Prevalence and Mutation Analysis of Medium-Chain Acyl-CoA Dehydrogenase Deficiency Detected by Newborn Screening in Hefei, China.

IF 4 Q1 GENETICS & HEREDITY
Haili Hu, Qingqing Ma, Yong Huang, Wangsheng Song, Hongyu Xu, Peng Zhu, Yan Wang
{"title":"Prevalence and Mutation Analysis of Medium-Chain Acyl-CoA Dehydrogenase Deficiency Detected by Newborn Screening in Hefei, China.","authors":"Haili Hu, Qingqing Ma, Yong Huang, Wangsheng Song, Hongyu Xu, Peng Zhu, Yan Wang","doi":"10.3390/ijns11030083","DOIUrl":null,"url":null,"abstract":"<p><p>Medium-Chain Acyl-CoA Dehydrogenase Deficiency (MCADD) is a metabolic disorder caused by mutations in the ACADM gene, leading to impaired fatty acid oxidation. The present study aims to analyze the prevalence and genetic mutation characteristics of MCADD among newborns in Hefei, China, providing insights for the diagnosis, treatment, and prevention of MCADD. A retrospective analysis was conducted on data from newborns diagnosed with MCADD at the Hefei Newborn Disease Screening Center between January 2016 and December 2024. Screening was performed using tandem mass spectrometry (MS/MS), complemented by next-generation sequencing (NGS) for genetic testing. Out of 880,224 screened newborns, 16 cases of MCADD were diagnosed, resulting in a prevalence of 1 in 55,014. A total of 31 mutation sites in the <i>ACADM</i> gene were identified, with 18 different mutation types. The hotspot mutations were c.449-452del (p.T150Rfs*4) and c.1085G>A (p.G362E), each with a mutation frequency of 16.13% (5 out of 31). Additionally, three novel mutations were identified: c.468+5G>A, c.854C>G, and c.428_431delinsTCTTCTTTTGTT. Following diagnosis, patients received health education, dietary guidance, and symptomatic treatment, all resulting in favorable prognoses without any acute metabolic decompensation events. The prevalence of MCADD is lower in Asia compared to Europe and America. The hotspot mutations for MCADD in Hefei are c.449-452del and c.1085G>A. Diagnosis should integrate results from both octanoylcarnitine (C8) levels and genetic testing. Early screening, diagnosis, treatment, and scientific prevention strategies are essential for reducing adverse outcomes in children with MCADD.</p>","PeriodicalId":14159,"journal":{"name":"International Journal of Neonatal Screening","volume":"11 3","pages":""},"PeriodicalIF":4.0000,"publicationDate":"2025-09-22","publicationTypes":"Journal Article","fieldsOfStudy":null,"isOpenAccess":false,"openAccessPdf":"https://www.ncbi.nlm.nih.gov/pmc/articles/PMC12471205/pdf/","citationCount":"0","resultStr":null,"platform":"Semanticscholar","paperid":null,"PeriodicalName":"International Journal of Neonatal Screening","FirstCategoryId":"1085","ListUrlMain":"https://doi.org/10.3390/ijns11030083","RegionNum":0,"RegionCategory":null,"ArticlePicture":[],"TitleCN":null,"AbstractTextCN":null,"PMCID":null,"EPubDate":"","PubModel":"","JCR":"Q1","JCRName":"GENETICS & HEREDITY","Score":null,"Total":0}
引用次数: 0

Abstract

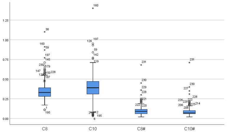
Medium-Chain Acyl-CoA Dehydrogenase Deficiency (MCADD) is a metabolic disorder caused by mutations in the ACADM gene, leading to impaired fatty acid oxidation. The present study aims to analyze the prevalence and genetic mutation characteristics of MCADD among newborns in Hefei, China, providing insights for the diagnosis, treatment, and prevention of MCADD. A retrospective analysis was conducted on data from newborns diagnosed with MCADD at the Hefei Newborn Disease Screening Center between January 2016 and December 2024. Screening was performed using tandem mass spectrometry (MS/MS), complemented by next-generation sequencing (NGS) for genetic testing. Out of 880,224 screened newborns, 16 cases of MCADD were diagnosed, resulting in a prevalence of 1 in 55,014. A total of 31 mutation sites in the ACADM gene were identified, with 18 different mutation types. The hotspot mutations were c.449-452del (p.T150Rfs*4) and c.1085G>A (p.G362E), each with a mutation frequency of 16.13% (5 out of 31). Additionally, three novel mutations were identified: c.468+5G>A, c.854C>G, and c.428_431delinsTCTTCTTTTGTT. Following diagnosis, patients received health education, dietary guidance, and symptomatic treatment, all resulting in favorable prognoses without any acute metabolic decompensation events. The prevalence of MCADD is lower in Asia compared to Europe and America. The hotspot mutations for MCADD in Hefei are c.449-452del and c.1085G>A. Diagnosis should integrate results from both octanoylcarnitine (C8) levels and genetic testing. Early screening, diagnosis, treatment, and scientific prevention strategies are essential for reducing adverse outcomes in children with MCADD.

Abstract Image

Abstract Image

Abstract Image

合肥市新生儿筛查中链酰基辅酶a脱氢酶缺乏症患病率及突变分析
中链酰基辅酶a脱氢酶缺乏症(MCADD)是一种由ACADM基因突变引起的代谢性疾病,导致脂肪酸氧化受损。本研究旨在分析合肥市新生儿MCADD的患病率和基因突变特征,为MCADD的诊断、治疗和预防提供依据。回顾性分析2016年1月至2024年12月合肥市新生儿疾病筛查中心诊断为MCADD的新生儿数据。采用串联质谱(MS/MS)进行筛选,辅以下一代测序(NGS)进行基因检测。在接受筛查的880224名新生儿中,16例MCADD被诊断出来,患病率为1 / 55014。ACADM基因共有31个突变位点,18种不同的突变类型。热点突变为c.449-452del (p.T150Rfs*4)和c.1085G>A (p.G362E),突变频率均为16.13%(5 / 31)。此外,还鉴定出3个新的突变:c.468+5G>A、c.854C>G和c.428_431delinsTCTTCTTTTGTT。诊断后,患者接受健康教育、饮食指导和对症治疗,预后良好,未发生急性代谢失代偿事件。与欧洲和美洲相比,亚洲的MCADD患病率较低。合肥地区MCADD的热点突变为c.449-452del和c.1085G>A。诊断应结合辛烷酰肉碱(C8)水平和基因检测结果。早期筛查、诊断、治疗和科学的预防策略对于减少MCADD儿童的不良后果至关重要。
本文章由计算机程序翻译,如有差异,请以英文原文为准。
求助全文
约1分钟内获得全文 求助全文
来源期刊
International Journal of Neonatal Screening
International Journal of Neonatal Screening Medicine-Pediatrics, Perinatology and Child Health
CiteScore
6.70
自引率
20.00%
发文量
56
审稿时长
11 weeks
×
引用
GB/T 7714-2015
复制
MLA
复制
APA
复制
导出至
BibTeX EndNote RefMan NoteFirst NoteExpress
×
提示
您的信息不完整,为了账户安全,请先补充。
现在去补充
×
提示
您因"违规操作"
具体请查看互助需知
我知道了
×
提示
确定
请完成安全验证×
copy
已复制链接
快去分享给好友吧!
我知道了
右上角分享
点击右上角分享
0
联系我们:info@booksci.cn Book学术提供免费学术资源搜索服务,方便国内外学者检索中英文文献。致力于提供最便捷和优质的服务体验。 Copyright © 2023 布克学术 All rights reserved.
京ICP备2023020795号-1
ghs 京公网安备 11010802042870号
Book学术文献互助
Book学术文献互助群
群 号:604180095
Book学术官方微信