Variations in Cosmic Rays during the Extreme Geomagnetic Disturbances of May 9‒15, 2024

IF 0.48 Q4 Physics and Astronomy
V. S. Makhmutov, G. A. Bazilevskaya, M. V. Philippov, Y. I. Stozhkov, V. I. Erkhov, A. K. Morzabaev, Ye. A. Tulekov, J.-P. Raulin, J. Tacza
{"title":"Variations in Cosmic Rays during the Extreme Geomagnetic Disturbances of May 9‒15, 2024","authors":"V. S. Makhmutov,&nbsp;G. A. Bazilevskaya,&nbsp;M. V. Philippov,&nbsp;Y. I. Stozhkov,&nbsp;V. I. Erkhov,&nbsp;A. K. Morzabaev,&nbsp;Ye. A. Tulekov,&nbsp;J.-P. Raulin,&nbsp;J. Tacza","doi":"10.1134/S1062873825711249","DOIUrl":null,"url":null,"abstract":"<p>Results are presented from analyzing variations in cosmic rays and the solar and geomagnetic activity of May 9‒15, 2024. The authors use data from a network of ground-based neutron monitors and measurements of cosmic rays, made by the CARPET instruments and neutron detectors at the Lebedev Physical Institute’s Dolgoprudny Scientific Station; the Eurasian National University in Astana, Kazakhstan; and the CASLEO astronomical complex in the Argentinian Andes. Characteristics of the Forbush decrease in the cosmic ray fluxes on May 10, 2024, are studied, along with the subsequent rise in cosmic rays on May 11. Results show these effects differed in nature.</p>","PeriodicalId":504,"journal":{"name":"Bulletin of the Russian Academy of Sciences: Physics","volume":"89 6","pages":"830 - 834"},"PeriodicalIF":0.4800,"publicationDate":"2025-07-15","publicationTypes":"Journal Article","fieldsOfStudy":null,"isOpenAccess":false,"openAccessPdf":"","citationCount":"0","resultStr":null,"platform":"Semanticscholar","paperid":null,"PeriodicalName":"Bulletin of the Russian Academy of Sciences: Physics","FirstCategoryId":"1085","ListUrlMain":"https://link.springer.com/article/10.1134/S1062873825711249","RegionNum":0,"RegionCategory":null,"ArticlePicture":[],"TitleCN":null,"AbstractTextCN":null,"PMCID":null,"EPubDate":"","PubModel":"","JCR":"Q4","JCRName":"Physics and Astronomy","Score":null,"Total":0}
引用次数: 0

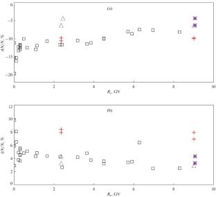
Abstract

Results are presented from analyzing variations in cosmic rays and the solar and geomagnetic activity of May 9‒15, 2024. The authors use data from a network of ground-based neutron monitors and measurements of cosmic rays, made by the CARPET instruments and neutron detectors at the Lebedev Physical Institute’s Dolgoprudny Scientific Station; the Eurasian National University in Astana, Kazakhstan; and the CASLEO astronomical complex in the Argentinian Andes. Characteristics of the Forbush decrease in the cosmic ray fluxes on May 10, 2024, are studied, along with the subsequent rise in cosmic rays on May 11. Results show these effects differed in nature.

Abstract Image

2024年5月9日至15日极端地磁扰动期间宇宙射线的变化
分析了2024年5月9日至15日宇宙射线和太阳、地磁活动的变化。作者使用了地面中子监测网和宇宙射线测量的数据,这些数据是由列别捷夫物理研究所Dolgoprudny科学站的CARPET仪器和中子探测器获得的;哈萨克斯坦阿斯塔纳欧亚国立大学;以及位于阿根廷安第斯山脉的CASLEO天文综合体。研究了2024年5月10日宇宙射线通量的Forbush衰减特征,以及随后5月11日宇宙射线通量的上升。结果表明,这些影响在性质上是不同的。
本文章由计算机程序翻译,如有差异,请以英文原文为准。
求助全文
约1分钟内获得全文 求助全文
来源期刊
Bulletin of the Russian Academy of Sciences: Physics
Bulletin of the Russian Academy of Sciences: Physics Physics and Astronomy-Physics and Astronomy (all)
CiteScore
0.90
自引率
0.00%
发文量
251
期刊介绍: Bulletin of the Russian Academy of Sciences: Physics is an international peer reviewed journal published with the participation of the Russian Academy of Sciences. It presents full-text articles (regular,  letters  to  the editor, reviews) with the most recent results in miscellaneous fields of physics and astronomy: nuclear physics, cosmic rays, condensed matter physics, plasma physics, optics and photonics, nanotechnologies, solar and astrophysics, physical applications in material sciences, life sciences, etc. Bulletin of the Russian Academy of Sciences: Physics  focuses on the most relevant multidisciplinary topics in natural sciences, both fundamental and applied. Manuscripts can be submitted in Russian and English languages and are subject to peer review. Accepted articles are usually combined in thematic issues on certain topics according to the journal editorial policy. Authors featured in the journal represent renowned scientific laboratories and institutes from different countries, including large international collaborations. There are globally recognized researchers among the authors: Nobel laureates and recipients of other awards, and members of national academies of sciences and international scientific societies.
×
引用
GB/T 7714-2015
复制
MLA
复制
APA
复制
导出至
BibTeX EndNote RefMan NoteFirst NoteExpress
×
提示
您的信息不完整,为了账户安全,请先补充。
现在去补充
×
提示
您因"违规操作"
具体请查看互助需知
我知道了
×
提示
确定
请完成安全验证×
copy
已复制链接
快去分享给好友吧!
我知道了
右上角分享
点击右上角分享
0
联系我们:info@booksci.cn Book学术提供免费学术资源搜索服务,方便国内外学者检索中英文文献。致力于提供最便捷和优质的服务体验。 Copyright © 2023 布克学术 All rights reserved.
京ICP备2023020795号-1
ghs 京公网安备 11010802042870号
Book学术文献互助
Book学术文献互助群
群 号:604180095
Book学术官方微信