Endoscopic Outcomes and Inflammatory Marker Correlation in Adult Patients with Corrosive Substance Ingestion.

IF 2.9 3区 医学 Q1 MEDICINE, GENERAL & INTERNAL
Seymur Aslanov, Ali Senkaya, Nalan Gulsen Unal, Cengiz Karahanlı, Idris Kurt, Ferit Celik, Alper Uysal, Ozan Fatih Sarıkaya, Ahmet Omer Ozutemiz
{"title":"Endoscopic Outcomes and Inflammatory Marker Correlation in Adult Patients with Corrosive Substance Ingestion.","authors":"Seymur Aslanov, Ali Senkaya, Nalan Gulsen Unal, Cengiz Karahanlı, Idris Kurt, Ferit Celik, Alper Uysal, Ozan Fatih Sarıkaya, Ahmet Omer Ozutemiz","doi":"10.3390/jcm14186663","DOIUrl":null,"url":null,"abstract":"<p><p><b>Background/Objectives:</b> Corrosive substance intake remains a significant public health concern due to its potential for severe gastrointestinal (GI) injury and associated morbidity. Early risk stratification is crucial for appropriate management, yet there is a lack of reliable non-invasive predictors of injury severity. This study aimed to evaluate the clinical characteristics of adult patients with corrosive ingestion and to investigate the correlation between inflammatory markers and endoscopic injury severity. <b>Methods:</b> In this retrospective study, 83 adult patients who underwent esophagogastroduodenoscopy (EGD) following corrosive ingestion between January 2017 and January 2021 were analyzed. Endoscopic injuries were graded using the Zargar classification and categorized as mild (grades 0-2a) or severe (grades 2b-4). Demographic, clinical, endoscopic, and laboratory data, including neutrophil-to-lymphocyte ratio (NLR) and C-reactive protein (CRP) levels, were recorded. The correlation between inflammatory markers and injury severity was assessed, and receiver operating characteristic (ROC) analysis was performed to determine diagnostic accuracy. <b>Results:</b> Among the patients, 55.4% were female with a mean age of 41.5 ± 17.3 years. Most ingestions were accidental (74.7%), with bleach being the most common agent (41%). Endoscopic injury was detected in 55.4% of patients, predominantly in the stomach and esophagus. Severe injuries were associated with longer intensive care and hospital stays, increased complication rates, and more frequent organ involvement (<i>p</i> < 0.001). A weak but statistically significant correlation was found between injury severity and both NLR (r = 0.357, <i>p</i> = 0.001) and CRP (r = 0.247, <i>p</i> = 0.024). ROC analysis revealed an NLR cut-off of 2.95 (AUC = 0.804) and CRP cut-off of 2.5 (AUC = 0.706) for predicting severe injury. <b>Conclusions:</b> Early endoscopic evaluation remains essential for assessing corrosive injury severity. However, NLR and CRP may serve as useful, non-invasive indicators in predicting injury severity, potentially aiding clinical decision-making, especially in settings where endoscopy is not readily available or is contraindicated.</p>","PeriodicalId":15533,"journal":{"name":"Journal of Clinical Medicine","volume":"14 18","pages":""},"PeriodicalIF":2.9000,"publicationDate":"2025-09-22","publicationTypes":"Journal Article","fieldsOfStudy":null,"isOpenAccess":false,"openAccessPdf":"https://www.ncbi.nlm.nih.gov/pmc/articles/PMC12470495/pdf/","citationCount":"0","resultStr":null,"platform":"Semanticscholar","paperid":null,"PeriodicalName":"Journal of Clinical Medicine","FirstCategoryId":"3","ListUrlMain":"https://doi.org/10.3390/jcm14186663","RegionNum":3,"RegionCategory":"医学","ArticlePicture":[],"TitleCN":null,"AbstractTextCN":null,"PMCID":null,"EPubDate":"","PubModel":"","JCR":"Q1","JCRName":"MEDICINE, GENERAL & INTERNAL","Score":null,"Total":0}
引用次数: 0

Abstract

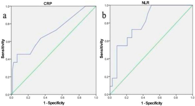
Background/Objectives: Corrosive substance intake remains a significant public health concern due to its potential for severe gastrointestinal (GI) injury and associated morbidity. Early risk stratification is crucial for appropriate management, yet there is a lack of reliable non-invasive predictors of injury severity. This study aimed to evaluate the clinical characteristics of adult patients with corrosive ingestion and to investigate the correlation between inflammatory markers and endoscopic injury severity. Methods: In this retrospective study, 83 adult patients who underwent esophagogastroduodenoscopy (EGD) following corrosive ingestion between January 2017 and January 2021 were analyzed. Endoscopic injuries were graded using the Zargar classification and categorized as mild (grades 0-2a) or severe (grades 2b-4). Demographic, clinical, endoscopic, and laboratory data, including neutrophil-to-lymphocyte ratio (NLR) and C-reactive protein (CRP) levels, were recorded. The correlation between inflammatory markers and injury severity was assessed, and receiver operating characteristic (ROC) analysis was performed to determine diagnostic accuracy. Results: Among the patients, 55.4% were female with a mean age of 41.5 ± 17.3 years. Most ingestions were accidental (74.7%), with bleach being the most common agent (41%). Endoscopic injury was detected in 55.4% of patients, predominantly in the stomach and esophagus. Severe injuries were associated with longer intensive care and hospital stays, increased complication rates, and more frequent organ involvement (p < 0.001). A weak but statistically significant correlation was found between injury severity and both NLR (r = 0.357, p = 0.001) and CRP (r = 0.247, p = 0.024). ROC analysis revealed an NLR cut-off of 2.95 (AUC = 0.804) and CRP cut-off of 2.5 (AUC = 0.706) for predicting severe injury. Conclusions: Early endoscopic evaluation remains essential for assessing corrosive injury severity. However, NLR and CRP may serve as useful, non-invasive indicators in predicting injury severity, potentially aiding clinical decision-making, especially in settings where endoscopy is not readily available or is contraindicated.

Abstract Image

成年腐蚀性物质摄入患者的内镜结果与炎症标志物的相关性。
背景/目的:腐蚀性物质摄入仍然是一个重大的公共卫生问题,因为它可能导致严重的胃肠道损伤和相关的发病率。早期风险分层对于适当的管理至关重要,但缺乏可靠的非侵入性损伤严重程度预测指标。本研究旨在评估成人腐蚀性食入患者的临床特征,并探讨炎症标志物与内镜下损伤严重程度的相关性。方法:在这项回顾性研究中,分析了2017年1月至2021年1月期间因腐蚀性食入而接受食管胃十二指肠镜检查(EGD)的83例成年患者。内镜下损伤采用Zargar分级,分为轻度(0-2a级)和重度(2b-4级)。记录人口统计学、临床、内镜和实验室数据,包括中性粒细胞与淋巴细胞比率(NLR)和c反应蛋白(CRP)水平。评估炎症标志物与损伤严重程度之间的相关性,并进行受试者工作特征(ROC)分析以确定诊断的准确性。结果:患者中女性占55.4%,平均年龄(41.5±17.3)岁。大多数摄入是意外的(74.7%),漂白剂是最常见的(41%)。55.4%的患者发现内镜损伤,主要发生在胃和食管。严重损伤与更长的重症监护和住院时间、更高的并发症发生率和更频繁的器官受累相关(p < 0.001)。损伤严重程度与NLR (r = 0.357, p = 0.001)和CRP (r = 0.247, p = 0.024)均存在较弱的相关性,但有统计学意义。ROC分析显示,预测严重损伤的NLR临界值为2.95 (AUC = 0.804), CRP临界值为2.5 (AUC = 0.706)。结论:早期内镜评估对于评估腐蚀性损伤的严重程度至关重要。然而,NLR和CRP可以作为预测损伤严重程度的有用的非侵入性指标,潜在地帮助临床决策,特别是在内窥镜检查不容易获得或有禁忌的情况下。
本文章由计算机程序翻译,如有差异,请以英文原文为准。
求助全文
约1分钟内获得全文 求助全文
来源期刊
Journal of Clinical Medicine
Journal of Clinical Medicine MEDICINE, GENERAL & INTERNAL-
CiteScore
5.70
自引率
7.70%
发文量
6468
审稿时长
16.32 days
期刊介绍: Journal of Clinical Medicine (ISSN 2077-0383), is an international scientific open access journal, providing a platform for advances in health care/clinical practices, the study of direct observation of patients and general medical research. This multi-disciplinary journal is aimed at a wide audience of medical researchers and healthcare professionals. Unique features of this journal: manuscripts regarding original research and ideas will be particularly welcomed.JCM also accepts reviews, communications, and short notes. There is no limit to publication length: our aim is to encourage scientists to publish their experimental and theoretical results in as much detail as possible.
×
引用
GB/T 7714-2015
复制
MLA
复制
APA
复制
导出至
BibTeX EndNote RefMan NoteFirst NoteExpress
×
提示
您的信息不完整,为了账户安全,请先补充。
现在去补充
×
提示
您因"违规操作"
具体请查看互助需知
我知道了
×
提示
确定
请完成安全验证×
copy
已复制链接
快去分享给好友吧!
我知道了
右上角分享
点击右上角分享
0
联系我们:info@booksci.cn Book学术提供免费学术资源搜索服务,方便国内外学者检索中英文文献。致力于提供最便捷和优质的服务体验。 Copyright © 2023 布克学术 All rights reserved.
京ICP备2023020795号-1
ghs 京公网安备 11010802042870号
Book学术文献互助
Book学术文献互助群
群 号:604180095
Book学术官方微信