Dinutuximab Beta for the Treatment of High-Risk Neuroblastoma: Data from the Hungarian Pediatric Oncology Network.

IF 2.9 3区 医学 Q1 MEDICINE, GENERAL & INTERNAL
Márk Hernádfői, Márton Szabados, Edit Brückner, Ágnes Varga, Péter Hauser, Gábor Ottóffy, Ágnes Vojcek, Krisztina Csanádi, Gabriella Kertész, Zsuzsanna Jakab, Gergely Agócs, Miklós Garami
{"title":"Dinutuximab Beta for the Treatment of High-Risk Neuroblastoma: Data from the Hungarian Pediatric Oncology Network.","authors":"Márk Hernádfői, Márton Szabados, Edit Brückner, Ágnes Varga, Péter Hauser, Gábor Ottóffy, Ágnes Vojcek, Krisztina Csanádi, Gabriella Kertész, Zsuzsanna Jakab, Gergely Agócs, Miklós Garami","doi":"10.3390/jcm14186641","DOIUrl":null,"url":null,"abstract":"<p><p><b>Background/Objectives:</b> The anti-GD2 monoclonal antibody dinutuximab beta has become standard of care maintenance therapy for high-risk neuroblastoma (HR-NB) in the first-line setting and is also approved in the relapsed/refractory setting. We present a retrospective review of 37 children with HR-NB included in the Hungarian Childhood Cancer Registry who received dinutuximab beta (first-line maintenance therapy, n = 31; relapsed/refractory, n = 6). <b>Methods:</b> All patients received dinutuximab beta continuously over the first 10 days of each 35-day cycle, with dosing based on body surface area/weight. Five cycles were planned, with further cycles administered at the treating physician's discretion. <b>Results:</b> At data cutoff, the overall disease control rate was 54.1% (20/37) (complete response, 51.4% (19/37); partial response, 0.0% (0/37), stable disease, 2.7% [1/37]); two patients (5.4%) had progressive disease, and 15 patients (40.5%) had died. The 5-year overall survival (OS) and event-free survival (EFS) rates in the overall population were 63.3% (95% confidence interval, 49.1-81.7) and 56.2% (95% confidence interval, 42.1-75.0), respectively. Grade 3 or 4 adverse events (including blood and lymphatic system disorders, hypoxia, hypotension, and capillary leak syndrome) were generally consistent with dinutuximab beta's known safety profile. <b>Conclusions:</b> Dinutuximab beta was an effective immunotherapy for patients with HR-NB in routine clinical practice, with a generally manageable side effect profile.</p>","PeriodicalId":15533,"journal":{"name":"Journal of Clinical Medicine","volume":"14 18","pages":""},"PeriodicalIF":2.9000,"publicationDate":"2025-09-20","publicationTypes":"Journal Article","fieldsOfStudy":null,"isOpenAccess":false,"openAccessPdf":"https://www.ncbi.nlm.nih.gov/pmc/articles/PMC12471212/pdf/","citationCount":"0","resultStr":null,"platform":"Semanticscholar","paperid":null,"PeriodicalName":"Journal of Clinical Medicine","FirstCategoryId":"3","ListUrlMain":"https://doi.org/10.3390/jcm14186641","RegionNum":3,"RegionCategory":"医学","ArticlePicture":[],"TitleCN":null,"AbstractTextCN":null,"PMCID":null,"EPubDate":"","PubModel":"","JCR":"Q1","JCRName":"MEDICINE, GENERAL & INTERNAL","Score":null,"Total":0}
引用次数: 0

Abstract

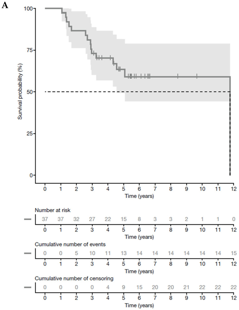
Background/Objectives: The anti-GD2 monoclonal antibody dinutuximab beta has become standard of care maintenance therapy for high-risk neuroblastoma (HR-NB) in the first-line setting and is also approved in the relapsed/refractory setting. We present a retrospective review of 37 children with HR-NB included in the Hungarian Childhood Cancer Registry who received dinutuximab beta (first-line maintenance therapy, n = 31; relapsed/refractory, n = 6). Methods: All patients received dinutuximab beta continuously over the first 10 days of each 35-day cycle, with dosing based on body surface area/weight. Five cycles were planned, with further cycles administered at the treating physician's discretion. Results: At data cutoff, the overall disease control rate was 54.1% (20/37) (complete response, 51.4% (19/37); partial response, 0.0% (0/37), stable disease, 2.7% [1/37]); two patients (5.4%) had progressive disease, and 15 patients (40.5%) had died. The 5-year overall survival (OS) and event-free survival (EFS) rates in the overall population were 63.3% (95% confidence interval, 49.1-81.7) and 56.2% (95% confidence interval, 42.1-75.0), respectively. Grade 3 or 4 adverse events (including blood and lymphatic system disorders, hypoxia, hypotension, and capillary leak syndrome) were generally consistent with dinutuximab beta's known safety profile. Conclusions: Dinutuximab beta was an effective immunotherapy for patients with HR-NB in routine clinical practice, with a generally manageable side effect profile.

Abstract Image

Abstract Image

迪努妥昔单抗β用于治疗高危神经母细胞瘤:来自匈牙利儿科肿瘤网络的数据
背景/目的:抗gd2单克隆抗体dinutuximab β已成为一线高危神经母细胞瘤(HR-NB)的标准护理维持治疗,也被批准用于复发/难治性治疗。我们对匈牙利儿童癌症登记处的37名接受了迪努妥昔单抗(一线维持治疗,n = 31;复发/难治性,n = 6)的HR-NB儿童进行了回顾性研究。方法:所有患者在每35天周期的前10天连续接受迪努妥昔单抗治疗,剂量基于体表面积/体重。计划5个周期,进一步的周期由主治医生决定。结果:截止数据时,总体疾病控制率为54.1%(20/37),其中完全缓解51.4% (19/37);部分缓解,0.0%(0/37),病情稳定,2.7% (1/37);2例(5.4%)患者病情进展,15例(40.5%)患者死亡。总体人群的5年总生存率(OS)和无事件生存率(EFS)分别为63.3%(95%可信区间49.1-81.7)和56.2%(95%可信区间42.1-75.0)。3级或4级不良事件(包括血液和淋巴系统紊乱、缺氧、低血压和毛细血管渗漏综合征)总体上符合迪努妥昔单抗已知的安全性。结论:在常规临床实践中,迪努妥昔单抗β是一种有效的HR-NB患者免疫疗法,副作用一般可控。
本文章由计算机程序翻译,如有差异,请以英文原文为准。
求助全文
约1分钟内获得全文 求助全文
来源期刊
Journal of Clinical Medicine
Journal of Clinical Medicine MEDICINE, GENERAL & INTERNAL-
CiteScore
5.70
自引率
7.70%
发文量
6468
审稿时长
16.32 days
期刊介绍: Journal of Clinical Medicine (ISSN 2077-0383), is an international scientific open access journal, providing a platform for advances in health care/clinical practices, the study of direct observation of patients and general medical research. This multi-disciplinary journal is aimed at a wide audience of medical researchers and healthcare professionals. Unique features of this journal: manuscripts regarding original research and ideas will be particularly welcomed.JCM also accepts reviews, communications, and short notes. There is no limit to publication length: our aim is to encourage scientists to publish their experimental and theoretical results in as much detail as possible.
×
引用
GB/T 7714-2015
复制
MLA
复制
APA
复制
导出至
BibTeX EndNote RefMan NoteFirst NoteExpress
×
提示
您的信息不完整,为了账户安全,请先补充。
现在去补充
×
提示
您因"违规操作"
具体请查看互助需知
我知道了
×
提示
确定
请完成安全验证×
copy
已复制链接
快去分享给好友吧!
我知道了
右上角分享
点击右上角分享
0
联系我们:info@booksci.cn Book学术提供免费学术资源搜索服务,方便国内外学者检索中英文文献。致力于提供最便捷和优质的服务体验。 Copyright © 2023 布克学术 All rights reserved.
京ICP备2023020795号-1
ghs 京公网安备 11010802042870号
Book学术文献互助
Book学术文献互助群
群 号:604180095
Book学术官方微信