Epigenetic signatures on plasma cell-free DNA to detect kidney allograft rejection in a non-invasive way: development of a 10-plex digital PCR assay.

IF 11.5 2区 医学 Q1 MEDICINE, RESEARCH & EXPERIMENTAL
Yoan Velut, Geoffroy Poulet, Thomas Bersez, Pauline Boyer, Coraline Maujean, Stéphanie Gnanalingam, Camille Moniot, Jana Heneine, Dany Anglicheau, Marion Rabant, Renaud Snanoudj, Vincent Vuiblet, Gabriel Choukroun, Tristan de Nattes, François Audenet, Bastien Parier, Sophie Ferlicot, Virginie Verkarre, David Buob, Pierre Galichon
{"title":"Epigenetic signatures on plasma cell-free DNA to detect kidney allograft rejection in a non-invasive way: development of a 10-plex digital PCR assay.","authors":"Yoan Velut, Geoffroy Poulet, Thomas Bersez, Pauline Boyer, Coraline Maujean, Stéphanie Gnanalingam, Camille Moniot, Jana Heneine, Dany Anglicheau, Marion Rabant, Renaud Snanoudj, Vincent Vuiblet, Gabriel Choukroun, Tristan de Nattes, François Audenet, Bastien Parier, Sophie Ferlicot, Virginie Verkarre, David Buob, Pierre Galichon","doi":"10.1186/s40364-025-00834-7","DOIUrl":null,"url":null,"abstract":"<p><p>The standard of care for the follow-up of kidney allograft recipients combines non-invasive but non-specific biomarkers and kidney biopsies for the gold standard histology-based diagnosis, limited by the sampling bias, haemorrhagic risk, and low cost-effectiveness. We hypothesized that a targeted epigenetic analysis of cell-free DNA (cfDNA) would combine non-invasiveness and specificity for the diagnosis of kidney allograft rejection. We developed an in silico pipeline to identify 9 specific methylation signatures of epithelial or endothelial cell types in glomerular and tubular kidney compartments. Methylation-specific digital Polymerase Chain Reaction (dPCR) were designed and validated for these markers and combined in a 10-plex dPCR. In a retrospective cohort of 170 plasma cfDNA from adult kidney transplant recipients, we evaluated the diagnostic properties of our biomarkers for predicting rejection, evaluated on solid biopsy according to Banff 2022 classification. Combining the dedicated biomarkers with standard-of-care blood tests (donor-specific antibody (DSA), estimated glomerular filtration rate (eGFR)) produced a prediction model with an Area under the Curve (AUC) for biopsy-proven kidney transplant rejection vs. no rejection greater than with DSA and eGFR alone (AUC = of 0.884 vs. 0.776, p = 0.0005). In an alternative model for the prediction of any graft lesion of Banff classification vs. pristine biopsies (all Banff score = 0) epigenetic kidney biomarkers outperformed DSA (AUC = 0.754 vs. 0.596, p = 0.004). Thus, epigenetic signatures derived from the combination of kidney cell type specific methylation marker of cfDNA constitute a promising non-invasive diagnostic and theragnostic tool for kidney transplant patients.</p>","PeriodicalId":54225,"journal":{"name":"Biomarker Research","volume":"13 1","pages":"118"},"PeriodicalIF":11.5000,"publicationDate":"2025-09-26","publicationTypes":"Journal Article","fieldsOfStudy":null,"isOpenAccess":false,"openAccessPdf":"https://www.ncbi.nlm.nih.gov/pmc/articles/PMC12465476/pdf/","citationCount":"0","resultStr":null,"platform":"Semanticscholar","paperid":null,"PeriodicalName":"Biomarker Research","FirstCategoryId":"3","ListUrlMain":"https://doi.org/10.1186/s40364-025-00834-7","RegionNum":2,"RegionCategory":"医学","ArticlePicture":[],"TitleCN":null,"AbstractTextCN":null,"PMCID":null,"EPubDate":"","PubModel":"","JCR":"Q1","JCRName":"MEDICINE, RESEARCH & EXPERIMENTAL","Score":null,"Total":0}
引用次数: 0

Abstract

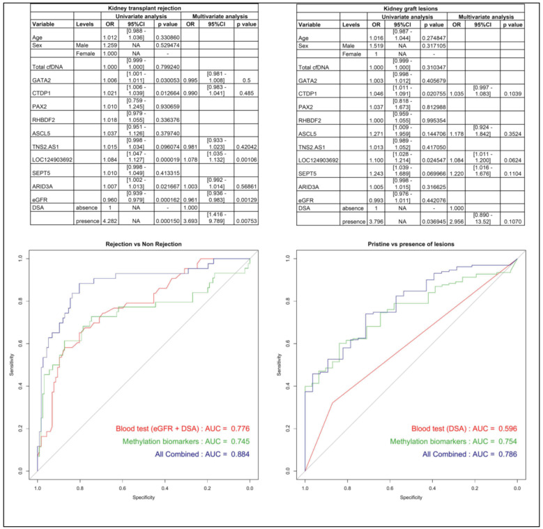
The standard of care for the follow-up of kidney allograft recipients combines non-invasive but non-specific biomarkers and kidney biopsies for the gold standard histology-based diagnosis, limited by the sampling bias, haemorrhagic risk, and low cost-effectiveness. We hypothesized that a targeted epigenetic analysis of cell-free DNA (cfDNA) would combine non-invasiveness and specificity for the diagnosis of kidney allograft rejection. We developed an in silico pipeline to identify 9 specific methylation signatures of epithelial or endothelial cell types in glomerular and tubular kidney compartments. Methylation-specific digital Polymerase Chain Reaction (dPCR) were designed and validated for these markers and combined in a 10-plex dPCR. In a retrospective cohort of 170 plasma cfDNA from adult kidney transplant recipients, we evaluated the diagnostic properties of our biomarkers for predicting rejection, evaluated on solid biopsy according to Banff 2022 classification. Combining the dedicated biomarkers with standard-of-care blood tests (donor-specific antibody (DSA), estimated glomerular filtration rate (eGFR)) produced a prediction model with an Area under the Curve (AUC) for biopsy-proven kidney transplant rejection vs. no rejection greater than with DSA and eGFR alone (AUC = of 0.884 vs. 0.776, p = 0.0005). In an alternative model for the prediction of any graft lesion of Banff classification vs. pristine biopsies (all Banff score = 0) epigenetic kidney biomarkers outperformed DSA (AUC = 0.754 vs. 0.596, p = 0.004). Thus, epigenetic signatures derived from the combination of kidney cell type specific methylation marker of cfDNA constitute a promising non-invasive diagnostic and theragnostic tool for kidney transplant patients.

Abstract Image

Abstract Image

无浆细胞DNA的表观遗传特征以非侵入性方式检测肾移植排斥反应:10 plex数字PCR测定的发展。
肾移植受者随访的护理标准结合了非侵入性但非特异性的生物标志物和肾活检,以获得基于组织学的金标准诊断,受抽样偏差、出血风险和低成本效益的限制。我们假设游离细胞DNA (cfDNA)的靶向表观遗传学分析将结合非侵入性和特异性来诊断异体肾移植排斥反应。我们开发了一个硅管道来鉴定肾小球和小管肾室中上皮或内皮细胞类型的9个特异性甲基化特征。针对这些标记设计并验证了甲基化特异性数字聚合酶链反应(dPCR),并将其组合为10-plex dPCR。在170名成人肾移植受者血浆cfDNA的回顾性队列中,我们评估了预测排斥反应的生物标志物的诊断特性,并根据Banff 2022分类通过实体活检进行了评估。将专用生物标志物与标准血液检测(供体特异性抗体(DSA),肾小球滤过率(eGFR))相结合,产生了一个预测模型,该模型具有曲线下面积(AUC),用于活检证实的肾移植排斥反应与无排斥反应大于单独使用DSA和eGFR (AUC = 0.884对0.776,p = 0.0005)。在Banff分级与原始活检预测任何移植物病变的替代模型中(所有Banff评分均为0),表观遗传肾脏生物标志物优于DSA (AUC = 0.754对0.596,p = 0.004)。因此,结合肾细胞类型特异性甲基化标记cfDNA衍生的表观遗传特征,为肾移植患者提供了一种有前景的非侵入性诊断和治疗工具。
本文章由计算机程序翻译,如有差异,请以英文原文为准。
求助全文
约1分钟内获得全文 求助全文
来源期刊
Biomarker Research
Biomarker Research Biochemistry, Genetics and Molecular Biology-Molecular Medicine
CiteScore
15.80
自引率
1.80%
发文量
80
审稿时长
10 weeks
期刊介绍: Biomarker Research, an open-access, peer-reviewed journal, covers all aspects of biomarker investigation. It seeks to publish original discoveries, novel concepts, commentaries, and reviews across various biomedical disciplines. The field of biomarker research has progressed significantly with the rise of personalized medicine and individual health. Biomarkers play a crucial role in drug discovery and development, as well as in disease diagnosis, treatment, prognosis, and prevention, particularly in the genome era.
×
引用
GB/T 7714-2015
复制
MLA
复制
APA
复制
导出至
BibTeX EndNote RefMan NoteFirst NoteExpress
×
提示
您的信息不完整,为了账户安全,请先补充。
现在去补充
×
提示
您因"违规操作"
具体请查看互助需知
我知道了
×
提示
确定
请完成安全验证×
copy
已复制链接
快去分享给好友吧!
我知道了
右上角分享
点击右上角分享
0
联系我们:info@booksci.cn Book学术提供免费学术资源搜索服务,方便国内外学者检索中英文文献。致力于提供最便捷和优质的服务体验。 Copyright © 2023 布克学术 All rights reserved.
京ICP备2023020795号-1
ghs 京公网安备 11010802042870号
Book学术文献互助
Book学术文献互助群
群 号:604180095
Book学术官方微信