Design and synthesis of formononetin-piperazine hybrids that inhibit the migration and growth of MGC-803 cells

IF 3.1 4区 医学 Q3 CHEMISTRY, MEDICINAL
Ya Wang, Yan Jin, Jian Song, Sai-Yang Zhang, Wang Wang, Yan Xu, Hong-Ju Liu
{"title":"Design and synthesis of formononetin-piperazine hybrids that inhibit the migration and growth of MGC-803 cells","authors":"Ya Wang,&nbsp;Yan Jin,&nbsp;Jian Song,&nbsp;Sai-Yang Zhang,&nbsp;Wang Wang,&nbsp;Yan Xu,&nbsp;Hong-Ju Liu","doi":"10.1007/s00044-025-03428-y","DOIUrl":null,"url":null,"abstract":"<div><p>Formononetin, derived from <i>Orostachys japonica</i> (a traditional Chinese medicine), has been reported to have anti-cancer activity. In continuation of work on the exploration of formononetin derivative development, we designed and synthesized a novel series of formononetin-piperazine hybrids as anticancer agents, followed by evaluation of their antiproliferative activities against three cancer cell lines. Among these derivatives, compounds <b>6g</b> (IC<sub>50</sub> = 5.87 ± 0.96 μM) and <b>6h</b> (IC<sub>50</sub> = 3.50 ± 0.65 μM) emerged as the most potent analogues, demonstrating the best inhibitory activities against MGC-803 human gastric cancer cells. The structure-activity relationships (SARs) indicated that the introduction of substituents at meta-position of piperazine-linked phenyl moiety was helpful to enhance the anticancer potency. Further mechanistic investigations revealed that <b>6g</b> and <b>6h</b> exerted multimodal antitumor effects through G2/M phase arrest induction, apoptosis promotion, and migration suppression in MGC-803 cells. Thus, <b>6g</b> and <b>6h</b> could be deeply developed for the development of formononetin-based anti-cancer candidates.</p></div>","PeriodicalId":699,"journal":{"name":"Medicinal Chemistry Research","volume":"34 7","pages":"1589 - 1602"},"PeriodicalIF":3.1000,"publicationDate":"2025-06-06","publicationTypes":"Journal Article","fieldsOfStudy":null,"isOpenAccess":false,"openAccessPdf":"","citationCount":"0","resultStr":null,"platform":"Semanticscholar","paperid":null,"PeriodicalName":"Medicinal Chemistry Research","FirstCategoryId":"3","ListUrlMain":"https://link.springer.com/article/10.1007/s00044-025-03428-y","RegionNum":4,"RegionCategory":"医学","ArticlePicture":[],"TitleCN":null,"AbstractTextCN":null,"PMCID":null,"EPubDate":"","PubModel":"","JCR":"Q3","JCRName":"CHEMISTRY, MEDICINAL","Score":null,"Total":0}
引用次数: 0

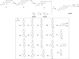
Abstract

Formononetin, derived from Orostachys japonica (a traditional Chinese medicine), has been reported to have anti-cancer activity. In continuation of work on the exploration of formononetin derivative development, we designed and synthesized a novel series of formononetin-piperazine hybrids as anticancer agents, followed by evaluation of their antiproliferative activities against three cancer cell lines. Among these derivatives, compounds 6g (IC50 = 5.87 ± 0.96 μM) and 6h (IC50 = 3.50 ± 0.65 μM) emerged as the most potent analogues, demonstrating the best inhibitory activities against MGC-803 human gastric cancer cells. The structure-activity relationships (SARs) indicated that the introduction of substituents at meta-position of piperazine-linked phenyl moiety was helpful to enhance the anticancer potency. Further mechanistic investigations revealed that 6g and 6h exerted multimodal antitumor effects through G2/M phase arrest induction, apoptosis promotion, and migration suppression in MGC-803 cells. Thus, 6g and 6h could be deeply developed for the development of formononetin-based anti-cancer candidates.

Abstract Image

抑制MGC-803细胞迁移和生长的芒芒花素-哌嗪杂合体的设计与合成
刺芒柄花素是一种提取自中药山茱萸(Orostachys japonica)的物质,据报道具有抗癌活性。为了继续探索芒柄花素衍生物的开发,我们设计并合成了一系列新的芒柄花素-哌嗪复合物作为抗癌药物,随后评估了它们对三种癌细胞的抗增殖活性。其中,化合物6g (IC50 = 5.87±0.96 μM)和化合物6h (IC50 = 3.50±0.65 μM)对MGC-803人胃癌细胞的抑制作用最强。构效关系(sar)表明,在哌嗪连接的苯基部分的位上引入取代基有助于提高抗癌效能。进一步的机制研究表明,6g和6h通过诱导MGC-803细胞G2/M期阻滞、促进细胞凋亡和抑制迁移等多种方式发挥抗肿瘤作用。因此,6g和6h可深入开发以芒柄花素为基础的抗癌候选药物。
本文章由计算机程序翻译,如有差异,请以英文原文为准。
求助全文
约1分钟内获得全文 求助全文
来源期刊
Medicinal Chemistry Research
Medicinal Chemistry Research 医学-医药化学
CiteScore
4.70
自引率
3.80%
发文量
162
审稿时长
5.0 months
期刊介绍: Medicinal Chemistry Research (MCRE) publishes papers on a wide range of topics, favoring research with significant, new, and up-to-date information. Although the journal has a demanding peer review process, MCRE still boasts rapid publication, due in part, to the length of the submissions. The journal publishes significant research on various topics, many of which emphasize the structure-activity relationships of molecular biology.
×
引用
GB/T 7714-2015
复制
MLA
复制
APA
复制
导出至
BibTeX EndNote RefMan NoteFirst NoteExpress
×
提示
您的信息不完整,为了账户安全,请先补充。
现在去补充
×
提示
您因"违规操作"
具体请查看互助需知
我知道了
×
提示
确定
请完成安全验证×
copy
已复制链接
快去分享给好友吧!
我知道了
右上角分享
点击右上角分享
0
联系我们:info@booksci.cn Book学术提供免费学术资源搜索服务,方便国内外学者检索中英文文献。致力于提供最便捷和优质的服务体验。 Copyright © 2023 布克学术 All rights reserved.
京ICP备2023020795号-1
ghs 京公网安备 11010802042870号
Book学术文献互助
Book学术文献互助群
群 号:604180095
Book学术官方微信