Can Fast Blue Optical Transients be Cosmic Pevatrons?

IF 0.48 Q4 Physics and Astronomy
V. I. Romansky, A. M. Bykov, S. M. Osipov, A. A. Lutovinov
{"title":"Can Fast Blue Optical Transients be Cosmic Pevatrons?","authors":"V. I. Romansky,&nbsp;A. M. Bykov,&nbsp;S. M. Osipov,&nbsp;A. A. Lutovinov","doi":"10.1134/S1062873825711547","DOIUrl":null,"url":null,"abstract":"<p>The new class of recently discovered astrophysical objects—fast blue optical transients (FBOT) demonstrated a high luminosity of radio and X-ray radiation and the expansion velocities above 0.1 c over a year time scale. They are likely sub-class of core-collapse supernova events. We present here results of modeling of particle acceleration in mildly-relativistic shocks associated with FBOTs. It is shown, that objects with mildly-relativistic shocks can be possible sources of particles with energies above 1 PeV, and emit detectable fluxes of hard X-ray radiation.</p>","PeriodicalId":504,"journal":{"name":"Bulletin of the Russian Academy of Sciences: Physics","volume":"89 6","pages":"993 - 997"},"PeriodicalIF":0.4800,"publicationDate":"2025-07-15","publicationTypes":"Journal Article","fieldsOfStudy":null,"isOpenAccess":false,"openAccessPdf":"","citationCount":"0","resultStr":null,"platform":"Semanticscholar","paperid":null,"PeriodicalName":"Bulletin of the Russian Academy of Sciences: Physics","FirstCategoryId":"1085","ListUrlMain":"https://link.springer.com/article/10.1134/S1062873825711547","RegionNum":0,"RegionCategory":null,"ArticlePicture":[],"TitleCN":null,"AbstractTextCN":null,"PMCID":null,"EPubDate":"","PubModel":"","JCR":"Q4","JCRName":"Physics and Astronomy","Score":null,"Total":0}
引用次数: 0

Abstract

The new class of recently discovered astrophysical objects—fast blue optical transients (FBOT) demonstrated a high luminosity of radio and X-ray radiation and the expansion velocities above 0.1 c over a year time scale. They are likely sub-class of core-collapse supernova events. We present here results of modeling of particle acceleration in mildly-relativistic shocks associated with FBOTs. It is shown, that objects with mildly-relativistic shocks can be possible sources of particles with energies above 1 PeV, and emit detectable fluxes of hard X-ray radiation.

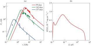
Abstract Image

快速蓝光瞬态能成为宇宙涡旋吗?
最近发现的一类新的天体物理对象-快速蓝光瞬变(FBOT)显示出高亮度的射电和x射线辐射以及在一年时间尺度上超过0.1 c的膨胀速度。它们很可能是核心坍缩超新星事件的子类。我们在此展示了与FBOTs相关的温和相对论性冲击中粒子加速度的建模结果。结果表明,具有轻微相对论性冲击的物体可能是能量超过1 PeV的粒子的可能来源,并发射可探测的硬x射线辐射通量。
本文章由计算机程序翻译,如有差异,请以英文原文为准。
求助全文
约1分钟内获得全文 求助全文
来源期刊
Bulletin of the Russian Academy of Sciences: Physics
Bulletin of the Russian Academy of Sciences: Physics Physics and Astronomy-Physics and Astronomy (all)
CiteScore
0.90
自引率
0.00%
发文量
251
期刊介绍: Bulletin of the Russian Academy of Sciences: Physics is an international peer reviewed journal published with the participation of the Russian Academy of Sciences. It presents full-text articles (regular,  letters  to  the editor, reviews) with the most recent results in miscellaneous fields of physics and astronomy: nuclear physics, cosmic rays, condensed matter physics, plasma physics, optics and photonics, nanotechnologies, solar and astrophysics, physical applications in material sciences, life sciences, etc. Bulletin of the Russian Academy of Sciences: Physics  focuses on the most relevant multidisciplinary topics in natural sciences, both fundamental and applied. Manuscripts can be submitted in Russian and English languages and are subject to peer review. Accepted articles are usually combined in thematic issues on certain topics according to the journal editorial policy. Authors featured in the journal represent renowned scientific laboratories and institutes from different countries, including large international collaborations. There are globally recognized researchers among the authors: Nobel laureates and recipients of other awards, and members of national academies of sciences and international scientific societies.
×
引用
GB/T 7714-2015
复制
MLA
复制
APA
复制
导出至
BibTeX EndNote RefMan NoteFirst NoteExpress
×
提示
您的信息不完整,为了账户安全,请先补充。
现在去补充
×
提示
您因"违规操作"
具体请查看互助需知
我知道了
×
提示
确定
请完成安全验证×
copy
已复制链接
快去分享给好友吧!
我知道了
右上角分享
点击右上角分享
0
联系我们:info@booksci.cn Book学术提供免费学术资源搜索服务,方便国内外学者检索中英文文献。致力于提供最便捷和优质的服务体验。 Copyright © 2023 布克学术 All rights reserved.
京ICP备2023020795号-1
ghs 京公网安备 11010802042870号
Book学术文献互助
Book学术文献互助群
群 号:604180095
Book学术官方微信