Comorbidities and Pregnancy-Related Risk Factors in Patients with Severe Maternal Morbidity: Application of a Validated Obstetrical Comorbidity Scoring System to a Surveillance-Identified Population.

IF 2.7 4区 医学 Q2 HEALTH CARE SCIENCES & SERVICES
Carrie Wolfson, Jessica Tsipe Angelson, Alexandra D Forrest, Erin D Michos, Saifuddin Ahmed, Abimbola Aina-Mumuney, Andreea A Creanga
{"title":"Comorbidities and Pregnancy-Related Risk Factors in Patients with Severe Maternal Morbidity: Application of a Validated Obstetrical Comorbidity Scoring System to a Surveillance-Identified Population.","authors":"Carrie Wolfson, Jessica Tsipe Angelson, Alexandra D Forrest, Erin D Michos, Saifuddin Ahmed, Abimbola Aina-Mumuney, Andreea A Creanga","doi":"10.3390/healthcare13182351","DOIUrl":null,"url":null,"abstract":"<p><p><b>Background/Objectives</b>: Patient characteristics-especially comorbidities-influence the risk of severe maternal morbidity (SMM). Recent efforts have sought to derive an obstetric comorbidity score to be used for case-mix adjustment. We assess the use of a validated obstetric comorbidity index among patients with SMM and identify additional conditions that could be included in the index. <b>Methods</b>: We applied a validated obstetrical comorbidity scoring system to patients identified through Maryland's SMM Surveillance and Review program, using chi-square analyses to compare prevalence of comorbidities by primary causes of SMM. We compared mean and median comorbidity score by hospital level of care and adverse outcomes (length of stay, volume of blood product transfusion, intensive care unit (ICU) admission, transfer to a higher level of care, and neonatal intensive care unit (NICU) admission). Through the review of case data, we identified additional risk factors for SMM. Using tetrachoric correlation, we examined the degree of correlation between comorbidities from the validated index and the additional risk factors in our sample. <b>Results</b>: A total of 978 SMM events were identified and reviewed between 2020 and 2024. Mean comorbidity score was highest among patients with SMM from hypertensive disorders of pregnancy, and prevalence of index comorbidities varied by primary cause of SMM. Patients that delivered at level IV hospitals had the highest mean comorbidity scores. Scores were also higher with a length of stay ≥4 days, larger volumes of blood product transfusion, and patients whose newborns were admitted to the NICU. We identified 13 additional risk factors for consideration in future indices, finding minimal correlation between the 27 indicators in the validated index and the additional 13. <b>Conclusions</b>: Accurately identifying patient risk for SMM has important applications in both clinical settings and population-level perinatal health research.</p>","PeriodicalId":12977,"journal":{"name":"Healthcare","volume":"13 18","pages":""},"PeriodicalIF":2.7000,"publicationDate":"2025-09-18","publicationTypes":"Journal Article","fieldsOfStudy":null,"isOpenAccess":false,"openAccessPdf":"https://www.ncbi.nlm.nih.gov/pmc/articles/PMC12469481/pdf/","citationCount":"0","resultStr":null,"platform":"Semanticscholar","paperid":null,"PeriodicalName":"Healthcare","FirstCategoryId":"3","ListUrlMain":"https://doi.org/10.3390/healthcare13182351","RegionNum":4,"RegionCategory":"医学","ArticlePicture":[],"TitleCN":null,"AbstractTextCN":null,"PMCID":null,"EPubDate":"","PubModel":"","JCR":"Q2","JCRName":"HEALTH CARE SCIENCES & SERVICES","Score":null,"Total":0}
引用次数: 0

Abstract

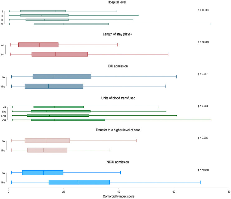
Background/Objectives: Patient characteristics-especially comorbidities-influence the risk of severe maternal morbidity (SMM). Recent efforts have sought to derive an obstetric comorbidity score to be used for case-mix adjustment. We assess the use of a validated obstetric comorbidity index among patients with SMM and identify additional conditions that could be included in the index. Methods: We applied a validated obstetrical comorbidity scoring system to patients identified through Maryland's SMM Surveillance and Review program, using chi-square analyses to compare prevalence of comorbidities by primary causes of SMM. We compared mean and median comorbidity score by hospital level of care and adverse outcomes (length of stay, volume of blood product transfusion, intensive care unit (ICU) admission, transfer to a higher level of care, and neonatal intensive care unit (NICU) admission). Through the review of case data, we identified additional risk factors for SMM. Using tetrachoric correlation, we examined the degree of correlation between comorbidities from the validated index and the additional risk factors in our sample. Results: A total of 978 SMM events were identified and reviewed between 2020 and 2024. Mean comorbidity score was highest among patients with SMM from hypertensive disorders of pregnancy, and prevalence of index comorbidities varied by primary cause of SMM. Patients that delivered at level IV hospitals had the highest mean comorbidity scores. Scores were also higher with a length of stay ≥4 days, larger volumes of blood product transfusion, and patients whose newborns were admitted to the NICU. We identified 13 additional risk factors for consideration in future indices, finding minimal correlation between the 27 indicators in the validated index and the additional 13. Conclusions: Accurately identifying patient risk for SMM has important applications in both clinical settings and population-level perinatal health research.

Abstract Image

严重孕产妇发病患者的合并症和妊娠相关危险因素:一个有效的产科合并症评分系统在监测人群中的应用
背景/目的:患者的特点,特别是合并症,影响严重产妇发病率(SMM)的风险。最近的努力试图得出一个产科合并症评分,用于病例组合调整。我们评估了SMM患者中有效的产科合并症指数的使用,并确定了可以包括在该指数中的其他条件。方法:我们对通过马里兰州SMM监测和审查项目确定的患者应用了一个经过验证的产科合并症评分系统,使用卡方分析比较SMM主要原因的合并症患病率。我们比较了医院护理水平和不良结局(住院时间、输血量、重症监护病房(ICU)入住、转到更高护理水平和新生儿重症监护病房(NICU)入住)的平均和中位合并症评分。通过对病例资料的回顾,我们确定了SMM的其他危险因素。使用四分线相关性,我们检查了合并症与我们样本中其他危险因素之间的相关程度。结果:在2020年至2024年期间,共发现并回顾了978例SMM事件。妊娠期高血压疾病合并SMM患者的平均合并症评分最高,且指数合并症的患病率因SMM的原发原因而异。在四级医院分娩的患者平均合并症评分最高。住院时间≥4天、输血血制品量较大以及新生儿入住NICU的患者得分也较高。我们在未来的指数中确定了13个额外的风险因素,发现验证指数中的27个指标与额外的13个指标之间的相关性很小。结论:准确识别患者SMM风险在临床环境和人群水平的围产期健康研究中具有重要应用。
本文章由计算机程序翻译,如有差异,请以英文原文为准。
求助全文
约1分钟内获得全文 求助全文
来源期刊
Healthcare
Healthcare Medicine-Health Policy
CiteScore
3.50
自引率
7.10%
发文量
0
审稿时长
47 days
期刊介绍: Healthcare (ISSN 2227-9032) is an international, peer-reviewed, open access journal (free for readers), which publishes original theoretical and empirical work in the interdisciplinary area of all aspects of medicine and health care research. Healthcare publishes Original Research Articles, Reviews, Case Reports, Research Notes and Short Communications. We encourage researchers to publish their experimental and theoretical results in as much detail as possible. For theoretical papers, full details of proofs must be provided so that the results can be checked; for experimental papers, full experimental details must be provided so that the results can be reproduced. Additionally, electronic files or software regarding the full details of the calculations, experimental procedure, etc., can be deposited along with the publication as “Supplementary Material”.
×
引用
GB/T 7714-2015
复制
MLA
复制
APA
复制
导出至
BibTeX EndNote RefMan NoteFirst NoteExpress
×
提示
您的信息不完整,为了账户安全,请先补充。
现在去补充
×
提示
您因"违规操作"
具体请查看互助需知
我知道了
×
提示
确定
请完成安全验证×
copy
已复制链接
快去分享给好友吧!
我知道了
右上角分享
点击右上角分享
0
联系我们:info@booksci.cn Book学术提供免费学术资源搜索服务,方便国内外学者检索中英文文献。致力于提供最便捷和优质的服务体验。 Copyright © 2023 布克学术 All rights reserved.
京ICP备2023020795号-1
ghs 京公网安备 11010802042870号
Book学术文献互助
Book学术文献互助群
群 号:604180095
Book学术官方微信