular invasion, clinical N1 stage, prominent and hypervascular tumor CDFI signal pre-NAT, and achievement of breast pathological complete response (bpCR) following NAT were significantly more likely to achieve ypN0 status. Conversely, among TNBC patients, independent predictors of post-NAT ypN0 achievement included histological grade III, taxane-platinum combination regimens, bpCR, dot-linear signals in axillary lymph nodes on post-NAT ultrasound, and minimal transverse diameter of node on final post-NAT ultrasound evaluation. Conclusions: This study established distinct predictive models for HER2-positive and TNBC cohorts with initial pN+ status to estimate the probability of achieving ypN0 following NAT. Both models demonstrated robust predictive performance through rigorous validation, providing clinicians with quantitative tools to optimize axillary management strategies and facilitate precision-based individualized treatment planning.

Abstract Image

Abstract Image

Abstract Image

预测HER2阳性和三阴性乳腺癌新辅助全身治疗后腋窝病理完全缓解的Nomogram。
目的:随着新辅助治疗(NAT)疗效的不断提高,有相当一部分最初诊断为病理证实腋窝淋巴结转移(pN+)的乳腺癌患者在NAT后可能达到ypN0状态(无残留淋巴结转移)。本研究旨在建立一个预测模型来估计NAT后达到ypN0状态的概率,从而帮助外科医生对腋窝管理策略做出最佳决策。方法:本回顾性研究纳入了2018年12月至2022年12月在天津医科大学肿瘤研究所和医院诊断为pN+的671例患者,所有患者均完成了NAT后手术干预。该队列包括428例her2阳性患者和243例TNBC患者。系统收集临床病理及超声影像资料。患者根据入院日期按7:3的比例分为训练组和验证组。最初对训练集进行单因素分析,以确定与nat后实现ypN0状态相关的潜在因素。具有统计学意义的变量随后被纳入多元逻辑回归分析,以确定独立的预测因子。然后通过R软件利用这些独立因素构建预测nomogram,可视化解释ypN0概率。最终通过生成受试者工作特征(ROC)曲线来评估模型的预测能力,并通过校准曲线来量化预测准确性,并使用独立验证队列进行进一步验证。结果:在HER2阳性乳腺癌患者中,组织学ⅲ级、HER2 IHC 3+表达、无淋巴血管浸润、临床N1分期、NAT前肿瘤CDFI信号突出且高血管、NAT后乳腺病理完全缓解(bpCR)达到ypN0状态的可能性显著增加。相反,在TNBC患者中,nat后ypN0成就的独立预测因子包括组织学分级III、紫杉烷-铂联合方案、bpCR、nat后超声腋下淋巴结点线形信号、nat后超声最终评价淋巴结最小横径。结论:本研究为her2阳性和初始pN+状态的TNBC队列建立了不同的预测模型,以估计NAT后实现ypN0的概率。通过严格的验证,两种模型都显示出稳健的预测性能,为临床医生提供了优化腋窝管理策略的定量工具,并促进基于精确的个性化治疗计划。
本文章由计算机程序翻译,如有差异,请以英文原文为准。
求助全文
约1分钟内获得全文 求助全文
来源期刊
Journal of Cancer
Journal of Cancer ONCOLOGY-
CiteScore
8.10
自引率
2.60%
发文量
333
审稿时长
12 weeks
期刊介绍: Journal of Cancer is an open access, peer-reviewed journal with broad scope covering all areas of cancer research, especially novel concepts, new methods, new regimens, new therapeutic agents, and alternative approaches for early detection and intervention of cancer. The Journal is supported by an international editorial board consisting of a distinguished team of cancer researchers. Journal of Cancer aims at rapid publication of high quality results in cancer research while maintaining rigorous peer-review process.
×
引用
GB/T 7714-2015
复制
MLA
复制
APA
复制
导出至
BibTeX EndNote RefMan NoteFirst NoteExpress
×
提示
您的信息不完整,为了账户安全,请先补充。
现在去补充
×
提示
您因"违规操作"
具体请查看互助需知
我知道了
×
提示
确定
请完成安全验证×
copy
已复制链接
快去分享给好友吧!
我知道了
右上角分享
点击右上角分享
0
联系我们:info@booksci.cn Book学术提供免费学术资源搜索服务,方便国内外学者检索中英文文献。致力于提供最便捷和优质的服务体验。 Copyright © 2023 布克学术 All rights reserved.
京ICP备2023020795号-1
ghs 京公网安备 11010802042870号
Book学术文献互助
Book学术文献互助群
群 号:604180095
Book学术官方微信