Selection and validation of RT-qPCR reference genes for multi-tissue gene expression normalization in two honeybee subspecies across post-emergence developmental stages.

IF 3.7 2区 生物学 Q2 BIOTECHNOLOGY & APPLIED MICROBIOLOGY
Xuanpeng Liu, Ting Yang, Jilian Li, Chuan Ma
{"title":"Selection and validation of RT-qPCR reference genes for multi-tissue gene expression normalization in two honeybee subspecies across post-emergence developmental stages.","authors":"Xuanpeng Liu, Ting Yang, Jilian Li, Chuan Ma","doi":"10.1186/s12864-025-12020-y","DOIUrl":null,"url":null,"abstract":"<p><strong>Background: </strong>The western honeybee (Apis mellifera) represents a pivotal model organism for investigating social organization and phenotypic plasticity. Behavioral specialization in worker bees induces tissue-specific molecular adaptations, particularly in sensory and secretory tissues. Although real-time quantitative PCR (RT-qPCR) has been extensively employed to quantify gene expression dynamics in these tissues, systematic evaluation of optimal reference genes for RT-qPCR data normalization remains undressed.</p><p><strong>Results: </strong>We systematically assessed nine candidate reference genes across three tissues (antennae, hypopharyngeal glands, and brains) in adult honeybees at three developmental stages (newly emerged bees, nurses, and foragers) from two subspecies (A. m. ligustica and A. m. carnica). Using five statistical algorithms (geNorm, NormFinder, BestKeeper, ΔC<sub>T</sub> method, and RefFinder), we identified ADP-ribosylation factor 1 (arf1) as the most stable reference gene across all experimental conditions, followed by ribosomal protein L32 (rpL32). Their stability was confirmed by experimental validation through normalization of major royal jelly protein 2 (mrjp2) expression patterns. Notably, three conventional housekeeping genes (α-tubulin, glyceraldehyde-3-phosphate dehydrogenase, and β-actin) displayed consistently poor stability, disqualifying their application in quantitative analyses under these experimental conditions.</p><p><strong>Conclusions: </strong>Our findings provide validated reference genes for precise quantification of tissue-specific gene expression patterns during adult honeybee development. These reference genes facilitate identification of candidate genes associated with honeybee development, social behavior, and productivity traits.</p>","PeriodicalId":9030,"journal":{"name":"BMC Genomics","volume":"26 1","pages":"822"},"PeriodicalIF":3.7000,"publicationDate":"2025-09-26","publicationTypes":"Journal Article","fieldsOfStudy":null,"isOpenAccess":false,"openAccessPdf":"https://www.ncbi.nlm.nih.gov/pmc/articles/PMC12465390/pdf/","citationCount":"0","resultStr":null,"platform":"Semanticscholar","paperid":null,"PeriodicalName":"BMC Genomics","FirstCategoryId":"99","ListUrlMain":"https://doi.org/10.1186/s12864-025-12020-y","RegionNum":2,"RegionCategory":"生物学","ArticlePicture":[],"TitleCN":null,"AbstractTextCN":null,"PMCID":null,"EPubDate":"","PubModel":"","JCR":"Q2","JCRName":"BIOTECHNOLOGY & APPLIED MICROBIOLOGY","Score":null,"Total":0}
引用次数: 0

Abstract

Background: The western honeybee (Apis mellifera) represents a pivotal model organism for investigating social organization and phenotypic plasticity. Behavioral specialization in worker bees induces tissue-specific molecular adaptations, particularly in sensory and secretory tissues. Although real-time quantitative PCR (RT-qPCR) has been extensively employed to quantify gene expression dynamics in these tissues, systematic evaluation of optimal reference genes for RT-qPCR data normalization remains undressed.

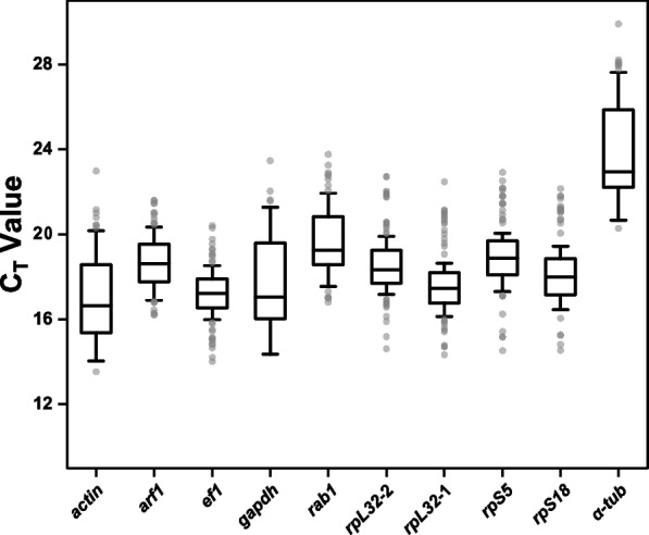
Results: We systematically assessed nine candidate reference genes across three tissues (antennae, hypopharyngeal glands, and brains) in adult honeybees at three developmental stages (newly emerged bees, nurses, and foragers) from two subspecies (A. m. ligustica and A. m. carnica). Using five statistical algorithms (geNorm, NormFinder, BestKeeper, ΔCT method, and RefFinder), we identified ADP-ribosylation factor 1 (arf1) as the most stable reference gene across all experimental conditions, followed by ribosomal protein L32 (rpL32). Their stability was confirmed by experimental validation through normalization of major royal jelly protein 2 (mrjp2) expression patterns. Notably, three conventional housekeeping genes (α-tubulin, glyceraldehyde-3-phosphate dehydrogenase, and β-actin) displayed consistently poor stability, disqualifying their application in quantitative analyses under these experimental conditions.

Conclusions: Our findings provide validated reference genes for precise quantification of tissue-specific gene expression patterns during adult honeybee development. These reference genes facilitate identification of candidate genes associated with honeybee development, social behavior, and productivity traits.

Abstract Image

Abstract Image

Abstract Image

两个蜜蜂亚种羽化后发育阶段多组织基因表达正常化的RT-qPCR内参基因选择与验证
背景:西方蜜蜂(Apis mellifera)是研究社会组织和表型可塑性的关键模式生物。工蜂的行为专门化诱导了组织特异性分子适应,特别是在感觉和分泌组织中。尽管实时定量PCR (RT-qPCR)已被广泛用于量化这些组织中的基因表达动态,但RT-qPCR数据归一化的最佳内参基因的系统评估仍未得到解决。结果:我们系统地评估了来自两个亚种(A. m. ligustica和A. m. carnica)三个发育阶段(新出现的蜜蜂、看护蜜蜂和觅食蜜蜂)的成年蜜蜂的三个组织(触角、下咽腺和大脑)中的9个候选内参基因。使用五种统计算法(geNorm、NormFinder、BestKeeper、ΔCT方法和RefFinder),我们确定adp -核糖基化因子1 (arf1)是所有实验条件下最稳定的内参基因,其次是核糖体蛋白L32 (rpL32)。通过蜂王浆蛋白2 (mrjp2)主要表达谱的归一化实验验证了它们的稳定性。值得注意的是,三个传统的管家基因(α-微管蛋白、甘油醛-3-磷酸脱氢酶和β-肌动蛋白)一直表现出较差的稳定性,在这些实验条件下不适合用于定量分析。结论:我们的研究结果为成年蜜蜂发育过程中组织特异性基因表达模式的精确定量提供了有效的参考基因。这些内参基因有助于鉴定与蜜蜂发育、社会行为和生产力性状相关的候选基因。
本文章由计算机程序翻译,如有差异,请以英文原文为准。
求助全文
约1分钟内获得全文 求助全文
来源期刊
BMC Genomics
BMC Genomics 生物-生物工程与应用微生物
CiteScore
7.40
自引率
4.50%
发文量
769
审稿时长
6.4 months
期刊介绍: BMC Genomics is an open access, peer-reviewed journal that considers articles on all aspects of genome-scale analysis, functional genomics, and proteomics. BMC Genomics is part of the BMC series which publishes subject-specific journals focused on the needs of individual research communities across all areas of biology and medicine. We offer an efficient, fair and friendly peer review service, and are committed to publishing all sound science, provided that there is some advance in knowledge presented by the work.
×
引用
GB/T 7714-2015
复制
MLA
复制
APA
复制
导出至
BibTeX EndNote RefMan NoteFirst NoteExpress
×
提示
您的信息不完整,为了账户安全,请先补充。
现在去补充
×
提示
您因"违规操作"
具体请查看互助需知
我知道了
×
提示
确定
请完成安全验证×
copy
已复制链接
快去分享给好友吧!
我知道了
右上角分享
点击右上角分享
0
联系我们:info@booksci.cn Book学术提供免费学术资源搜索服务,方便国内外学者检索中英文文献。致力于提供最便捷和优质的服务体验。 Copyright © 2023 布克学术 All rights reserved.
京ICP备2023020795号-1
ghs 京公网安备 11010802042870号
Book学术文献互助
Book学术文献互助群
群 号:604180095
Book学术官方微信