Tidal volume and mortality during extracorporeal membrane oxygenation for acute respiratory distress syndrome: a multicenter observational cohort study.

IF 5.5 1区 医学 Q1 CRITICAL CARE MEDICINE
Torben M Rixecker, Jeannine L Kühnle, Johannes Herrmann, Christopher Lotz, Christian Kühn, Frederik Seiler, Carlos Metz, Armin Kalenka, Oxana Mazuru, Kai Borchardt, Ralf M Muellenbach, Robert Bals, Matthieu Schmidt, Patrick Meybohm, Vitalie Mazuru, Philipp M Lepper
{"title":"Tidal volume and mortality during extracorporeal membrane oxygenation for acute respiratory distress syndrome: a multicenter observational cohort study.","authors":"Torben M Rixecker, Jeannine L Kühnle, Johannes Herrmann, Christopher Lotz, Christian Kühn, Frederik Seiler, Carlos Metz, Armin Kalenka, Oxana Mazuru, Kai Borchardt, Ralf M Muellenbach, Robert Bals, Matthieu Schmidt, Patrick Meybohm, Vitalie Mazuru, Philipp M Lepper","doi":"10.1186/s13613-025-01538-9","DOIUrl":null,"url":null,"abstract":"<p><strong>Background: </strong>Approximately half of the patients with acute respiratory distress syndrome (ARDS) receiving extracorporeal membrane oxygenation (ECMO) remain ECMO-dependent beyond 14 days after ECMO initiation. The identification of factors associated with mortality during an ECMO run may update prognostic assessment and focus clinical interventions.</p><p><strong>Methods: </strong>In this observational study, data from 1137 patients with COVID-19 ARDS receiving ECMO support in 29 German centers between January 1st 2020 and July 31st 2021 were analyzed. Multivariable stepwise logistic regression analyses were performed to build survival prediction models with day-by-day data during the first 14 days of an ECMO run. The primary endpoint was all-cause mortality in the intensive care unit.</p><p><strong>Results: </strong>Mortality in this cohort was high (75%). Patients who remained ECMO-dependent on day 14 of their ECMO run showed comparable mortality to all patients receiving ECMO support on day 1. Yet, factors associated with mortality changed during the first 14 days of ECMO support. On day 1 of ECMO support, only patient age and lactate remained in the final mortality prediction model. On day 14 of an ECMO run, tidal volume was independently associated with mortality (adjusted Odds Ratio 0.693 (95%CI 0.564-0.851), p < 0.001 for 1 mL/kg increase in tidal volume per predicted body weight). The adjusted mortality for patients with a tidal volume below 2 mL/kg on day 14 of their ECMO run was above 80% (lower limit of the 95%CI interval). Higher tidal volume was mainly based on higher respiratory system compliance. Yet, the benefit of higher compliance was not observed in some patients who were still ventilated with very low driving pressures despite remaining ECMO-dependent on day 14 of ECMO support.</p><p><strong>Conclusions: </strong>Mortality predictors change during the course of an ECMO run. In a cohort with high mortality, on day 14 of ECMO support for ARDS, tidal volume may be an independent predictor of mortality. Further analyses on ventilation strategies in patients who remain ECMO-dependent are needed.</p><p><strong>Trial registration number: </strong>DRKS00022964, retrospectively registered.</p>","PeriodicalId":7966,"journal":{"name":"Annals of Intensive Care","volume":"15 1","pages":"151"},"PeriodicalIF":5.5000,"publicationDate":"2025-10-06","publicationTypes":"Journal Article","fieldsOfStudy":null,"isOpenAccess":false,"openAccessPdf":"https://www.ncbi.nlm.nih.gov/pmc/articles/PMC12500509/pdf/","citationCount":"0","resultStr":null,"platform":"Semanticscholar","paperid":null,"PeriodicalName":"Annals of Intensive Care","FirstCategoryId":"3","ListUrlMain":"https://doi.org/10.1186/s13613-025-01538-9","RegionNum":1,"RegionCategory":"医学","ArticlePicture":[],"TitleCN":null,"AbstractTextCN":null,"PMCID":null,"EPubDate":"","PubModel":"","JCR":"Q1","JCRName":"CRITICAL CARE MEDICINE","Score":null,"Total":0}
引用次数: 0

Abstract

Background: Approximately half of the patients with acute respiratory distress syndrome (ARDS) receiving extracorporeal membrane oxygenation (ECMO) remain ECMO-dependent beyond 14 days after ECMO initiation. The identification of factors associated with mortality during an ECMO run may update prognostic assessment and focus clinical interventions.

Methods: In this observational study, data from 1137 patients with COVID-19 ARDS receiving ECMO support in 29 German centers between January 1st 2020 and July 31st 2021 were analyzed. Multivariable stepwise logistic regression analyses were performed to build survival prediction models with day-by-day data during the first 14 days of an ECMO run. The primary endpoint was all-cause mortality in the intensive care unit.

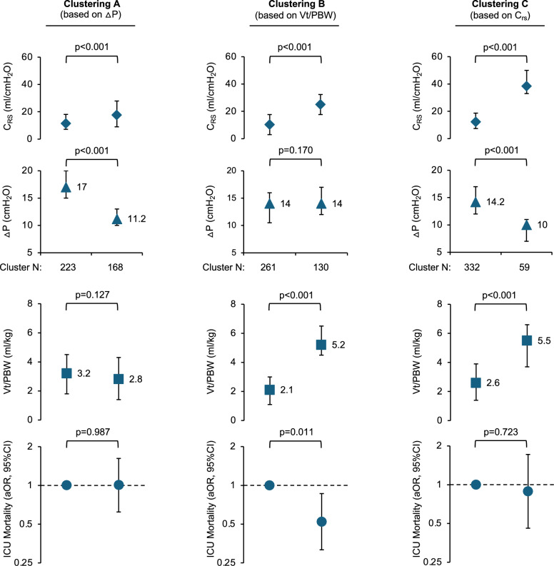
Results: Mortality in this cohort was high (75%). Patients who remained ECMO-dependent on day 14 of their ECMO run showed comparable mortality to all patients receiving ECMO support on day 1. Yet, factors associated with mortality changed during the first 14 days of ECMO support. On day 1 of ECMO support, only patient age and lactate remained in the final mortality prediction model. On day 14 of an ECMO run, tidal volume was independently associated with mortality (adjusted Odds Ratio 0.693 (95%CI 0.564-0.851), p < 0.001 for 1 mL/kg increase in tidal volume per predicted body weight). The adjusted mortality for patients with a tidal volume below 2 mL/kg on day 14 of their ECMO run was above 80% (lower limit of the 95%CI interval). Higher tidal volume was mainly based on higher respiratory system compliance. Yet, the benefit of higher compliance was not observed in some patients who were still ventilated with very low driving pressures despite remaining ECMO-dependent on day 14 of ECMO support.

Conclusions: Mortality predictors change during the course of an ECMO run. In a cohort with high mortality, on day 14 of ECMO support for ARDS, tidal volume may be an independent predictor of mortality. Further analyses on ventilation strategies in patients who remain ECMO-dependent are needed.

Trial registration number: DRKS00022964, retrospectively registered.

Abstract Image

Abstract Image

Abstract Image

急性呼吸窘迫综合征体外膜氧合期间的潮气量和死亡率:一项多中心观察队列研究。
背景:大约一半接受体外膜氧合(ECMO)的急性呼吸窘迫综合征(ARDS)患者在ECMO开始后的14天内仍然依赖于ECMO。确定与ECMO运行期间死亡率相关的因素可以更新预后评估和重点临床干预。方法:在这项观察性研究中,分析了2020年1月1日至2021年7月31日在德国29个中心接受ECMO支持的1137例COVID-19 ARDS患者的数据。采用多变量逐步逻辑回归分析,利用ECMO运行前14天的逐日数据建立生存预测模型。主要终点是重症监护病房的全因死亡率。结果:该队列的死亡率很高(75%)。在ECMO运行的第14天仍然依赖ECMO的患者与在第1天接受ECMO支持的所有患者的死亡率相当。然而,与死亡率相关的因素在ECMO支持的前14天发生了变化。在ECMO支持的第1天,最终死亡率预测模型中仅保留患者年龄和乳酸水平。在ECMO运行的第14天,潮汐量与死亡率独立相关(校正优势比0.693 (95%CI 0.564-0.851), p结论:死亡率预测因子在ECMO运行过程中发生变化。在一个死亡率高的队列中,在ARDS ECMO支持的第14天,潮气量可能是死亡率的独立预测因子。需要进一步分析仍依赖ecmo的患者的通气策略。试验注册号:DRKS00022964,回顾性注册。
本文章由计算机程序翻译,如有差异,请以英文原文为准。
求助全文
约1分钟内获得全文 求助全文
来源期刊
Annals of Intensive Care
Annals of Intensive Care CRITICAL CARE MEDICINE-
CiteScore
14.20
自引率
3.70%
发文量
107
审稿时长
13 weeks
期刊介绍: Annals of Intensive Care is an online peer-reviewed journal that publishes high-quality review articles and original research papers in the field of intensive care medicine. It targets critical care providers including attending physicians, fellows, residents, nurses, and physiotherapists, who aim to enhance their knowledge and provide optimal care for their patients. The journal's articles are included in various prestigious databases such as CAS, Current contents, DOAJ, Embase, Journal Citation Reports/Science Edition, OCLC, PubMed, PubMed Central, Science Citation Index Expanded, SCOPUS, and Summon by Serial Solutions.
×
引用
GB/T 7714-2015
复制
MLA
复制
APA
复制
导出至
BibTeX EndNote RefMan NoteFirst NoteExpress
×
提示
您的信息不完整,为了账户安全,请先补充。
现在去补充
×
提示
您因"违规操作"
具体请查看互助需知
我知道了
×
提示
确定
请完成安全验证×
copy
已复制链接
快去分享给好友吧!
我知道了
右上角分享
点击右上角分享
0
联系我们:info@booksci.cn Book学术提供免费学术资源搜索服务,方便国内外学者检索中英文文献。致力于提供最便捷和优质的服务体验。 Copyright © 2023 布克学术 All rights reserved.
京ICP备2023020795号-1
ghs 京公网安备 11010802042870号
Book学术文献互助
Book学术文献互助群
群 号:604180095
Book学术官方微信