An Analysis of Lactodifucotetraose Using Molecular Docking and Dynamics Studies with Norovirus Capsid Protein

IF 1.7 4区 物理与天体物理 Q2 PHYSICS, MULTIDISCIPLINARY
B. Lalithamaheswari, C. Anu Radha
{"title":"An Analysis of Lactodifucotetraose Using Molecular Docking and Dynamics Studies with Norovirus Capsid Protein","authors":"B. Lalithamaheswari,&nbsp;C. Anu Radha","doi":"10.1007/s13538-025-01849-z","DOIUrl":null,"url":null,"abstract":"<div><p>A newborn’s “gold standard” nutritional supply is breastmilk, which provides primary energy since it contains oligosaccharides that resist enzyme hydrolysis within the upper digestive tract and are usually able to reach the colon. A key function of human milk oligosaccharides (HMOs) is to develop the immune system, prevent pathogenic infections, control the newborn gut microbiota, and function as prebiotics. Currently, Lactodifucotetraose (LDFT) HMO is simulated using molecular dynamics for 250 ns, and the prominent structural model is determined, with the data being deposited in the 3DSDSCAR database (www.3dsdscar.org). The LDFT models are docked with the <i>Norovirus</i> capsid protein, and the best docked model was simulated for 100-ns duration. Inter/intramolecular interactions enhance the LDFT complex structure’s stabilization and compact binding. Three binding modes were predicted using the binding free energy calculation. The complex structure deviation and fluctuation from the reference frame were analyzed. Overall analysis showed that the linear structure of LDFT can bind with NoVs in two modes. Hence, the binding efficacy of LDFT in two modes was effective due to its two fucose residues, which can bind as a hydrophobic cluster. The principal role of this LDFT HMO is to serve as an effective inhibitor of the <i>Norovirus</i> capsid protein.</p></div>","PeriodicalId":499,"journal":{"name":"Brazilian Journal of Physics","volume":"55 5","pages":""},"PeriodicalIF":1.7000,"publicationDate":"2025-07-12","publicationTypes":"Journal Article","fieldsOfStudy":null,"isOpenAccess":false,"openAccessPdf":"","citationCount":"0","resultStr":null,"platform":"Semanticscholar","paperid":null,"PeriodicalName":"Brazilian Journal of Physics","FirstCategoryId":"101","ListUrlMain":"https://link.springer.com/article/10.1007/s13538-025-01849-z","RegionNum":4,"RegionCategory":"物理与天体物理","ArticlePicture":[],"TitleCN":null,"AbstractTextCN":null,"PMCID":null,"EPubDate":"","PubModel":"","JCR":"Q2","JCRName":"PHYSICS, MULTIDISCIPLINARY","Score":null,"Total":0}
引用次数: 0

Abstract

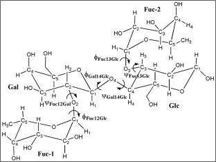
A newborn’s “gold standard” nutritional supply is breastmilk, which provides primary energy since it contains oligosaccharides that resist enzyme hydrolysis within the upper digestive tract and are usually able to reach the colon. A key function of human milk oligosaccharides (HMOs) is to develop the immune system, prevent pathogenic infections, control the newborn gut microbiota, and function as prebiotics. Currently, Lactodifucotetraose (LDFT) HMO is simulated using molecular dynamics for 250 ns, and the prominent structural model is determined, with the data being deposited in the 3DSDSCAR database (www.3dsdscar.org). The LDFT models are docked with the Norovirus capsid protein, and the best docked model was simulated for 100-ns duration. Inter/intramolecular interactions enhance the LDFT complex structure’s stabilization and compact binding. Three binding modes were predicted using the binding free energy calculation. The complex structure deviation and fluctuation from the reference frame were analyzed. Overall analysis showed that the linear structure of LDFT can bind with NoVs in two modes. Hence, the binding efficacy of LDFT in two modes was effective due to its two fucose residues, which can bind as a hydrophobic cluster. The principal role of this LDFT HMO is to serve as an effective inhibitor of the Norovirus capsid protein.

Abstract Image

乳二糖四糖与诺如病毒衣壳蛋白分子对接及动力学研究
新生儿的“黄金标准”营养供应是母乳,它提供主要的能量,因为它含有低聚糖,可以抵抗上消化道的酶水解,通常能够到达结肠。人乳寡糖(HMOs)的关键功能是发展免疫系统,预防致病性感染,控制新生儿肠道微生物群,并具有益生元的功能。目前,乳酸二糖四糖(Lactodifucotetraose, LDFT) HMO的分子动力学模拟时间为250 ns,确定了突出的结构模型,并将数据存入3DSDSCAR数据库(www.3dsdscar.org)。LDFT模型与诺如病毒衣壳蛋白对接,最佳对接模型模拟时间为100 ns。分子间/分子内相互作用增强了LDFT复合物结构的稳定性和紧密结合。通过结合自由能的计算,预测了三种结合模式。分析了复杂结构对参照系的偏离和波动。综合分析表明,LDFT的线性结构可以以两种模式与NoVs结合。因此,LDFT在两种模式下的结合效率是有效的,因为它的两个聚焦残基可以作为疏水簇结合。这种LDFT HMO的主要作用是作为诺如病毒衣壳蛋白的有效抑制剂。
本文章由计算机程序翻译,如有差异,请以英文原文为准。
求助全文
约1分钟内获得全文 求助全文
来源期刊
Brazilian Journal of Physics
Brazilian Journal of Physics 物理-物理:综合
CiteScore
2.50
自引率
6.20%
发文量
189
审稿时长
6.0 months
期刊介绍: The Brazilian Journal of Physics is a peer-reviewed international journal published by the Brazilian Physical Society (SBF). The journal publishes new and original research results from all areas of physics, obtained in Brazil and from anywhere else in the world. Contents include theoretical, practical and experimental papers as well as high-quality review papers. Submissions should follow the generally accepted structure for journal articles with basic elements: title, abstract, introduction, results, conclusions, and references.
×
引用
GB/T 7714-2015
复制
MLA
复制
APA
复制
导出至
BibTeX EndNote RefMan NoteFirst NoteExpress
×
提示
您的信息不完整,为了账户安全,请先补充。
现在去补充
×
提示
您因"违规操作"
具体请查看互助需知
我知道了
×
提示
确定
请完成安全验证×
copy
已复制链接
快去分享给好友吧!
我知道了
右上角分享
点击右上角分享
0
联系我们:info@booksci.cn Book学术提供免费学术资源搜索服务,方便国内外学者检索中英文文献。致力于提供最便捷和优质的服务体验。 Copyright © 2023 布克学术 All rights reserved.
京ICP备2023020795号-1
ghs 京公网安备 11010802042870号
Book学术文献互助
Book学术文献互助群
群 号:604180095
Book学术官方微信