On the Angular Anisotropy of the Distribution Function of Radiating Particles in Relativistic Jets

IF 0.7 4区 物理与天体物理 Q3 ASTRONOMY & ASTROPHYSICS
T. I. Khalilov, V. S. Beskin, V. I. Pariev
{"title":"On the Angular Anisotropy of the Distribution Function of Radiating Particles in Relativistic Jets","authors":"T. I. Khalilov,&nbsp;V. S. Beskin,&nbsp;V. I. Pariev","doi":"10.1134/S1063772925701835","DOIUrl":null,"url":null,"abstract":"<p>The observed power-law spectra of relativistic jets from active galactic nuclei clearly indicate a synchrotron mechanism of radiation by particles that similarly possess a power-law energy spectrum. However, the issue of their angular anisotropy has not been given sufficient attention until recently, although the example of the solar wind (where a strongly magnetized wind is realized in a similar way) shows the importance of taking this circumstance into account. In this paper, we study the evolution of an initially isotropic power-law spectrum of radiating particles as they propagate along expanding relativistic jets. It is shown that for relativistic flows in which the electric field plays a crucial role, the preservation of the first adiabatic invariant does not lead to a decrease in the pitch angles of radiating particles as they enter the region of weak magnetic fields. This is due to the drift nature of the particle motion.</p>","PeriodicalId":55440,"journal":{"name":"Astronomy Reports","volume":"69 5","pages":"335 - 347"},"PeriodicalIF":0.7000,"publicationDate":"2025-07-13","publicationTypes":"Journal Article","fieldsOfStudy":null,"isOpenAccess":false,"openAccessPdf":"","citationCount":"0","resultStr":null,"platform":"Semanticscholar","paperid":null,"PeriodicalName":"Astronomy Reports","FirstCategoryId":"101","ListUrlMain":"https://link.springer.com/article/10.1134/S1063772925701835","RegionNum":4,"RegionCategory":"物理与天体物理","ArticlePicture":[],"TitleCN":null,"AbstractTextCN":null,"PMCID":null,"EPubDate":"","PubModel":"","JCR":"Q3","JCRName":"ASTRONOMY & ASTROPHYSICS","Score":null,"Total":0}
引用次数: 0

Abstract

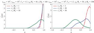
The observed power-law spectra of relativistic jets from active galactic nuclei clearly indicate a synchrotron mechanism of radiation by particles that similarly possess a power-law energy spectrum. However, the issue of their angular anisotropy has not been given sufficient attention until recently, although the example of the solar wind (where a strongly magnetized wind is realized in a similar way) shows the importance of taking this circumstance into account. In this paper, we study the evolution of an initially isotropic power-law spectrum of radiating particles as they propagate along expanding relativistic jets. It is shown that for relativistic flows in which the electric field plays a crucial role, the preservation of the first adiabatic invariant does not lead to a decrease in the pitch angles of radiating particles as they enter the region of weak magnetic fields. This is due to the drift nature of the particle motion.

Abstract Image

相对论射流中辐射粒子分布函数的角向各向异性
观测到的来自活动星系核的相对论性喷流的幂律谱清楚地表明,具有幂律能谱的粒子辐射的同步加速器机制。然而,它们的角度各向异性问题直到最近才得到足够的重视,尽管太阳风的例子(以类似的方式实现强烈磁化的风)表明了考虑这种情况的重要性。在本文中,我们研究了辐射粒子沿着膨胀的相对论射流传播时的初始各向同性幂律谱的演化。结果表明,对于电场起关键作用的相对论性流动,第一绝热不变量的保留不会导致辐射粒子进入弱磁场区域时俯角的减小。这是由于粒子运动的漂移性质。
本文章由计算机程序翻译,如有差异,请以英文原文为准。
求助全文
约1分钟内获得全文 求助全文
来源期刊
Astronomy Reports
Astronomy Reports 地学天文-天文与天体物理
CiteScore
1.40
自引率
20.00%
发文量
57
审稿时长
6-12 weeks
期刊介绍: Astronomy Reports is an international peer reviewed journal that publishes original papers on astronomical topics, including theoretical and observational astrophysics, physics of the Sun, planetary astrophysics, radio astronomy, stellar astronomy, celestial mechanics, and astronomy methods and instrumentation.
×
引用
GB/T 7714-2015
复制
MLA
复制
APA
复制
导出至
BibTeX EndNote RefMan NoteFirst NoteExpress
×
提示
您的信息不完整,为了账户安全,请先补充。
现在去补充
×
提示
您因"违规操作"
具体请查看互助需知
我知道了
×
提示
确定
请完成安全验证×
copy
已复制链接
快去分享给好友吧!
我知道了
右上角分享
点击右上角分享
0
联系我们:info@booksci.cn Book学术提供免费学术资源搜索服务,方便国内外学者检索中英文文献。致力于提供最便捷和优质的服务体验。 Copyright © 2023 布克学术 All rights reserved.
京ICP备2023020795号-1
ghs 京公网安备 11010802042870号
Book学术文献互助
Book学术文献互助群
群 号:604180095
Book学术官方微信