Long-Term Real-World Effectiveness and Drug Survival of Guselkumab in Patients with Psoriasis: A 5-Year Retrospective Study.

IF 5.2 Q1 DERMATOLOGY
Psoriasis (Auckland, N.Z.) Pub Date : 2025-09-16 eCollection Date: 2025-01-01 DOI:10.2147/PTT.S533005
Edoardo Mortato, Marina Talamonti, Lorenzo Marcelli, Matteo Megna, Annunziata Raimondo, Giacomo Caldarola, Nicoletta Bernardini, Anna Balato, Anna Campanati, Maria Esposito, Claudio Bonifati, Viviana Lora, Luca Potestio, Serena Lembo, Francesco Loconsole, Eleonora De Luca, Nevena Skroza, Dario Buononato, Tommaso Bianchelli, Maria Concetta Fargnoli, Nello Tommasino, Caterina Foti, Clara De Simone, Luca Bianchi, Marco Galluzzo
{"title":"Long-Term Real-World Effectiveness and Drug Survival of Guselkumab in Patients with Psoriasis: A 5-Year Retrospective Study.","authors":"Edoardo Mortato, Marina Talamonti, Lorenzo Marcelli, Matteo Megna, Annunziata Raimondo, Giacomo Caldarola, Nicoletta Bernardini, Anna Balato, Anna Campanati, Maria Esposito, Claudio Bonifati, Viviana Lora, Luca Potestio, Serena Lembo, Francesco Loconsole, Eleonora De Luca, Nevena Skroza, Dario Buononato, Tommaso Bianchelli, Maria Concetta Fargnoli, Nello Tommasino, Caterina Foti, Clara De Simone, Luca Bianchi, Marco Galluzzo","doi":"10.2147/PTT.S533005","DOIUrl":null,"url":null,"abstract":"<p><strong>Background: </strong>Clinical trials have demonstrated the efficacy of guselkumab in psoriasis, however, limited data are available from real-life studies evaluating the long-term effectiveness and drug survival (DS) of guselkumab.</p><p><strong>Objective: </strong>This multicenter study assessed the 5-year efficacy, DS, and predictors of treatment response in a large cohort of patients with psoriasis.</p><p><strong>Methods: </strong>In this retrospective, longitudinal study, we analyzed data from 1024 patients with moderate-to-severe psoriasis treated with guselkumab between 2019 and 2024. PASI scores were evaluated at baseline, 6 months, and 1-5 years. DS (ie, duration of continuous treatment with guselkumab without discontinuation) was assessed using Kaplan-Meier analysis, and logistic regression analysis was used to identify predictors of PASI response.</p><p><strong>Results: </strong>Mean PASI decreased from 14.3±8.8 at baseline to 1.3±2.4 at 6 months, with sustained improvement from 12-60 months (PASI values ranging from 1.0±2.2 to 1.3±3.5). Bioexperienced (ie having previous biological treatment) patients and obese individuals had lower PASI response. Subgroup analyses revealed significantly lower PASI response rates in obese patients, those previously treated with biologics, and those switched from anti-IL-17 agents (p<0.05).Multivariate logistic regression analysis revealed that previous biologic exposure and obesity remained significant negative predictors of achieving PASI 75, PASI 90, and PASI 100 across different time points. Cardiovascular disease emerged as a negative predictor for PASI 90 at 3 months (OR 0.64, 95% CI: 0.42-0.97, p=0.035). The probability of remaining on treatment at 12, 24, 36, 48, and 60 months were 95.85%, 91.73%, 89.74%, 87.08%, and 85.76% respectively. Female sex, ≥3 prior biologics, longer disease duration, and previous anti-IL-17 therapy increased the risk of treatment discontinuation. No significant differences in drug discontinuation were noted between patients with or without comorbidities.</p><p><strong>Conclusion: </strong>This real-world study demonstrates the sustained long-term efficacy and DS of guselkumab in patients with psoriasis. Prior biologic exposure, obesity, and patient history are important factors to consider when initiating treatment for long-term management.</p>","PeriodicalId":74589,"journal":{"name":"Psoriasis (Auckland, N.Z.)","volume":"15 ","pages":"455-469"},"PeriodicalIF":5.2000,"publicationDate":"2025-09-16","publicationTypes":"Journal Article","fieldsOfStudy":null,"isOpenAccess":false,"openAccessPdf":"https://www.ncbi.nlm.nih.gov/pmc/articles/PMC12449874/pdf/","citationCount":"0","resultStr":null,"platform":"Semanticscholar","paperid":null,"PeriodicalName":"Psoriasis (Auckland, N.Z.)","FirstCategoryId":"1085","ListUrlMain":"https://doi.org/10.2147/PTT.S533005","RegionNum":0,"RegionCategory":null,"ArticlePicture":[],"TitleCN":null,"AbstractTextCN":null,"PMCID":null,"EPubDate":"2025/1/1 0:00:00","PubModel":"eCollection","JCR":"Q1","JCRName":"DERMATOLOGY","Score":null,"Total":0}
引用次数: 0

Abstract

Background: Clinical trials have demonstrated the efficacy of guselkumab in psoriasis, however, limited data are available from real-life studies evaluating the long-term effectiveness and drug survival (DS) of guselkumab.

Objective: This multicenter study assessed the 5-year efficacy, DS, and predictors of treatment response in a large cohort of patients with psoriasis.

Methods: In this retrospective, longitudinal study, we analyzed data from 1024 patients with moderate-to-severe psoriasis treated with guselkumab between 2019 and 2024. PASI scores were evaluated at baseline, 6 months, and 1-5 years. DS (ie, duration of continuous treatment with guselkumab without discontinuation) was assessed using Kaplan-Meier analysis, and logistic regression analysis was used to identify predictors of PASI response.

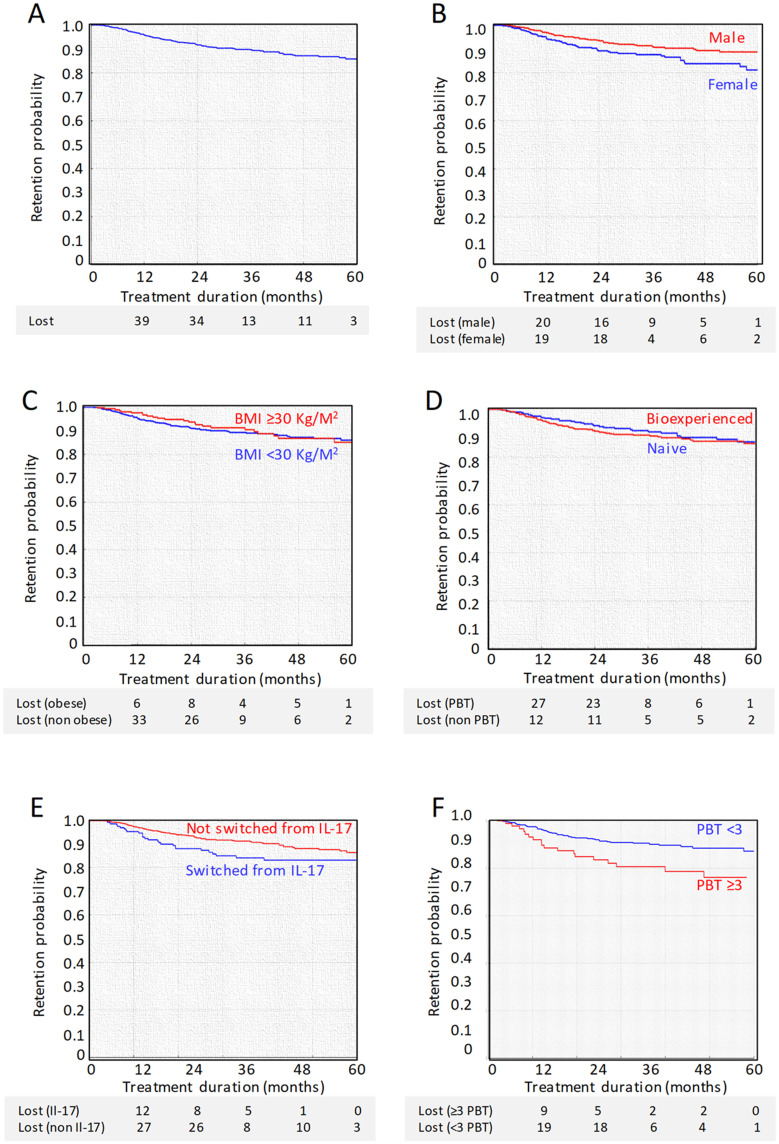
Results: Mean PASI decreased from 14.3±8.8 at baseline to 1.3±2.4 at 6 months, with sustained improvement from 12-60 months (PASI values ranging from 1.0±2.2 to 1.3±3.5). Bioexperienced (ie having previous biological treatment) patients and obese individuals had lower PASI response. Subgroup analyses revealed significantly lower PASI response rates in obese patients, those previously treated with biologics, and those switched from anti-IL-17 agents (p<0.05).Multivariate logistic regression analysis revealed that previous biologic exposure and obesity remained significant negative predictors of achieving PASI 75, PASI 90, and PASI 100 across different time points. Cardiovascular disease emerged as a negative predictor for PASI 90 at 3 months (OR 0.64, 95% CI: 0.42-0.97, p=0.035). The probability of remaining on treatment at 12, 24, 36, 48, and 60 months were 95.85%, 91.73%, 89.74%, 87.08%, and 85.76% respectively. Female sex, ≥3 prior biologics, longer disease duration, and previous anti-IL-17 therapy increased the risk of treatment discontinuation. No significant differences in drug discontinuation were noted between patients with or without comorbidities.

Conclusion: This real-world study demonstrates the sustained long-term efficacy and DS of guselkumab in patients with psoriasis. Prior biologic exposure, obesity, and patient history are important factors to consider when initiating treatment for long-term management.

Abstract Image

Abstract Image

Abstract Image

guelkumab治疗银屑病患者的长期实际疗效和药物生存期:一项5年回顾性研究。
背景:临床试验已经证明了guselkumab治疗牛皮癣的疗效,然而,从评估guselkumab的长期有效性和药物生存期(DS)的现实研究中获得的数据有限。目的:这项多中心研究评估了银屑病患者的5年疗效、DS和治疗反应的预测因素。方法:在这项回顾性、纵向研究中,我们分析了2019年至2024年期间接受guselkumab治疗的1024例中重度牛皮癣患者的数据。PASI评分分别在基线、6个月和1-5年进行评估。使用Kaplan-Meier分析评估DS(即持续使用guselkumab而不中断治疗的持续时间),并使用logistic回归分析确定PASI反应的预测因素。结果:平均PASI从基线时的14.3±8.8下降到6个月时的1.3±2.4,在12-60个月期间持续改善(PASI值从1.0±2.2到1.3±3.5)。有生物经验(即以前接受过生物治疗)的患者和肥胖个体的PASI反应较低。亚组分析显示,肥胖患者、之前接受过生物制剂治疗的患者和从抗il -17药物切换的患者的PASI反应率显著降低(结论:这项现实世界的研究证明了guselkumab在银屑病患者中的持续长期疗效和DS。以前的生物暴露、肥胖和患者病史是开始长期治疗时要考虑的重要因素。
本文章由计算机程序翻译,如有差异,请以英文原文为准。
求助全文
约1分钟内获得全文 求助全文
来源期刊
自引率
0.00%
发文量
0
审稿时长
16 weeks
×
引用
GB/T 7714-2015
复制
MLA
复制
APA
复制
导出至
BibTeX EndNote RefMan NoteFirst NoteExpress
×
提示
您的信息不完整,为了账户安全,请先补充。
现在去补充
×
提示
您因"违规操作"
具体请查看互助需知
我知道了
×
提示
确定
请完成安全验证×
copy
已复制链接
快去分享给好友吧!
我知道了
右上角分享
点击右上角分享
0
联系我们:info@booksci.cn Book学术提供免费学术资源搜索服务,方便国内外学者检索中英文文献。致力于提供最便捷和优质的服务体验。 Copyright © 2023 布克学术 All rights reserved.
京ICP备2023020795号-1
ghs 京公网安备 11010802042870号
Book学术文献互助
Book学术文献互助群
群 号:604180095
Book学术官方微信