Sonographic Estimation of Normal Palatine Tonsil Size in Under 18 Year Olds Who Visited a Tertiary Teaching Hospital in Addis Ababa, Ethiopia.

IF 1.5 Q2 RADIOLOGY, NUCLEAR MEDICINE & MEDICAL IMAGING
Radiology Research and Practice Pub Date : 2025-09-15 eCollection Date: 2025-01-01 DOI:10.1155/rrp/9996789
Raja Tamiru Muleta, Natnael Alemu Bezabih, Michael Teklehaimanot Abera, Henok Dessalegn Damtew, Fathia Omer Salah, Yocabel Gorfu G/Medihn, Erko Chala Beyene
{"title":"Sonographic Estimation of Normal Palatine Tonsil Size in Under 18 Year Olds Who Visited a Tertiary Teaching Hospital in Addis Ababa, Ethiopia.","authors":"Raja Tamiru Muleta, Natnael Alemu Bezabih, Michael Teklehaimanot Abera, Henok Dessalegn Damtew, Fathia Omer Salah, Yocabel Gorfu G/Medihn, Erko Chala Beyene","doi":"10.1155/rrp/9996789","DOIUrl":null,"url":null,"abstract":"<p><p><b>Background:</b> Currently, there is no standard normal tonsillar measurement using ultrasound (US) which can be used for comparison with an abnormal palatine tonsil in clinical practice. <b>Objectives:</b> In this study, we aim to estimate normal palatine tonsil size using US in children who have no tonsillar-related disease in TASH, Addis Ababa, Ethiopia. <b>Methods:</b> A prospective cross-sectional study was conducted at TASH. The study was conducted on patients under age of 18 years who visit the hospital for complaints unrelated to tonsillar diseases from May 26-September 30, 2023. A structured research tool was used to collect all the necessary data from participants selected by convenience sampling. Data were entered and analyzed using SPSS Version 27 software. <b>Results:</b> A total of 265 patients were enrolled in the study in the age range of 0-18 years. The mean palatine tonsillar volume ± SD for the right palatine tonsil was 0.97cm<sup>3</sup> ± 0.55 and it was 0.97cm<sup>3</sup> ± 0.56 for the left tonsil. We did not identify any significant correlation between PT values and sex as well as the side of palatine tonsil measured. We detected a significant positive correlation between PT values and height, weight, and body mass index (BMI), height having the strongest correlation and BMI the least. Relative contribution of anthropometric parameters to tonsil size varies with age: height is more influential in younger children and weight in early childhood, whereas evidence for BMI influence in older individuals is inconclusive. <b>Conclusion:</b> Normal tonsillar sizes on transcervical US can be used to aid diagnosis of tonsillar pathologies. Palatine tonsil size correlates with age, height, weight, and BMI; however, no correlation is present for sex and side. Age-specific anthropometric profiles and ethnic population differences also contribute to variability in palatine tonsil size measurements and should be carefully considered when interpreting normal tonsil dimensions.</p>","PeriodicalId":51864,"journal":{"name":"Radiology Research and Practice","volume":"2025 ","pages":"9996789"},"PeriodicalIF":1.5000,"publicationDate":"2025-09-15","publicationTypes":"Journal Article","fieldsOfStudy":null,"isOpenAccess":false,"openAccessPdf":"https://www.ncbi.nlm.nih.gov/pmc/articles/PMC12453911/pdf/","citationCount":"0","resultStr":null,"platform":"Semanticscholar","paperid":null,"PeriodicalName":"Radiology Research and Practice","FirstCategoryId":"1085","ListUrlMain":"https://doi.org/10.1155/rrp/9996789","RegionNum":0,"RegionCategory":null,"ArticlePicture":[],"TitleCN":null,"AbstractTextCN":null,"PMCID":null,"EPubDate":"2025/1/1 0:00:00","PubModel":"eCollection","JCR":"Q2","JCRName":"RADIOLOGY, NUCLEAR MEDICINE & MEDICAL IMAGING","Score":null,"Total":0}
引用次数: 0

Abstract

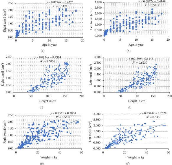
Background: Currently, there is no standard normal tonsillar measurement using ultrasound (US) which can be used for comparison with an abnormal palatine tonsil in clinical practice. Objectives: In this study, we aim to estimate normal palatine tonsil size using US in children who have no tonsillar-related disease in TASH, Addis Ababa, Ethiopia. Methods: A prospective cross-sectional study was conducted at TASH. The study was conducted on patients under age of 18 years who visit the hospital for complaints unrelated to tonsillar diseases from May 26-September 30, 2023. A structured research tool was used to collect all the necessary data from participants selected by convenience sampling. Data were entered and analyzed using SPSS Version 27 software. Results: A total of 265 patients were enrolled in the study in the age range of 0-18 years. The mean palatine tonsillar volume ± SD for the right palatine tonsil was 0.97cm3 ± 0.55 and it was 0.97cm3 ± 0.56 for the left tonsil. We did not identify any significant correlation between PT values and sex as well as the side of palatine tonsil measured. We detected a significant positive correlation between PT values and height, weight, and body mass index (BMI), height having the strongest correlation and BMI the least. Relative contribution of anthropometric parameters to tonsil size varies with age: height is more influential in younger children and weight in early childhood, whereas evidence for BMI influence in older individuals is inconclusive. Conclusion: Normal tonsillar sizes on transcervical US can be used to aid diagnosis of tonsillar pathologies. Palatine tonsil size correlates with age, height, weight, and BMI; however, no correlation is present for sex and side. Age-specific anthropometric profiles and ethnic population differences also contribute to variability in palatine tonsil size measurements and should be carefully considered when interpreting normal tonsil dimensions.

Abstract Image

Abstract Image

在埃塞俄比亚亚的斯亚贝巴的一家三级教学医院访问的18岁以下儿童正常腭扁桃体大小的超声估计。
背景:目前尚无标准的正常扁桃体超声测量方法,可用于临床实践中与异常腭扁桃体的比较。目的:在这项研究中,我们的目的是在埃塞俄比亚亚的斯亚贝巴的TASH,使用US估计没有扁桃体相关疾病的儿童的正常腭扁桃体大小。方法:在TASH进行前瞻性横断面研究。该研究是在2023年5月26日至9月30日期间因与扁桃体疾病无关的投诉而前往医院的18岁以下患者中进行的。使用结构化的研究工具,从方便抽样选择的参与者中收集所有必要的数据。使用SPSS Version 27软件录入数据并进行分析。结果:共纳入265例患者,年龄0-18岁。右腭扁桃体平均体积±SD为0.97cm3±0.55,左腭扁桃体平均体积为0.97cm3±0.56。我们没有发现PT值与性别以及测量的腭扁桃体的侧面有任何显著的相关性。我们发现PT值与身高、体重和身体质量指数(BMI)呈正相关,其中身高相关性最强,BMI相关性最小。人体测量参数对扁桃体大小的相对贡献因年龄而异:身高对幼儿的影响更大,体重对幼儿的影响更大,而BMI对老年人影响的证据尚无定论。结论:经宫颈超声检查扁桃体大小正常,可用于扁桃体病变的诊断。腭扁桃体大小与年龄、身高、体重和BMI相关;然而,性别和侧面没有相关性。年龄特定的人体测量剖面和种族人口差异也会导致腭扁桃体尺寸测量的变异性,在解释正常扁桃体尺寸时应仔细考虑。
本文章由计算机程序翻译,如有差异,请以英文原文为准。
求助全文
约1分钟内获得全文 求助全文
来源期刊
Radiology Research and Practice
Radiology Research and Practice RADIOLOGY, NUCLEAR MEDICINE & MEDICAL IMAGING-
自引率
0.00%
发文量
17
审稿时长
17 weeks
期刊介绍: Radiology Research and Practice is a peer-reviewed, Open Access journal that publishes articles on all areas of medical imaging. The journal promotes evidence-based radiology practice though the publication of original research, reviews, and clinical studies for a multidisciplinary audience. Radiology Research and Practice is archived in Portico, which provides permanent archiving for electronic scholarly journals, as well as via the LOCKSS initiative. It operates a fully open access publishing model which allows open global access to its published content. This model is supported through Article Processing Charges. For more information on Article Processing charges in gen
×
引用
GB/T 7714-2015
复制
MLA
复制
APA
复制
导出至
BibTeX EndNote RefMan NoteFirst NoteExpress
×
提示
您的信息不完整,为了账户安全,请先补充。
现在去补充
×
提示
您因"违规操作"
具体请查看互助需知
我知道了
×
提示
确定
请完成安全验证×
copy
已复制链接
快去分享给好友吧!
我知道了
右上角分享
点击右上角分享
0
联系我们:info@booksci.cn Book学术提供免费学术资源搜索服务,方便国内外学者检索中英文文献。致力于提供最便捷和优质的服务体验。 Copyright © 2023 布克学术 All rights reserved.
京ICP备2023020795号-1
ghs 京公网安备 11010802042870号
Book学术文献互助
Book学术文献互助群
群 号:604180095
Book学术官方微信