Development of a Cyclic Voltammetric Method for the Determination of Cobalt(II) Ions Using o-Nitrosophenol.

IF 1.7 4区 化学 Q3 CHEMISTRY, ANALYTICAL
International Journal of Analytical Chemistry Pub Date : 2025-09-19 eCollection Date: 2025-01-01 DOI:10.1155/ianc/6675527
Gulnora Karabayeva, Nigora Qutlimurotova, Zukhra Yakhshieva, Rukhiya Qutlimurotova, Nargiza Atakulova, Jasur Tursunqulov
{"title":"Development of a Cyclic Voltammetric Method for the Determination of Cobalt(II) Ions Using o-Nitrosophenol.","authors":"Gulnora Karabayeva, Nigora Qutlimurotova, Zukhra Yakhshieva, Rukhiya Qutlimurotova, Nargiza Atakulova, Jasur Tursunqulov","doi":"10.1155/ianc/6675527","DOIUrl":null,"url":null,"abstract":"<p><p>The demand for cobalt-based alloys has been steadily increasing due to advancements in industrial and cutting-edge technologies, particularly in metallurgy, where cobalt plays a crucial role in high-performance superalloys, battery production, and corrosion-resistant materials. Consequently, the concentration of cobalt ions in wastewater and environmental samples has exceeded permissible levels, raising significant ecological concerns. This study presents the development of an efficient method for the determination of cobalt(II) ions using a silver/mercury film working electrode (Hg(Ag)FE) modified with the organic dye <i>ortho-nitrosophenol</i> (o-NF) through cyclic voltammetry (CV). Optimization of the experimental conditions revealed that an acetate buffer (0.1 M, pH 5.1) served as the supporting electrolyte, with an accumulation time of 10 s and a concentration of 2.0 μM o-nitrosophenol. The preconcentration conditions were adjusted to enhance the sensitivity and selectivity for cobalt(II) ion detection. The method exhibited a linear relationship in the concentration range of 0.040-0.160 μM (<i>R</i> <sup>2</sup> = 0.9863), with a limit of detection (LOD) of 0.010 μM and a limit of quantification (LOQ) of 0.034 μM for Co(II) ions. The proposed method was successfully applied to the analysis of water samples from the Aydar-Arnasoy Reservoir, and the accuracy of the results was statistically validated using Student's <i>t</i>-test. These findings demonstrate the potential of the developed method as an effective tool for environmental monitoring and the determination of cobalt ions in ecological protection initiatives.</p>","PeriodicalId":13888,"journal":{"name":"International Journal of Analytical Chemistry","volume":"2025 ","pages":"6675527"},"PeriodicalIF":1.7000,"publicationDate":"2025-09-19","publicationTypes":"Journal Article","fieldsOfStudy":null,"isOpenAccess":false,"openAccessPdf":"https://www.ncbi.nlm.nih.gov/pmc/articles/PMC12474011/pdf/","citationCount":"0","resultStr":null,"platform":"Semanticscholar","paperid":null,"PeriodicalName":"International Journal of Analytical Chemistry","FirstCategoryId":"92","ListUrlMain":"https://doi.org/10.1155/ianc/6675527","RegionNum":4,"RegionCategory":"化学","ArticlePicture":[],"TitleCN":null,"AbstractTextCN":null,"PMCID":null,"EPubDate":"2025/1/1 0:00:00","PubModel":"eCollection","JCR":"Q3","JCRName":"CHEMISTRY, ANALYTICAL","Score":null,"Total":0}
引用次数: 0

Abstract

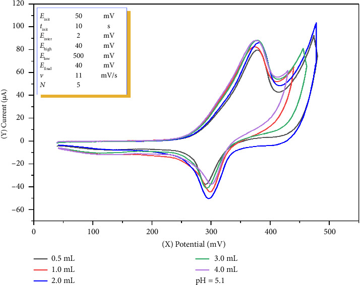
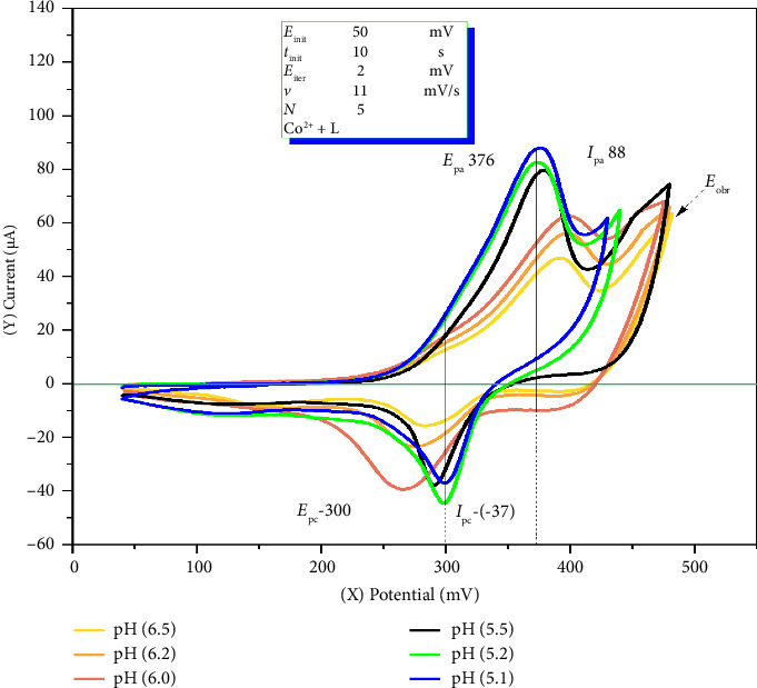
The demand for cobalt-based alloys has been steadily increasing due to advancements in industrial and cutting-edge technologies, particularly in metallurgy, where cobalt plays a crucial role in high-performance superalloys, battery production, and corrosion-resistant materials. Consequently, the concentration of cobalt ions in wastewater and environmental samples has exceeded permissible levels, raising significant ecological concerns. This study presents the development of an efficient method for the determination of cobalt(II) ions using a silver/mercury film working electrode (Hg(Ag)FE) modified with the organic dye ortho-nitrosophenol (o-NF) through cyclic voltammetry (CV). Optimization of the experimental conditions revealed that an acetate buffer (0.1 M, pH 5.1) served as the supporting electrolyte, with an accumulation time of 10 s and a concentration of 2.0 μM o-nitrosophenol. The preconcentration conditions were adjusted to enhance the sensitivity and selectivity for cobalt(II) ion detection. The method exhibited a linear relationship in the concentration range of 0.040-0.160 μM (R 2 = 0.9863), with a limit of detection (LOD) of 0.010 μM and a limit of quantification (LOQ) of 0.034 μM for Co(II) ions. The proposed method was successfully applied to the analysis of water samples from the Aydar-Arnasoy Reservoir, and the accuracy of the results was statistically validated using Student's t-test. These findings demonstrate the potential of the developed method as an effective tool for environmental monitoring and the determination of cobalt ions in ecological protection initiatives.

Abstract Image

Abstract Image

Abstract Image

邻亚硝基苯酚循环伏安法测定钴离子的研究。
由于工业和尖端技术的进步,特别是在冶金领域,钴在高性能高温合金、电池生产和耐腐蚀材料中起着至关重要的作用,对钴基合金的需求一直在稳步增长。因此,废水和环境样品中的钴离子浓度已经超过了允许的水平,引起了重大的生态问题。本研究提出了一种用有机染料邻亚硝基苯酚(o-NF)修饰银/汞膜工作电极(Hg(Ag)FE),通过循环伏安法(CV)测定钴(II)离子的有效方法。实验条件优化表明,支撑电解质为醋酸缓冲液(0.1 M, pH 5.1),积累时间为10 s,亚硝基苯酚浓度为2.0 μM。调整预富集条件,提高钴离子检测的灵敏度和选择性。该方法在0.040 ~ 0.160 μM的浓度范围内呈良好的线性关系(r2 = 0.9863), Co(II)离子的检出限为0.010 μM,定量限为0.034 μM。该方法成功地应用于Aydar-Arnasoy水库水样分析,并通过学生t检验对结果的准确性进行了统计验证。这些发现证明了该方法作为环境监测和测定生态保护倡议中钴离子的有效工具的潜力。
本文章由计算机程序翻译,如有差异,请以英文原文为准。
求助全文
约1分钟内获得全文 求助全文
来源期刊
CiteScore
3.10
自引率
5.60%
发文量
117
期刊介绍: International Journal of Analytical Chemistry publishes original research articles that report new experimental results and methods, especially in relation to important analytes, difficult matrices, and topical samples. Investigations may be fundamental, or else related to specific applications; examples being biological, environmental and food testing, and analysis in chemical synthesis and materials processing. As well as original research, the International Journal of Analytical Chemistry also publishes focused review articles that examine the state of the art, identify emerging trends, and suggest future directions for developing fields.
×
引用
GB/T 7714-2015
复制
MLA
复制
APA
复制
导出至
BibTeX EndNote RefMan NoteFirst NoteExpress
×
提示
您的信息不完整,为了账户安全,请先补充。
现在去补充
×
提示
您因"违规操作"
具体请查看互助需知
我知道了
×
提示
确定
请完成安全验证×
copy
已复制链接
快去分享给好友吧!
我知道了
右上角分享
点击右上角分享
0
联系我们:info@booksci.cn Book学术提供免费学术资源搜索服务,方便国内外学者检索中英文文献。致力于提供最便捷和优质的服务体验。 Copyright © 2023 布克学术 All rights reserved.
京ICP备2023020795号-1
ghs 京公网安备 11010802042870号
Book学术文献互助
Book学术文献互助群
群 号:604180095
Book学术官方微信