Advancing Mortality Prediction in Pulmonary Embolism Using Machine Learning Algorithms-Systematic Review and Meta-Analysis.

IF 2.5 4区 医学 Q2 CARDIAC & CARDIOVASCULAR SYSTEMS
Pulmonary Circulation Pub Date : 2025-09-21 eCollection Date: 2025-07-01 DOI:10.1002/pul2.70166
Pooya Eini, Peyman Eini, Homa Serpoush, Mohammad Rezayee, Jason Tremblay
{"title":"Advancing Mortality Prediction in Pulmonary Embolism Using Machine Learning Algorithms-Systematic Review and Meta-Analysis.","authors":"Pooya Eini, Peyman Eini, Homa Serpoush, Mohammad Rezayee, Jason Tremblay","doi":"10.1002/pul2.70166","DOIUrl":null,"url":null,"abstract":"<p><p>This systematic review and meta-analysis evaluated the performance of machine learning (ML) models in predicting mortality among pulmonary embolism (PE) patients, synthesizing data from 17 studies encompassing 844,071 cases. Logistic Regression was the most commonly used algorithm, followed by advanced models like Random Forests, Support Vector Machines, XGBoost, and Neural Networks. Pooled performance metrics from 12 studies demonstrated a sensitivity of 0.88 (95% CI: 0.78-0.94, <i>I</i> <sup>2</sup> = 90.43%), specificity of 0.79 (95% CI: 0.62-0.89, <i>I</i> <sup>2</sup> = 99.53%), positive likelihood ratio of 4.1 (95% CI: 2.2-7.7), negative likelihood ratio of 0.16 (95% CI: 0.08-0.29), diagnostic odds ratio of 26 (95% CI: 10-71), and an AUROC of 0.91 (95% CI: 0.88-0.93), indicating excellent discriminative ability. Subgroup analyses revealed higher sensitivity in advanced ML models (89.7%) and non-USA studies (97.2%), with advanced ML showing lower specificity heterogeneity (<i>I</i> <sup>2</sup> = 0%). Significant heterogeneity was observed, particularly in specificity (<i>I</i> <sup>2</sup> = 99%), driven by traditional ML and USA-based studies. Minimal publication bias was noted for sensitivity (Egger's <i>p</i> = 0.942), but specificity showed potential bias (Egger's <i>p</i> = 0.038 after outlier exclusion). These findings suggest that ML models outperform traditional risk stratification tools in predicting PE mortality, offering robust potential for clinical decision-making, though heterogeneity and retrospective study designs warrant cautious interpretation. <b>Trial Registration:</b> PROSPERO: CRD420251026696.</p>","PeriodicalId":20927,"journal":{"name":"Pulmonary Circulation","volume":"15 3","pages":"e70166"},"PeriodicalIF":2.5000,"publicationDate":"2025-09-21","publicationTypes":"Journal Article","fieldsOfStudy":null,"isOpenAccess":false,"openAccessPdf":"https://www.ncbi.nlm.nih.gov/pmc/articles/PMC12450341/pdf/","citationCount":"0","resultStr":null,"platform":"Semanticscholar","paperid":null,"PeriodicalName":"Pulmonary Circulation","FirstCategoryId":"3","ListUrlMain":"https://doi.org/10.1002/pul2.70166","RegionNum":4,"RegionCategory":"医学","ArticlePicture":[],"TitleCN":null,"AbstractTextCN":null,"PMCID":null,"EPubDate":"2025/7/1 0:00:00","PubModel":"eCollection","JCR":"Q2","JCRName":"CARDIAC & CARDIOVASCULAR SYSTEMS","Score":null,"Total":0}
引用次数: 0

Abstract

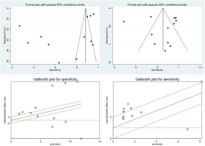
This systematic review and meta-analysis evaluated the performance of machine learning (ML) models in predicting mortality among pulmonary embolism (PE) patients, synthesizing data from 17 studies encompassing 844,071 cases. Logistic Regression was the most commonly used algorithm, followed by advanced models like Random Forests, Support Vector Machines, XGBoost, and Neural Networks. Pooled performance metrics from 12 studies demonstrated a sensitivity of 0.88 (95% CI: 0.78-0.94, I 2 = 90.43%), specificity of 0.79 (95% CI: 0.62-0.89, I 2 = 99.53%), positive likelihood ratio of 4.1 (95% CI: 2.2-7.7), negative likelihood ratio of 0.16 (95% CI: 0.08-0.29), diagnostic odds ratio of 26 (95% CI: 10-71), and an AUROC of 0.91 (95% CI: 0.88-0.93), indicating excellent discriminative ability. Subgroup analyses revealed higher sensitivity in advanced ML models (89.7%) and non-USA studies (97.2%), with advanced ML showing lower specificity heterogeneity (I 2 = 0%). Significant heterogeneity was observed, particularly in specificity (I 2 = 99%), driven by traditional ML and USA-based studies. Minimal publication bias was noted for sensitivity (Egger's p = 0.942), but specificity showed potential bias (Egger's p = 0.038 after outlier exclusion). These findings suggest that ML models outperform traditional risk stratification tools in predicting PE mortality, offering robust potential for clinical decision-making, though heterogeneity and retrospective study designs warrant cautious interpretation. Trial Registration: PROSPERO: CRD420251026696.

Abstract Image

Abstract Image

Abstract Image

使用机器学习算法推进肺栓塞死亡率预测——系统回顾和荟萃分析。
本系统综述和荟萃分析评估了机器学习(ML)模型在预测肺栓塞(PE)患者死亡率方面的表现,综合了17项研究的数据,涵盖了844,071例病例。逻辑回归是最常用的算法,其次是随机森林、支持向量机、XGBoost和神经网络等高级模型。来自12项研究的综合性能指标显示,灵敏度为0.88 (95% CI: 0.78-0.94, i2 = 90.43%),特异性为0.79 (95% CI: 0.62-0.89, i2 = 99.53%),阳性似然比为4.1 (95% CI: 2.2-7.7),阴性似然比为0.16 (95% CI: 0.08-0.29),诊断优势比为26 (95% CI: 10-71), AUROC为0.91 (95% CI: 0.88-0.93),表明具有出色的鉴别能力。亚组分析显示,晚期ML模型(89.7%)和非美国研究(97.2%)的敏感性较高,晚期ML的特异性异质性较低(I 2 = 0%)。观察到显著的异质性,特别是在特异性(i2 = 99%),由传统的ML和基于美国的研究驱动。敏感性的发表偏倚最小(Egger’sp = 0.942),但特异性显示潜在偏倚(排除异常值后,Egger’sp = 0.038)。这些发现表明,ML模型在预测PE死亡率方面优于传统的风险分层工具,为临床决策提供了强大的潜力,尽管异质性和回顾性研究设计需要谨慎解释。试验注册:PROSPERO: CRD420251026696。
本文章由计算机程序翻译,如有差异,请以英文原文为准。
求助全文
约1分钟内获得全文 求助全文
来源期刊
Pulmonary Circulation
Pulmonary Circulation Medicine-Pulmonary and Respiratory Medicine
CiteScore
4.20
自引率
11.50%
发文量
153
审稿时长
15 weeks
期刊介绍: Pulmonary Circulation''s main goal is to encourage basic, translational, and clinical research by investigators, physician-scientists, and clinicans, in the hope of increasing survival rates for pulmonary hypertension and other pulmonary vascular diseases worldwide, and developing new therapeutic approaches for the diseases. Freely available online, Pulmonary Circulation allows diverse knowledge of research, techniques, and case studies to reach a wide readership of specialists in order to improve patient care and treatment outcomes.
×
引用
GB/T 7714-2015
复制
MLA
复制
APA
复制
导出至
BibTeX EndNote RefMan NoteFirst NoteExpress
×
提示
您的信息不完整,为了账户安全,请先补充。
现在去补充
×
提示
您因"违规操作"
具体请查看互助需知
我知道了
×
提示
确定
请完成安全验证×
copy
已复制链接
快去分享给好友吧!
我知道了
右上角分享
点击右上角分享
0
联系我们:info@booksci.cn Book学术提供免费学术资源搜索服务,方便国内外学者检索中英文文献。致力于提供最便捷和优质的服务体验。 Copyright © 2023 布克学术 All rights reserved.
京ICP备2023020795号-1
ghs 京公网安备 11010802042870号
Book学术文献互助
Book学术文献互助群
群 号:604180095
Book学术官方微信