Modeling of Hot Jupiter HAT-P-32b and Transit Absorptions in Excited Hydrogen and Helium Atom Lines

IF 0.7 4区 物理与天体物理 Q3 ASTRONOMY & ASTROPHYSICS
S. S. Sharipov, I. F. Shaikhislamov, I. B. Miroshnichenko, M. S. Rumenskikh, A. V. Shepelin, M. P. Golubovsky
{"title":"Modeling of Hot Jupiter HAT-P-32b and Transit Absorptions in Excited Hydrogen and Helium Atom Lines","authors":"S. S. Sharipov,&nbsp;I. F. Shaikhislamov,&nbsp;I. B. Miroshnichenko,&nbsp;M. S. Rumenskikh,&nbsp;A. V. Shepelin,&nbsp;M. P. Golubovsky","doi":"10.1134/S106377292570204X","DOIUrl":null,"url":null,"abstract":"<p>The results of absorption modeling in the hydrogen Hα 6563 Å and helium 10830 Å lines for hot Jupiter HAT‑P-32b have been presented. The modeling has been performed using a three-dimensional hydrodynamic code together with the Monte Carlo model of Lyα photon transport. A wide range of stellar radiation and atmospheric parameters has been considered. It has been found that the measured spectrally resolved transit absorption in both lines can be well described by model calculations with the stellar radiation in the XUV range limited to 200 erg/cm<sup>2</sup>/s per 1 AU, the helium content in the planet’s atmosphere is He/H = 2/98, and metallicity is [Fe/H] = –1. It has been shown that absorption in the helium line occurs uniformly in a large volume of the outflowing atmosphere, and in the hydrogen line, it occurs in a layer of 1.5–2.75 planet radii.</p>","PeriodicalId":55440,"journal":{"name":"Astronomy Reports","volume":"69 8","pages":"708 - 721"},"PeriodicalIF":0.7000,"publicationDate":"2025-09-29","publicationTypes":"Journal Article","fieldsOfStudy":null,"isOpenAccess":false,"openAccessPdf":"","citationCount":"0","resultStr":null,"platform":"Semanticscholar","paperid":null,"PeriodicalName":"Astronomy Reports","FirstCategoryId":"101","ListUrlMain":"https://link.springer.com/article/10.1134/S106377292570204X","RegionNum":4,"RegionCategory":"物理与天体物理","ArticlePicture":[],"TitleCN":null,"AbstractTextCN":null,"PMCID":null,"EPubDate":"","PubModel":"","JCR":"Q3","JCRName":"ASTRONOMY & ASTROPHYSICS","Score":null,"Total":0}
引用次数: 0

Abstract

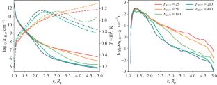
The results of absorption modeling in the hydrogen Hα 6563 Å and helium 10830 Å lines for hot Jupiter HAT‑P-32b have been presented. The modeling has been performed using a three-dimensional hydrodynamic code together with the Monte Carlo model of Lyα photon transport. A wide range of stellar radiation and atmospheric parameters has been considered. It has been found that the measured spectrally resolved transit absorption in both lines can be well described by model calculations with the stellar radiation in the XUV range limited to 200 erg/cm2/s per 1 AU, the helium content in the planet’s atmosphere is He/H = 2/98, and metallicity is [Fe/H] = –1. It has been shown that absorption in the helium line occurs uniformly in a large volume of the outflowing atmosphere, and in the hydrogen line, it occurs in a layer of 1.5–2.75 planet radii.

Abstract Image

热木星HAT-P-32b的建模和激发态氢氦原子谱线的过境吸收
介绍了热木星HAT‑P-32b的氢Hα 6563 Å和氦10830 Å谱线的吸收模拟结果。利用三维流体力学代码和Lyα光子输运的蒙特卡罗模型进行了建模。考虑了大范围的恒星辐射和大气参数。通过模型计算,可以很好地描述两条谱线的光谱分辨过境吸收,在XUV范围内的恒星辐射被限制在每1 AU 200 erg/cm2/s,行星大气中的氦含量为He/H = 2/98,金属丰度为[Fe/H] = -1。已经证明,氦谱线的吸收均匀地发生在大量流出的大气中,而氢谱线的吸收则发生在1.5-2.75行星半径的层内。
本文章由计算机程序翻译,如有差异,请以英文原文为准。
求助全文
约1分钟内获得全文 求助全文
来源期刊
Astronomy Reports
Astronomy Reports 地学天文-天文与天体物理
CiteScore
1.40
自引率
20.00%
发文量
57
审稿时长
6-12 weeks
期刊介绍: Astronomy Reports is an international peer reviewed journal that publishes original papers on astronomical topics, including theoretical and observational astrophysics, physics of the Sun, planetary astrophysics, radio astronomy, stellar astronomy, celestial mechanics, and astronomy methods and instrumentation.
×
引用
GB/T 7714-2015
复制
MLA
复制
APA
复制
导出至
BibTeX EndNote RefMan NoteFirst NoteExpress
×
提示
您的信息不完整,为了账户安全,请先补充。
现在去补充
×
提示
您因"违规操作"
具体请查看互助需知
我知道了
×
提示
确定
请完成安全验证×
copy
已复制链接
快去分享给好友吧!
我知道了
右上角分享
点击右上角分享
0
联系我们:info@booksci.cn Book学术提供免费学术资源搜索服务,方便国内外学者检索中英文文献。致力于提供最便捷和优质的服务体验。 Copyright © 2023 布克学术 All rights reserved.
京ICP备2023020795号-1
ghs 京公网安备 11010802042870号
Book学术文献互助
Book学术文献互助群
群 号:604180095
Book学术官方微信