Plasma Neurofilament Light Chain Is Associated with Cognitive Functions but Not Patient-Reported Outcomes in Multiple Sclerosis.

IF 3 Q2 CLINICAL NEUROLOGY
Valerio Nicolella, Federica Novarella, Fabrizia Falco, Carmela Polito, Rosa Sirica, Evelina La Civita, Vincenzo Criscuolo, Giuseppe Corsini, Antonio Luca Spiezia, Alessia Castiello, Antonio Carotenuto, Maria Petracca, Roberta Lanzillo, Giuseppe Castaldo, Vincenzo Brescia Morra, Daniela Terracciano, Marcello Moccia
{"title":"Plasma Neurofilament Light Chain Is Associated with Cognitive Functions but Not Patient-Reported Outcomes in Multiple Sclerosis.","authors":"Valerio Nicolella, Federica Novarella, Fabrizia Falco, Carmela Polito, Rosa Sirica, Evelina La Civita, Vincenzo Criscuolo, Giuseppe Corsini, Antonio Luca Spiezia, Alessia Castiello, Antonio Carotenuto, Maria Petracca, Roberta Lanzillo, Giuseppe Castaldo, Vincenzo Brescia Morra, Daniela Terracciano, Marcello Moccia","doi":"10.3390/neurolint17090144","DOIUrl":null,"url":null,"abstract":"<p><strong>Objective: </strong>We aimed to explore associations between plasma neurofilament light chain (pNfL) and cognition through patient-reported outcomes (PROs) in multiple sclerosis (MS).</p><p><strong>Methods: </strong>In this cross-sectional study, we included 211 people with MS (PwMS) and collected data from pNfL (fully automated chemiluminescent enzyme immunoassay), EDSS, education, cognition (the Symbol Digit Modalities Test (SDMT), California Verbal Learning Test-II (CVLT II), and Brief Visuospatial Memory Test-Revised (BVMT-R)), the Modified Fatigue Impact Scale (MFIS), Beck Depression Inventory (BDI-II), Beck Anxiety Inventory (BAI), and Pittsburgh Sleep Quality Index (PSQI).</p><p><strong>Results: </strong>On multivariate linear regression models, higher educational attainment was significantly associated with lower pNfL (high school: Coeff = -0.22, 95% CI = -0.41 to -0.04, <i>p</i> = 0.019; university: Coeff = -0.22, 95% CI = -0.42 to -0.02, <i>p</i> = 0.030). In logistic regression models, the likelihood of having pNfL levels above normal thresholds increased by 56% for each one-point increment in the EDSS score (OR = 1.56, 95% CI = 1.23 to 1.98, <i>p</i> < 0.001) and was 2.5 times greater in individuals with impaired SDMT (OR = 2.50, 95% CI = 2.20 to 5.21, <i>p</i> = 0.014). No statistically significant associations were observed between pNfL and CVLT-II, BVMT-R, BDI-II, MFIS, BAI, or PSQI.</p><p><strong>Conclusions: </strong>Neuro-axonal damage in people with MS manifests clinically as increased disability and reduced attention and processing speed. However, these effects may be mitigated by greater brain resilience, as suggested by the protective role of higher educational attainment. The PROs assessed in this study showed no significant associations with pNfL levels, possibly due to measurement errors and heterogeneity, with limited sensitivity to neuro-axonal damage.</p>","PeriodicalId":19130,"journal":{"name":"Neurology International","volume":"17 9","pages":""},"PeriodicalIF":3.0000,"publicationDate":"2025-09-09","publicationTypes":"Journal Article","fieldsOfStudy":null,"isOpenAccess":false,"openAccessPdf":"https://www.ncbi.nlm.nih.gov/pmc/articles/PMC12472482/pdf/","citationCount":"0","resultStr":null,"platform":"Semanticscholar","paperid":null,"PeriodicalName":"Neurology International","FirstCategoryId":"1085","ListUrlMain":"https://doi.org/10.3390/neurolint17090144","RegionNum":0,"RegionCategory":null,"ArticlePicture":[],"TitleCN":null,"AbstractTextCN":null,"PMCID":null,"EPubDate":"","PubModel":"","JCR":"Q2","JCRName":"CLINICAL NEUROLOGY","Score":null,"Total":0}
引用次数: 0

Abstract

Objective: We aimed to explore associations between plasma neurofilament light chain (pNfL) and cognition through patient-reported outcomes (PROs) in multiple sclerosis (MS).

Methods: In this cross-sectional study, we included 211 people with MS (PwMS) and collected data from pNfL (fully automated chemiluminescent enzyme immunoassay), EDSS, education, cognition (the Symbol Digit Modalities Test (SDMT), California Verbal Learning Test-II (CVLT II), and Brief Visuospatial Memory Test-Revised (BVMT-R)), the Modified Fatigue Impact Scale (MFIS), Beck Depression Inventory (BDI-II), Beck Anxiety Inventory (BAI), and Pittsburgh Sleep Quality Index (PSQI).

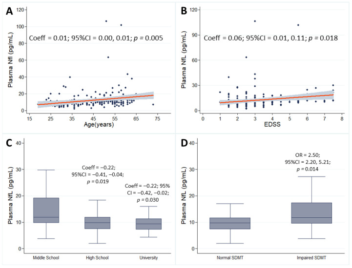
Results: On multivariate linear regression models, higher educational attainment was significantly associated with lower pNfL (high school: Coeff = -0.22, 95% CI = -0.41 to -0.04, p = 0.019; university: Coeff = -0.22, 95% CI = -0.42 to -0.02, p = 0.030). In logistic regression models, the likelihood of having pNfL levels above normal thresholds increased by 56% for each one-point increment in the EDSS score (OR = 1.56, 95% CI = 1.23 to 1.98, p < 0.001) and was 2.5 times greater in individuals with impaired SDMT (OR = 2.50, 95% CI = 2.20 to 5.21, p = 0.014). No statistically significant associations were observed between pNfL and CVLT-II, BVMT-R, BDI-II, MFIS, BAI, or PSQI.

Conclusions: Neuro-axonal damage in people with MS manifests clinically as increased disability and reduced attention and processing speed. However, these effects may be mitigated by greater brain resilience, as suggested by the protective role of higher educational attainment. The PROs assessed in this study showed no significant associations with pNfL levels, possibly due to measurement errors and heterogeneity, with limited sensitivity to neuro-axonal damage.

Abstract Image

血浆神经丝轻链与多发性硬化症患者的认知功能有关,但与患者报告的预后无关。
目的:通过多发性硬化症(MS)患者报告的预后(pro),探讨血浆神经丝轻链(pNfL)与认知之间的关系。方法:在本横断面研究中,我们纳入了211名多发性硬化症患者,收集了pNfL(全自动化学荧光酶免疫测定)、EDSS、教育、认知(符号数字模式测试(SDMT)、加州语言学习测试II (CVLT II)和简短视觉空间记忆测试修订(BVMT-R))、修正疲劳影响量表(MFIS)、贝克抑郁量表(BDI-II)、贝克焦虑量表(BAI)和匹兹堡睡眠质量指数(PSQI)的数据。结果:在多元线性回归模型中,较高的教育程度与较低的pNfL显著相关(高中:Coeff = -0.22, 95% CI = -0.41至-0.04,p = 0.019;大学:Coeff = -0.22, 95% CI = -0.42至-0.02,p = 0.030)。在logistic回归模型中,EDSS评分每增加1分,pNfL水平高于正常阈值的可能性增加56% (OR = 1.56, 95% CI = 1.23至1.98,p < 0.001), SDMT受损个体的pNfL水平高于正常阈值的可能性增加2.5倍(OR = 2.50, 95% CI = 2.20至5.21,p = 0.014)。pNfL与CVLT-II、BVMT-R、BDI-II、MFIS、BAI或PSQI之间无统计学意义的关联。结论:多发性硬化症患者的神经轴突损伤在临床上表现为残疾增加、注意力和处理速度降低。然而,这些影响可能会被更强的大脑弹性所缓解,正如高等教育程度所表明的那样。本研究评估的PROs与pNfL水平无显著相关性,可能是由于测量误差和异质性,对神经轴突损伤的敏感性有限。
本文章由计算机程序翻译,如有差异,请以英文原文为准。
求助全文
约1分钟内获得全文 求助全文
来源期刊
Neurology International
Neurology International CLINICAL NEUROLOGY-
CiteScore
3.70
自引率
3.30%
发文量
69
审稿时长
11 weeks
×
引用
GB/T 7714-2015
复制
MLA
复制
APA
复制
导出至
BibTeX EndNote RefMan NoteFirst NoteExpress
×
提示
您的信息不完整,为了账户安全,请先补充。
现在去补充
×
提示
您因"违规操作"
具体请查看互助需知
我知道了
×
提示
确定
请完成安全验证×
copy
已复制链接
快去分享给好友吧!
我知道了
右上角分享
点击右上角分享
0
联系我们:info@booksci.cn Book学术提供免费学术资源搜索服务,方便国内外学者检索中英文文献。致力于提供最便捷和优质的服务体验。 Copyright © 2023 布克学术 All rights reserved.
京ICP备2023020795号-1
ghs 京公网安备 11010802042870号
Book学术文献互助
Book学术文献互助群
群 号:604180095
Book学术官方微信