Association of urinary metal exposure with H. pylori seropositivity and mortality in the U.S. Population: NHANES 1999-2000 analysis.

IF 2.5 3区 医学 Q2 GASTROENTEROLOGY & HEPATOLOGY
Xiang-Da Meng, Yu-Jun Xiong, Shuo Yang
{"title":"Association of urinary metal exposure with H. pylori seropositivity and mortality in the U.S. Population: NHANES 1999-2000 analysis.","authors":"Xiang-Da Meng, Yu-Jun Xiong, Shuo Yang","doi":"10.1186/s12876-025-04223-0","DOIUrl":null,"url":null,"abstract":"<p><strong>Background: </strong>The relationship between urinary heavy metal concentrations and overall mortality remains understudied, particularly among individuals with Helicobacter pylori (H. pylori) infection. This study aimed to explore the associations between urinary concentrations of specific metals and H. pylori seropositivity, as well as to evaluate their respective associations with all-cause mortality in both H. pylori-infected and non-infected subpopulations.</p><p><strong>Methods: </strong>Data were derived from the 1999-2000 cycles of the National Health and Nutrition Examination Survey (NHANES), resulting a final analytical cohort of 1,086 participants. Multivariable logistic regression models were applied to identify predictors of H. pylori infection. Cox proportional hazards models and restricted cubic spline analyses were used to investigate associations between urinary metal concentrations and all-cause mortality, stratified by H. pylori status.</p><p><strong>Results: </strong>Restricted cubic spline analyses revealed a significant association between urinary thallium levels and all-cause mortality in H. pylori-positive individuals (P for nonlinearity = 0.2731), with a nonlinear relationship observed in H. pylori-negative participants (P for nonlinearity = 0.0127). Elevated urinary tungsten concentrations were independently associated with H. pylori seropositivity (P overall = 0.0074). Notably, among H. pylori-negative participants, the highest tungsten quartile (Q4) showed a significant mortality risk increase (HR = 3.054, 95% CI: 1.083-8.608), while in H. pylori-positive individuals, tungsten was significantly associated with mortality only in continuous models (HR = 3.129, 95% CI: 1.031-9.493).</p><p><strong>Conclusion: </strong>Elevated urinary tungsten levels were significantly linked to H. pylori infection, while the relationship between tungsten and mortality differed by infection status: a dose-response association was observed in H. pylori-negative individuals, while a nonlinear association emerged in H. pylori-positive participants.</p>","PeriodicalId":9129,"journal":{"name":"BMC Gastroenterology","volume":"25 1","pages":"649"},"PeriodicalIF":2.5000,"publicationDate":"2025-09-26","publicationTypes":"Journal Article","fieldsOfStudy":null,"isOpenAccess":false,"openAccessPdf":"https://www.ncbi.nlm.nih.gov/pmc/articles/PMC12465713/pdf/","citationCount":"0","resultStr":null,"platform":"Semanticscholar","paperid":null,"PeriodicalName":"BMC Gastroenterology","FirstCategoryId":"3","ListUrlMain":"https://doi.org/10.1186/s12876-025-04223-0","RegionNum":3,"RegionCategory":"医学","ArticlePicture":[],"TitleCN":null,"AbstractTextCN":null,"PMCID":null,"EPubDate":"","PubModel":"","JCR":"Q2","JCRName":"GASTROENTEROLOGY & HEPATOLOGY","Score":null,"Total":0}
引用次数: 0

Abstract

Background: The relationship between urinary heavy metal concentrations and overall mortality remains understudied, particularly among individuals with Helicobacter pylori (H. pylori) infection. This study aimed to explore the associations between urinary concentrations of specific metals and H. pylori seropositivity, as well as to evaluate their respective associations with all-cause mortality in both H. pylori-infected and non-infected subpopulations.

Methods: Data were derived from the 1999-2000 cycles of the National Health and Nutrition Examination Survey (NHANES), resulting a final analytical cohort of 1,086 participants. Multivariable logistic regression models were applied to identify predictors of H. pylori infection. Cox proportional hazards models and restricted cubic spline analyses were used to investigate associations between urinary metal concentrations and all-cause mortality, stratified by H. pylori status.

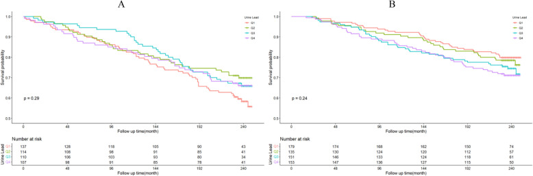
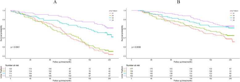
Results: Restricted cubic spline analyses revealed a significant association between urinary thallium levels and all-cause mortality in H. pylori-positive individuals (P for nonlinearity = 0.2731), with a nonlinear relationship observed in H. pylori-negative participants (P for nonlinearity = 0.0127). Elevated urinary tungsten concentrations were independently associated with H. pylori seropositivity (P overall = 0.0074). Notably, among H. pylori-negative participants, the highest tungsten quartile (Q4) showed a significant mortality risk increase (HR = 3.054, 95% CI: 1.083-8.608), while in H. pylori-positive individuals, tungsten was significantly associated with mortality only in continuous models (HR = 3.129, 95% CI: 1.031-9.493).

Conclusion: Elevated urinary tungsten levels were significantly linked to H. pylori infection, while the relationship between tungsten and mortality differed by infection status: a dose-response association was observed in H. pylori-negative individuals, while a nonlinear association emerged in H. pylori-positive participants.

Abstract Image

Abstract Image

Abstract Image

美国人群中尿金属暴露与幽门螺杆菌血清阳性和死亡率的关系:NHANES 1999-2000分析。
背景:尿液重金属浓度与总体死亡率之间的关系仍未得到充分研究,特别是在幽门螺杆菌感染个体中。本研究旨在探讨尿中特定金属浓度与幽门螺杆菌血清阳性之间的关系,并评估它们各自与幽门螺杆菌感染和非感染亚群的全因死亡率之间的关系。方法:数据来源于1999-2000年国家健康和营养检查调查(NHANES)的周期,最终得出1086名参与者的分析队列。应用多变量logistic回归模型确定幽门螺杆菌感染的预测因子。采用Cox比例风险模型和限制性三次样条分析来研究尿中金属浓度与全因死亡率之间的关系,并按幽门螺旋杆菌状态分层。结果:限制三次样条分析显示,尿铊水平与幽门螺杆菌阳性个体的全因死亡率之间存在显著相关性(非线性P = 0.2731),而幽门螺杆菌阴性受试者的尿铊水平与全因死亡率之间存在非线性关系(非线性P = 0.0127)。尿钨浓度升高与幽门螺杆菌血清阳性独立相关(P总值= 0.0074)。值得注意的是,在幽门螺杆菌阴性受试者中,最高钨四分位数(Q4)显示死亡率风险显著增加(HR = 3.054, 95% CI: 1.083 ~ 8.608),而在幽门螺杆菌阳性个体中,钨仅在连续模型中与死亡率显著相关(HR = 3.129, 95% CI: 1.031 ~ 9.493)。结论:尿钨水平升高与幽门螺杆菌感染显著相关,而钨与死亡率之间的关系因感染状态而异:在幽门螺杆菌阴性个体中观察到剂量-反应相关性,而在幽门螺杆菌阳性参与者中出现非线性相关性。
本文章由计算机程序翻译,如有差异,请以英文原文为准。
求助全文
约1分钟内获得全文 求助全文
来源期刊
BMC Gastroenterology
BMC Gastroenterology 医学-胃肠肝病学
CiteScore
4.20
自引率
0.00%
发文量
465
审稿时长
6 months
期刊介绍: BMC Gastroenterology is an open access, peer-reviewed journal that considers articles on all aspects of the prevention, diagnosis and management of gastrointestinal and hepatobiliary disorders, as well as related molecular genetics, pathophysiology, and epidemiology.
×
引用
GB/T 7714-2015
复制
MLA
复制
APA
复制
导出至
BibTeX EndNote RefMan NoteFirst NoteExpress
×
提示
您的信息不完整,为了账户安全,请先补充。
现在去补充
×
提示
您因"违规操作"
具体请查看互助需知
我知道了
×
提示
确定
请完成安全验证×
copy
已复制链接
快去分享给好友吧!
我知道了
右上角分享
点击右上角分享
0
联系我们:info@booksci.cn Book学术提供免费学术资源搜索服务,方便国内外学者检索中英文文献。致力于提供最便捷和优质的服务体验。 Copyright © 2023 布克学术 All rights reserved.
京ICP备2023020795号-1
ghs 京公网安备 11010802042870号
Book学术文献互助
Book学术文献互助群
群 号:604180095
Book学术官方微信