A Comparison of Single Dose Remimazolam With Dexmedetomidine for the Prevention of Emergence Delirium in Children Undergoing Tonsillectomy and Adenoidectomy Surgery Under Sevoflurane Anesthesia: A Randomized Clinical Trial.

IF 1.3 Q2 ANESTHESIOLOGY
Anesthesiology Research and Practice Pub Date : 2025-09-14 eCollection Date: 2025-01-01 DOI:10.1155/anrp/7780635
Ting Liu, Jing Zhou, Xi-Xi Wang, Si-Fei Gan, Jie-Qiong Liu, Peng-Fei Zhu, Mei-Hong Li, Fang Luo
{"title":"A Comparison of Single Dose Remimazolam With Dexmedetomidine for the Prevention of Emergence Delirium in Children Undergoing Tonsillectomy and Adenoidectomy Surgery Under Sevoflurane Anesthesia: A Randomized Clinical Trial.","authors":"Ting Liu, Jing Zhou, Xi-Xi Wang, Si-Fei Gan, Jie-Qiong Liu, Peng-Fei Zhu, Mei-Hong Li, Fang Luo","doi":"10.1155/anrp/7780635","DOIUrl":null,"url":null,"abstract":"<p><p><b>Introduction:</b> Emergence delirium, characterized by early postoperative behavioral changes in pediatric patients, poses potential risks to patient safety, resulting in extended hospital stays and increased medical costs. Remimazolam has a rapid onset, moderate half-life, and lower compression on respiratory and circulatory function. This double-blind randomized study aims to compare the incidence of emergence delirium in pediatric patients who received a single dose of remimazolam or dexmedetomidine before the end of sevoflurane anesthesia. <b>Methods:</b> A total of 110 pediatric patients aged 2-12 years, American Society of Anesthesiologists (ASA) Class I or II, undergoing elective tonsillectomy and adenoidectomy were included in this study and randomized into the dexmedetomidine group and remimazolam group (R group) (<i>n</i> = 55). Inhalation of sevoflurane was stopped 15 min before surgery after asking the surgeon's opinion, and either 0.2 mg/kg of remimazolam or 0.2 μg/kg of dexmedetomidine was administered. The main and secondary results of the research were both analyzed with the intention-to-treat analysis. The main outcome observed in this study was the incidence of emergence delirium in both groups. Secondary outcomes were vital signs at various time points after administration, Pediatric Anesthesia Emergence Delirium (PAED) scale score for delirium, extubation time, the length of time in the postanesthesia care unit (PACU), postoperative adverse events, and parental satisfaction. <b>Results:</b> The intention-to-treat analysis indicated that the mean age of patients was 5.7 ± 0.4 years, with 62 (56.4%) of them being male. The incidence of emergence delirium was 25.5% overall, with no significant difference seen between the two groups. Compared to the R group, dexmedetomidine decreased the heart rate significantly (<i>p</i> < 0.001). There were no differences in extubation time, PACU stay, postoperative adverse events, and parental satisfaction between the two groups. In addition, age is an independent risk factor contributing to the emergence delirium. <b>Conclusions:</b> Discontinuing the inhalation of sevoflurane 15 min before the end of the procedure and administering 0.2 mg/kg of remimazolam intravenously did not show superiority over 0.2 μg/kg of dexmedetomidine in preventing emergence delirium. <b>Trial Registration:</b> Chinese Registry of Clinical Trials: ChiCTR2300072526.</p>","PeriodicalId":7834,"journal":{"name":"Anesthesiology Research and Practice","volume":"2025 ","pages":"7780635"},"PeriodicalIF":1.3000,"publicationDate":"2025-09-14","publicationTypes":"Journal Article","fieldsOfStudy":null,"isOpenAccess":false,"openAccessPdf":"https://www.ncbi.nlm.nih.gov/pmc/articles/PMC12450552/pdf/","citationCount":"0","resultStr":null,"platform":"Semanticscholar","paperid":null,"PeriodicalName":"Anesthesiology Research and Practice","FirstCategoryId":"1085","ListUrlMain":"https://doi.org/10.1155/anrp/7780635","RegionNum":0,"RegionCategory":null,"ArticlePicture":[],"TitleCN":null,"AbstractTextCN":null,"PMCID":null,"EPubDate":"2025/1/1 0:00:00","PubModel":"eCollection","JCR":"Q2","JCRName":"ANESTHESIOLOGY","Score":null,"Total":0}
引用次数: 0

Abstract

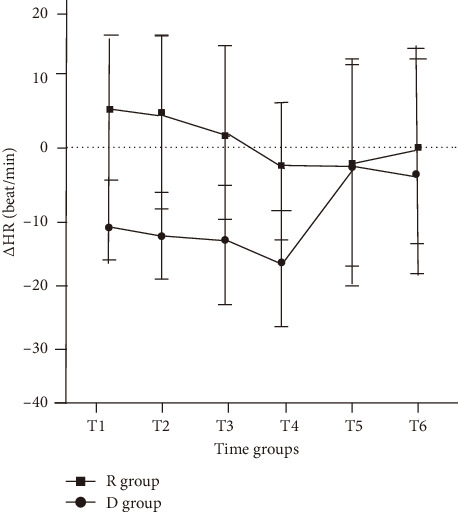
Introduction: Emergence delirium, characterized by early postoperative behavioral changes in pediatric patients, poses potential risks to patient safety, resulting in extended hospital stays and increased medical costs. Remimazolam has a rapid onset, moderate half-life, and lower compression on respiratory and circulatory function. This double-blind randomized study aims to compare the incidence of emergence delirium in pediatric patients who received a single dose of remimazolam or dexmedetomidine before the end of sevoflurane anesthesia. Methods: A total of 110 pediatric patients aged 2-12 years, American Society of Anesthesiologists (ASA) Class I or II, undergoing elective tonsillectomy and adenoidectomy were included in this study and randomized into the dexmedetomidine group and remimazolam group (R group) (n = 55). Inhalation of sevoflurane was stopped 15 min before surgery after asking the surgeon's opinion, and either 0.2 mg/kg of remimazolam or 0.2 μg/kg of dexmedetomidine was administered. The main and secondary results of the research were both analyzed with the intention-to-treat analysis. The main outcome observed in this study was the incidence of emergence delirium in both groups. Secondary outcomes were vital signs at various time points after administration, Pediatric Anesthesia Emergence Delirium (PAED) scale score for delirium, extubation time, the length of time in the postanesthesia care unit (PACU), postoperative adverse events, and parental satisfaction. Results: The intention-to-treat analysis indicated that the mean age of patients was 5.7 ± 0.4 years, with 62 (56.4%) of them being male. The incidence of emergence delirium was 25.5% overall, with no significant difference seen between the two groups. Compared to the R group, dexmedetomidine decreased the heart rate significantly (p < 0.001). There were no differences in extubation time, PACU stay, postoperative adverse events, and parental satisfaction between the two groups. In addition, age is an independent risk factor contributing to the emergence delirium. Conclusions: Discontinuing the inhalation of sevoflurane 15 min before the end of the procedure and administering 0.2 mg/kg of remimazolam intravenously did not show superiority over 0.2 μg/kg of dexmedetomidine in preventing emergence delirium. Trial Registration: Chinese Registry of Clinical Trials: ChiCTR2300072526.

Abstract Image

Abstract Image

Abstract Image

单剂量雷马唑仑与右美托咪定预防七氟醚麻醉下扁桃体切除术和腺样体切除术儿童出现性谵妄的比较:一项随机临床试验。
前言:急诊谵妄以儿科患者术后早期行为改变为特征,对患者安全构成潜在风险,导致住院时间延长,医疗费用增加。雷马唑仑起效快,半衰期适中,对呼吸和循环功能的压迫较小。本双盲随机研究旨在比较在七氟醚麻醉结束前接受单剂量雷马唑仑或右美托咪定的儿科患者出现谵妄的发生率。方法:选取110例2-12岁、美国麻醉医师学会(ASA) I级或II级、择期行扁桃体切除术和腺样体切除术的儿童患者,随机分为右美托咪定组和雷马唑仑组(R组)(n = 55)。术前15min征询医生意见后停止吸入七氟醚,同时给予0.2 mg/kg的雷马唑仑或0.2 μg/kg的右美托咪定。本研究的主要和次要结果均采用意向治疗分析进行分析。本研究观察到的主要结果是两组患者出现性谵妄的发生率。次要结局是给药后各时间点的生命体征、小儿麻醉出现性谵妄(PAED)谵妄评分、拔管时间、在麻醉后护理单位(PACU)的时间、术后不良事件和父母满意度。结果:意向治疗分析显示,患者平均年龄为5.7±0.4岁,男性62例(56.4%)。出现性谵妄的发生率为25.5%,两组间无显著差异。与R组相比,右美托咪定显著降低心率(p < 0.001)。两组患者拔管时间、PACU停留时间、术后不良事件、家长满意度均无差异。此外,年龄是谵妄出现的独立危险因素。结论:在手术结束前15分钟停止吸入七氟醚并静脉注射0.2 mg/kg的雷马唑仑在预防出现性谵妄方面并不比0.2 μg/kg的右美托咪定有优势。试验注册:中国临床试验注册中心:ChiCTR2300072526。
本文章由计算机程序翻译,如有差异,请以英文原文为准。
求助全文
约1分钟内获得全文 求助全文
来源期刊
CiteScore
3.10
自引率
0.00%
发文量
29
审稿时长
18 weeks
×
引用
GB/T 7714-2015
复制
MLA
复制
APA
复制
导出至
BibTeX EndNote RefMan NoteFirst NoteExpress
×
提示
您的信息不完整,为了账户安全,请先补充。
现在去补充
×
提示
您因"违规操作"
具体请查看互助需知
我知道了
×
提示
确定
请完成安全验证×
copy
已复制链接
快去分享给好友吧!
我知道了
右上角分享
点击右上角分享
0
联系我们:info@booksci.cn Book学术提供免费学术资源搜索服务,方便国内外学者检索中英文文献。致力于提供最便捷和优质的服务体验。 Copyright © 2023 布克学术 All rights reserved.
京ICP备2023020795号-1
ghs 京公网安备 11010802042870号
Book学术文献互助
Book学术文献互助群
群 号:604180095
Book学术官方微信