Combining LASSO-type Methods with a Smooth Transition Random Forest

Q1 Decision Sciences
Alexandre L. D. Gandini, Flavio A. Ziegelmann
{"title":"Combining LASSO-type Methods with a Smooth Transition Random Forest","authors":"Alexandre L. D. Gandini,&nbsp;Flavio A. Ziegelmann","doi":"10.1007/s40745-024-00541-4","DOIUrl":null,"url":null,"abstract":"<div><p>In this work, we propose a novel hybrid method for the estimation of regression models, which is based on a combination of LASSO-type methods and smooth transition (STR) random forests. Tree-based regression models are known for their flexibility and skills to learn even very nonlinear patterns. The STR-Tree model introduces smoothness into traditional splitting nodes, leading to a non-binary labeling, which can be interpreted as a group membership degree for each observation. Our approach involves two steps. First, we fit a penalized linear regression using LASSO-type methods. Then, we estimate an STR random forest on the residuals from the first step, using the original covariates. This dual-step process allows us to capture any significant linear relationships in the data generating process through a parametric approach, and then addresses nonlinearities with a flexible model. We conducted numerical studies with both simulated and real data to demonstrate our method’s effectiveness. Our findings indicate that our proposal offers superior predictive power, particularly in datasets with both linear and nonlinear characteristics, when compared to traditional benchmarks.</p></div>","PeriodicalId":36280,"journal":{"name":"Annals of Data Science","volume":"12 3","pages":"899 - 928"},"PeriodicalIF":0.0000,"publicationDate":"2024-06-25","publicationTypes":"Journal Article","fieldsOfStudy":null,"isOpenAccess":false,"openAccessPdf":"","citationCount":"0","resultStr":null,"platform":"Semanticscholar","paperid":null,"PeriodicalName":"Annals of Data Science","FirstCategoryId":"1085","ListUrlMain":"https://link.springer.com/article/10.1007/s40745-024-00541-4","RegionNum":0,"RegionCategory":null,"ArticlePicture":[],"TitleCN":null,"AbstractTextCN":null,"PMCID":null,"EPubDate":"","PubModel":"","JCR":"Q1","JCRName":"Decision Sciences","Score":null,"Total":0}
引用次数: 0

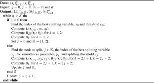
Abstract

In this work, we propose a novel hybrid method for the estimation of regression models, which is based on a combination of LASSO-type methods and smooth transition (STR) random forests. Tree-based regression models are known for their flexibility and skills to learn even very nonlinear patterns. The STR-Tree model introduces smoothness into traditional splitting nodes, leading to a non-binary labeling, which can be interpreted as a group membership degree for each observation. Our approach involves two steps. First, we fit a penalized linear regression using LASSO-type methods. Then, we estimate an STR random forest on the residuals from the first step, using the original covariates. This dual-step process allows us to capture any significant linear relationships in the data generating process through a parametric approach, and then addresses nonlinearities with a flexible model. We conducted numerical studies with both simulated and real data to demonstrate our method’s effectiveness. Our findings indicate that our proposal offers superior predictive power, particularly in datasets with both linear and nonlinear characteristics, when compared to traditional benchmarks.

Abstract Image

lasso型方法与平滑过渡随机森林的结合
在这项工作中,我们提出了一种新的混合方法来估计回归模型,该方法是基于lasso型方法和平滑过渡(STR)随机森林的结合。基于树的回归模型以其灵活性和学习甚至非常非线性模式的技能而闻名。STR-Tree模型将平滑性引入到传统的分裂节点中,导致非二值标记,可以将其解释为每个观测值的组成员度。我们的方法包括两个步骤。首先,我们使用lasso类型的方法拟合惩罚线性回归。然后,我们使用原始协变量对第一步的残差估计一个STR随机森林。这个双步骤过程允许我们通过参数方法捕获数据生成过程中任何重要的线性关系,然后用灵活的模型解决非线性问题。我们用模拟数据和真实数据进行了数值研究,以证明我们的方法的有效性。我们的研究结果表明,与传统基准相比,我们的建议提供了优越的预测能力,特别是在具有线性和非线性特征的数据集上。
本文章由计算机程序翻译,如有差异,请以英文原文为准。
求助全文
约1分钟内获得全文 求助全文
来源期刊
Annals of Data Science
Annals of Data Science Decision Sciences-Statistics, Probability and Uncertainty
CiteScore
6.50
自引率
0.00%
发文量
93
期刊介绍: Annals of Data Science (ADS) publishes cutting-edge research findings, experimental results and case studies of data science. Although Data Science is regarded as an interdisciplinary field of using mathematics, statistics, databases, data mining, high-performance computing, knowledge management and virtualization to discover knowledge from Big Data, it should have its own scientific contents, such as axioms, laws and rules, which are fundamentally important for experts in different fields to explore their own interests from Big Data. ADS encourages contributors to address such challenging problems at this exchange platform. At present, how to discover knowledge from heterogeneous data under Big Data environment needs to be addressed.     ADS is a series of volumes edited by either the editorial office or guest editors. Guest editors will be responsible for call-for-papers and the review process for high-quality contributions in their volumes.
×
引用
GB/T 7714-2015
复制
MLA
复制
APA
复制
导出至
BibTeX EndNote RefMan NoteFirst NoteExpress
×
提示
您的信息不完整,为了账户安全,请先补充。
现在去补充
×
提示
您因"违规操作"
具体请查看互助需知
我知道了
×
提示
确定
请完成安全验证×
copy
已复制链接
快去分享给好友吧!
我知道了
右上角分享
点击右上角分享
0
联系我们:info@booksci.cn Book学术提供免费学术资源搜索服务,方便国内外学者检索中英文文献。致力于提供最便捷和优质的服务体验。 Copyright © 2023 布克学术 All rights reserved.
京ICP备2023020795号-1
ghs 京公网安备 11010802042870号
Book学术文献互助
Book学术文献互助群
群 号:604180095
Book学术官方微信